Version History

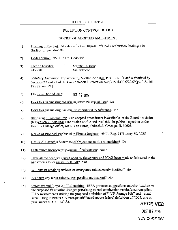
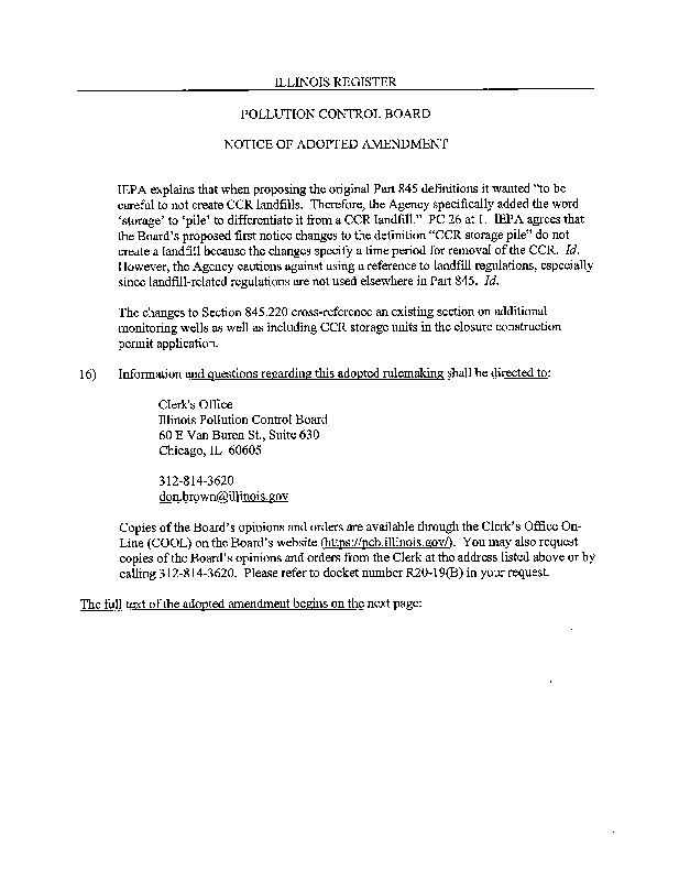
Type # Version Owner Created Size  
Version 1 Cover PCB.pdf

Initial Version

admin 10/20/25 05:45 PM 114297