Version History

Type # Version Owner Created Size  
Version 1 PCB 06-174,051706 CmplntAprncRJC.pdf

Initial Version

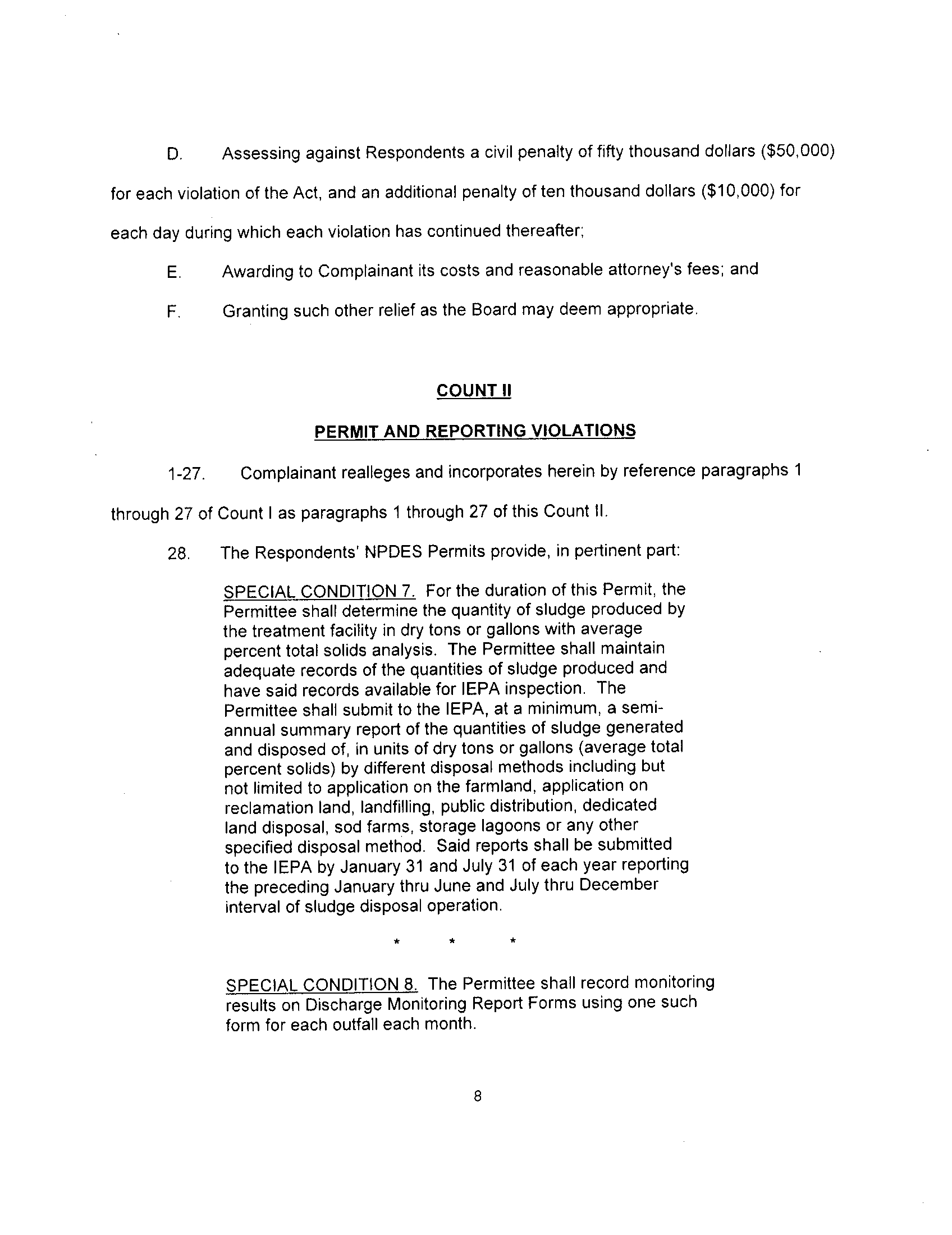
brownd 05/18/06 10:44 AM 389089