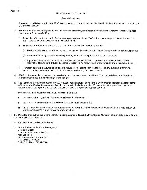
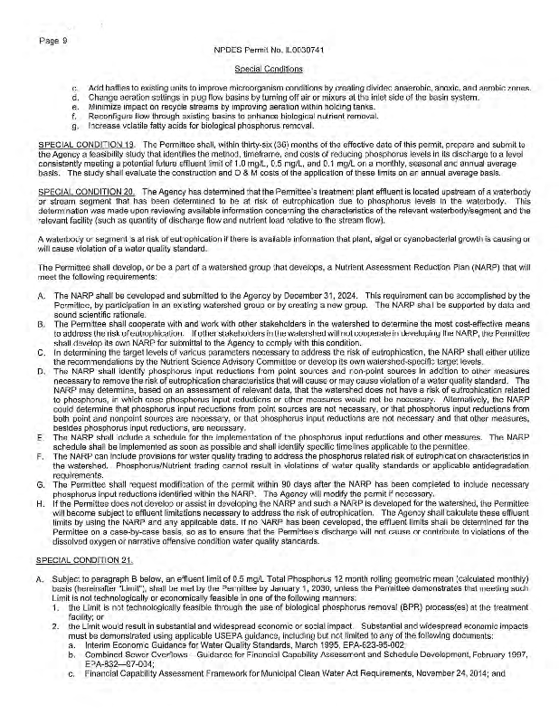
Version History

Type # Version Owner Created Size  
Version 1 PCB 25-31 City of Rochelle - Request for 90 Day Extension 12-3-24.pdf

Initial Version

admin 12/03/24 03:50 PM 5544897