Version History

Type # Version Owner Created Size  
Version 1 PCB 17- 19 NOF & Stipulation 03-20-20.pdf

Initial Version

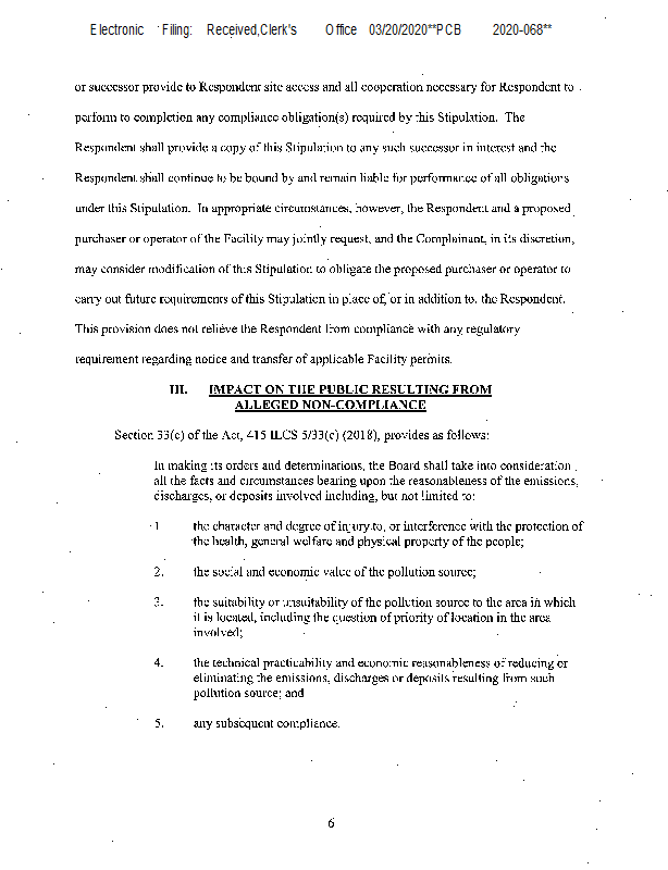
brownd 03/20/20 02:15 PM 1421330