Version History

Type # Version Owner Created Size  
Version 1 R25-1 cons 35-611NT-P 10-23-25.pdf

Initial Version

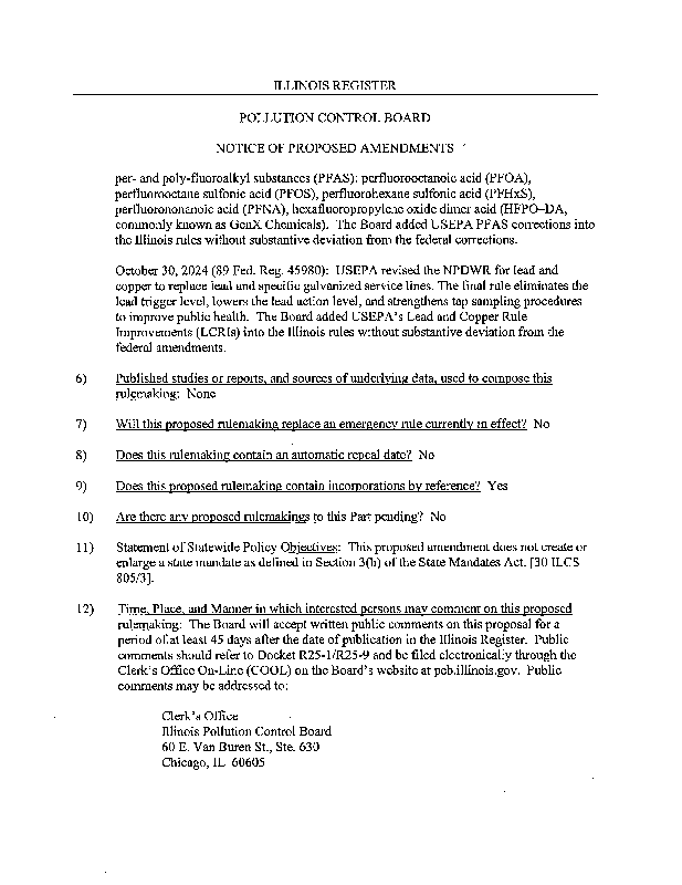
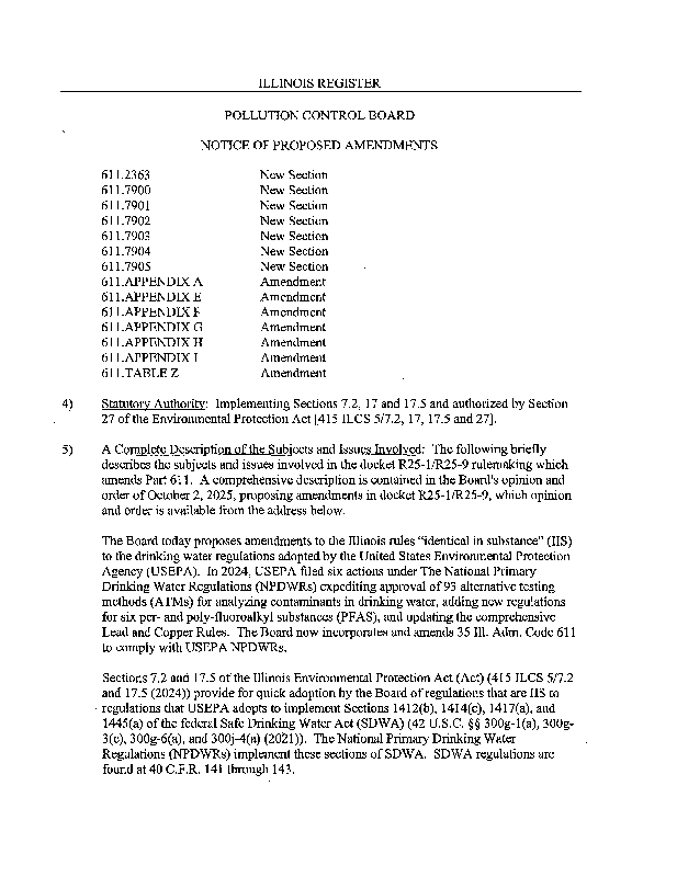
admin 10/23/25 05:43 PM 240781