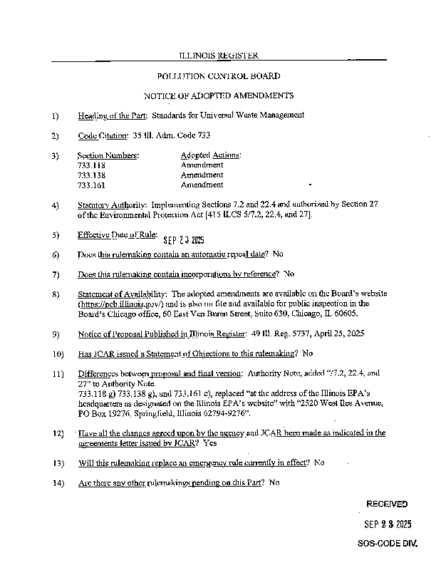
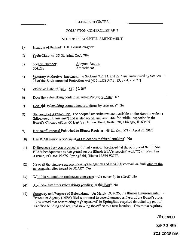
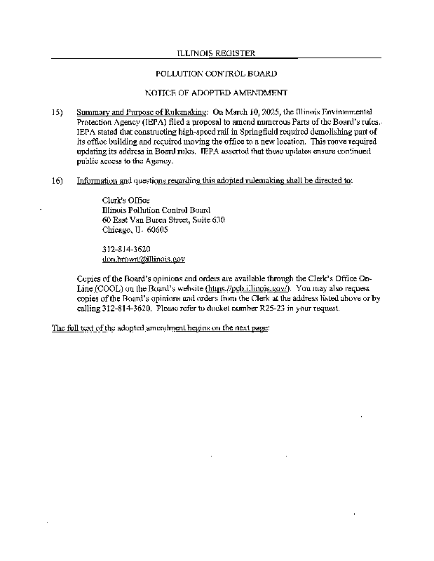
Version History

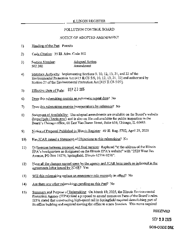
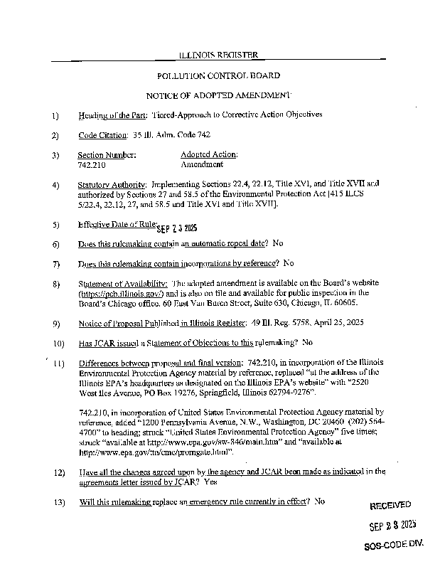
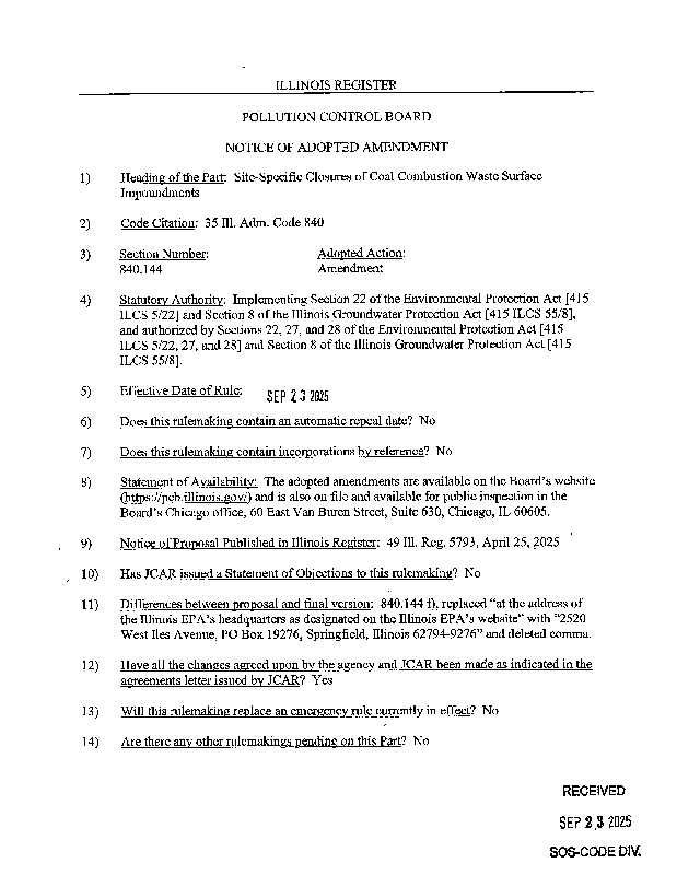
Type # Version Owner Created Size  
Version 1 R25-23 SOS pub 10-10-25.pdf

Initial Version

admin 10/20/25 06:15 PM 1138595