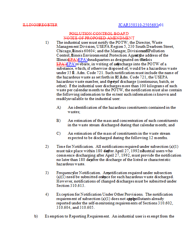
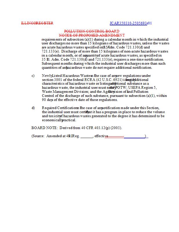
Version History

Type # Version Owner Created Size  
Version 1 Litera Compare Redline - 35-310RG-P Agency and 35-310RG-P r01 (49-17) 4-23-25.pdf

Initial Version

admin 06/03/25 03:00 PM 173577