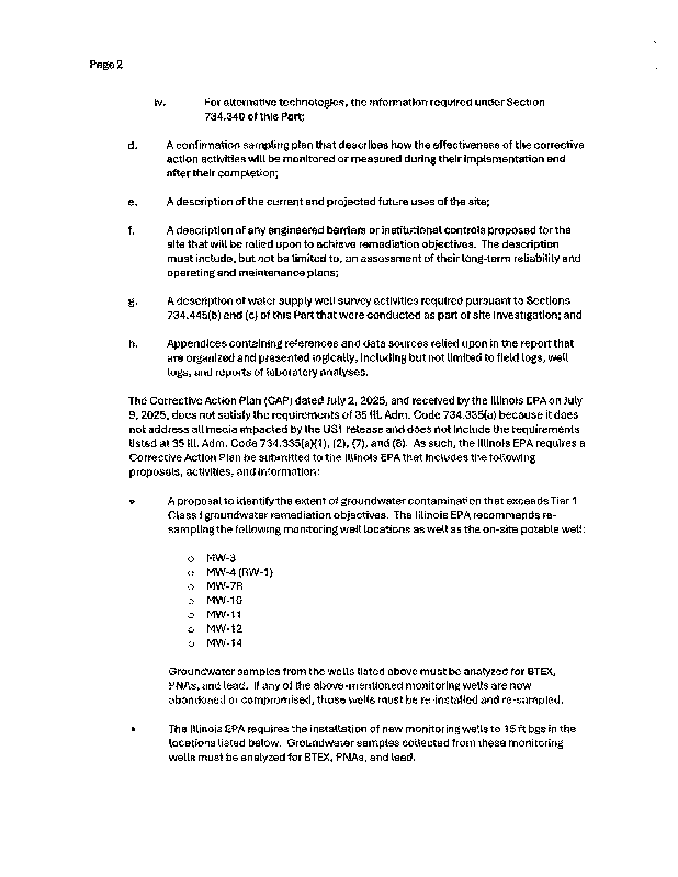
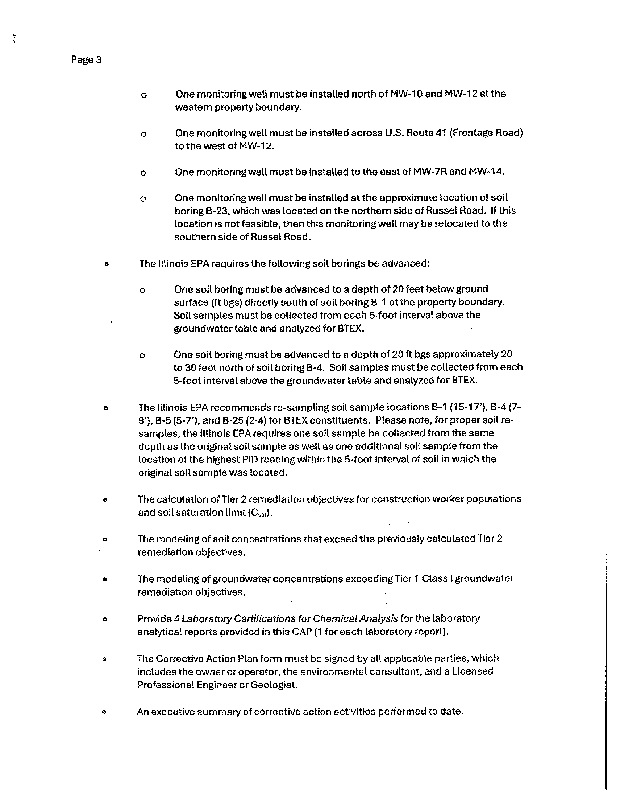
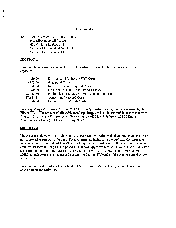
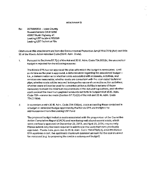
1
2
3
4
5
6
7
8
9
10
11
12
13
14
15
16
17
18
19
Back to top
Back to top
Back to top
Back to top
Back to top
Back to top
Back to top
Back to top
Back to top
Back to top
Back to top
Back to top
Back to top
Back to top
Back to top
Back to top
Back to top
Back to top
Back to top