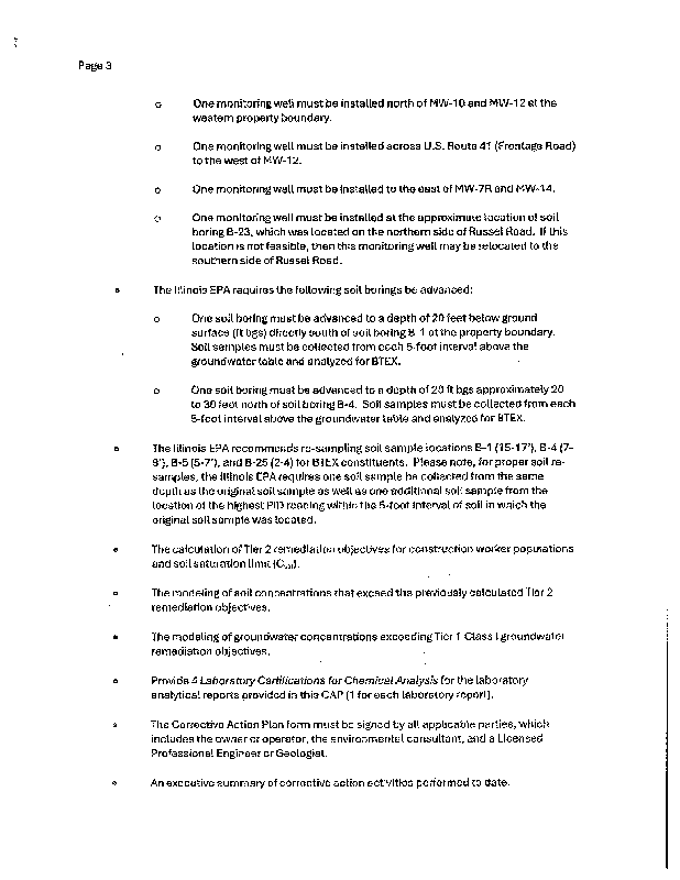
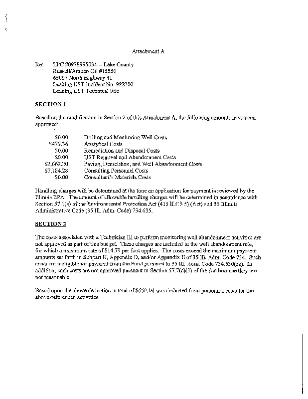
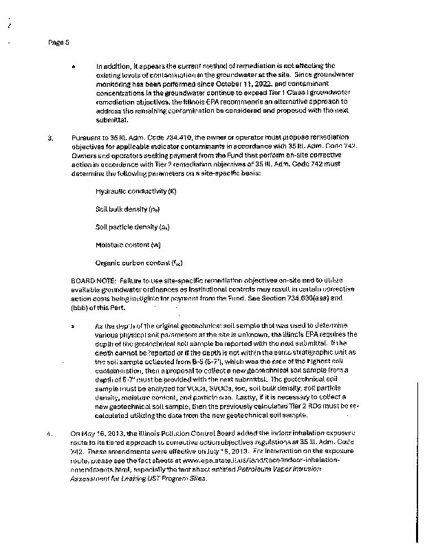
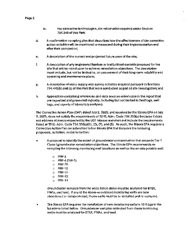
Version History

Type # Version Owner Created Size  
Version 2 PCB_26-40 Russell-Amoco Oil 12-2-25.pdf

No comment added

admin 12/02/25 01:14 PM 609360