Version History

Type # Version Owner Created Size  
Version 1 PCB 06-171,062206 MtnLvAmndRcrdInstntr.pdf

Initial Version

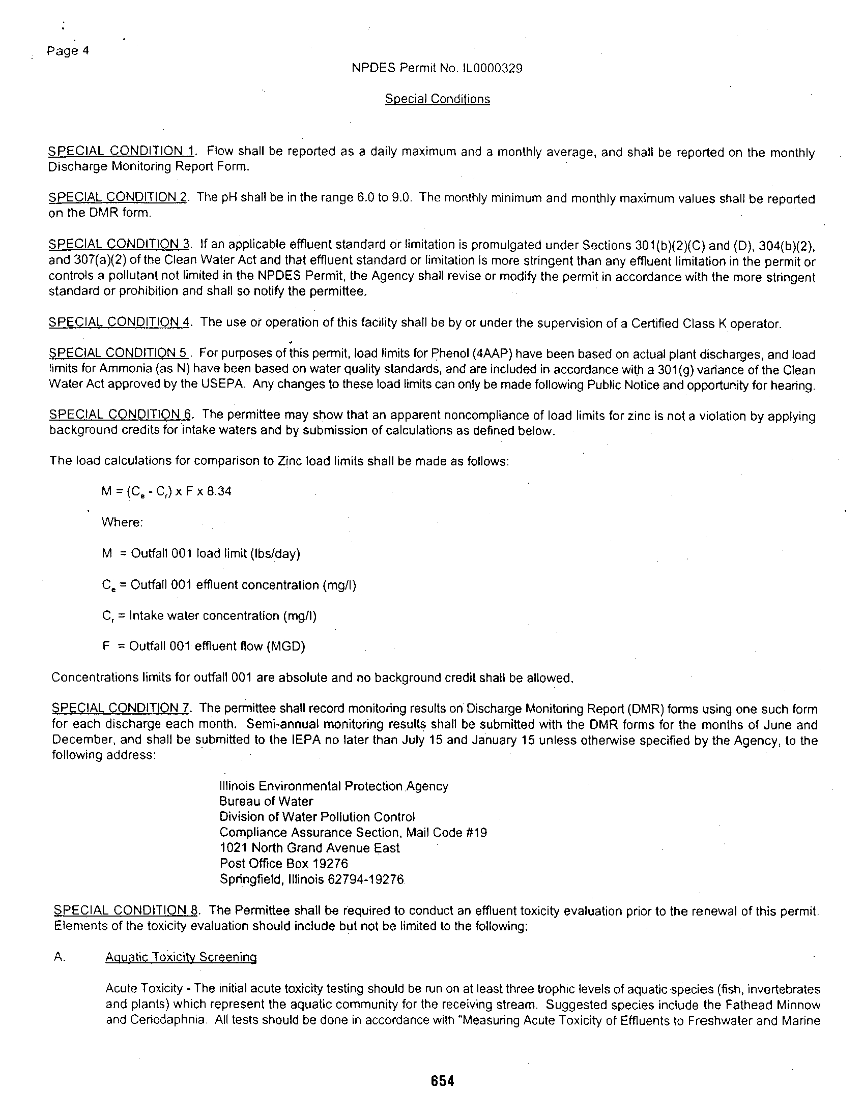
brownd 06/23/06 11:09 AM 618924