Version History

Type # Version Owner Created Size  
Version 1 PCB 13-35,010313 Cmplnt University of IL - East Campus 1-3-13.pdf

Initial Version

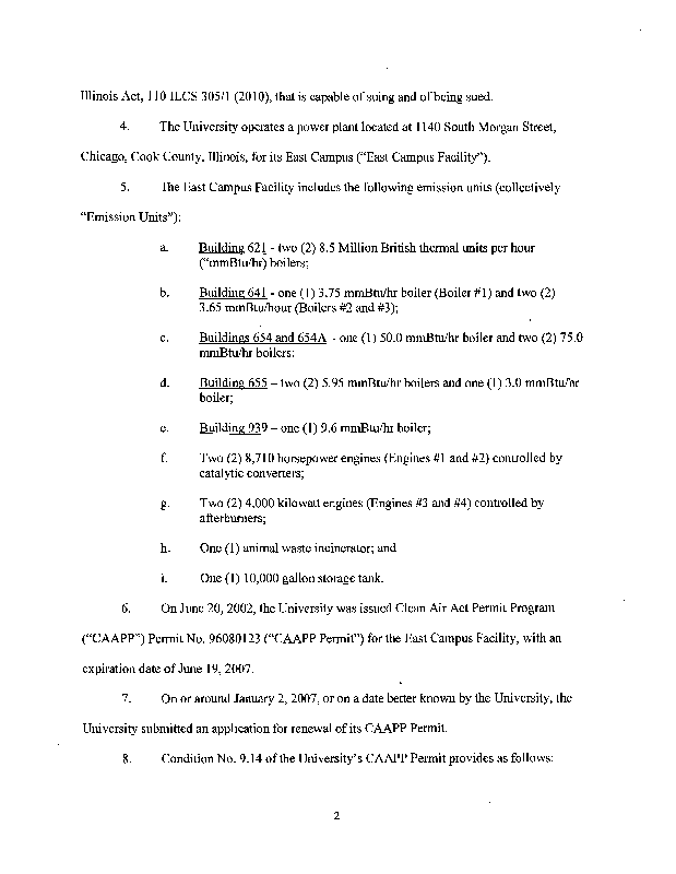
brownd 01/04/13 10:02 AM 223105