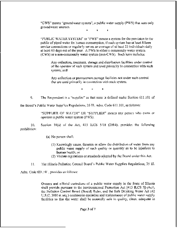
Version History

Type # Version Owner Created Size  
Version 1 PCB 16-39,081915 Cmplnt and Stip

Initial Version

brownd 08/20/15 09:46 AM 659106