1. HEARING OFFICER ORDER
      2. lllinois-American Water Company (IAWe)
      3. 1. Quantifying and Verifying Sediment Reductions
      4. QUESTIONS:
      5. QUESTIONS:
      6. 2. illinois Water Quality Trading Policy
      7. 3. USEPA Water Quality Trading Policy
      8. QUESTIONS:

1
2
3
BEFORE THE ILLINOIS POLLUTION CONTROL BOARD
1
4
IN THE MATTER OF:
5
6
7
8
9
10
11
PROPOSED EXTENSION OF ADJUSTED
STANDARD APPLICABLE TO
ILLINOIS-AMERICAN WATER COMPANY'S
ALTON PUBLIC WATER SUPPLY FACILITY
DISCHARGE TO THE MISSISSIPPI RIVER
UNDER 35 ILL. ADM. CODE 304.124
AND 304.106
AS 07-2
(Adjusted Standard)
12
Deposition of SCOTT A. TOMKINS, taken at the
13
instance of the Peti ti one r, before Dorothy J. Hart,
14
CSR, RPR, and Notary Publ i c, on the 16th day of
15
August, 2007, at the hour of 9:00 a.m., at 1021 North
16
Grand Avenue East, spri ngfi el d, III i noi s.
17
18
19
20
21
22
23
24
CAPITOL REPORTING SERVICE, INC.
2021
Timberbrook Drive
springfield, Illinois
62702
217-787-6167
Electronic Filing, Received, Clerk's Office, August 30, 2007

1
APPEARANCES:
2
BLACKWELL SANDERS,
BY:
MR. BRADLEY S. HILES
3
Attorney at Law
720 Olive street
4
suite 2400
St. Loui s, Mi ssouri 63101
5
on behalf of the petitioner;
2
6
7
8
9
MR. SANJAY SOFAT
Assistant counsel
Division of Legal counsel
Illinois Environmental protection Agency
1021 North Grand Avenue East
springfield, Illinois 62794
10
on behalf of the IEPA.
11
ALSO PRESENT:
12
MS. AMY WALKENBACH
13
14
15
INDEX
16
17
18
19
20
21
22
23
24
WI Ti'J.E:..S.2.
Scott A. Tomkins
Direct Examination by Mr. Hiles
EXHIBITS
Deposition Exhibit No.1
Deposition Exhibit No.2
Deposition Exhibit No.3
Deposition Exhibit NO.4
3
J.DENTIFIEj2
24
25
40
41

1
SCOTT A. TOMKINS
2
having been duly sworn, was examined and testified as
3
follows:
4
DIRECT EXAMINATION
5
BY MR. HILES:
3
6
Q.
Please state your name and spell it for the
7
record.
8
9
A.
Sure.
T-o-m-k-i-n-s.
Scott, s-c-o-t-t, A. Tomki ns,
10
Q.
Where do you live, Mr. Tomkins?
11
A.
I live at 6292 Westwind Drive, springfield,
12
Illinois.
13
Q.
where are you employed?
14
A.
I'm employed with the Illinois Environmental
15
protection Agency.
16
Q.
What is your job title there?
17
A.
I'm environmental protection specialist.
18
Q.
When did you begin working at the Agency?
19
A.
March of 1992.
20
Q.
What jobs have you held at the Agency Slnce
21
starti ng the re?
22
A.
I worked in the standards Unit and I'm
23
working principally in the watershed Management
24
Section, Nonpoint Source pollution Unit.

Q.
I'd like you to take us through your post
high school education.
I don't need precise dates but
glve me
A.
Sure.
Q.
-- years of degrees and graduations.
A.
university of Dubuque, Dubuque, Iowa, three
years, then MacMurray college in Jacksonville,
Illinois, for one year.
I have a bachelor of science
degree in biology, minor environmental science.
Q.
Was that from MacMurray?
A.
MacMurray college, correct.
Q.
Any postgraduate education?
A.
No.
Q.
How about education through the Agency,
through programs provided or supplied by the Agency?
A.
I have taken some courses concerning computer
1
2
3
4
5
6
7
8
9
10
11
12
13
14
15
16
17
18
19
20
21
22
23
24
Q.
A.
Q.
A.
Q.
A.
Q.
A.
Nonpoint source pollution
pollution unit.
-- Unit?
Correct.
When did you begin working in that unit?
In 1997.
So for about ten years now?
Correct.
4

1
2
3
4
5
6
7
8
9
10
11
12
13
14
15
16
17
18
19
20
21
22
23
24
5
and writing skills.
Q.
okay.
But nothing directed at nonpoint
source work?
A.
NO.
Q.
very good.
I'd like you to describe your job
responsibilities as an environmental protection
specialist in the Nonpoint Source pollution Unit.
A.
Sure.
My primary job is contract
administrator of Section 319 Clean Water Act projects.
That's my primary job.
Q.
What do you do 1n carrying out that job?
A.
I review section 319 application packages
each year, also draft financial assistance agreements,
and then I administrate those financial assistance
agreements.
Q.
what 1S your role on behalf of the Agency
with respect to the Piasa creek Watershed project?
A.
What do you mean by -- clarify role.
Q.
well, I'd like you to describe your duties
and responsibilities with respect to that project.
A.
What I was assigned to in 2001 by Rick
Mollohan, who was the previous unit supervisor for
Nonpoint Source pollution unit, was to be involved
with observing, meeting with Great Lakes Land Trust,

6
1
and reviewing documents.
2
3
Q.
A.
Documents from who?
Documents from Great Rivers Land Trust as
4
required in the NPDES permit.
5
Q.
I think the first time you mentioned that
6
entity you may have called it Great Lakes Land Trust.
8
9
A.
Q.
GRLT.
A.
Q.
A.
Q.
A.
Q.
very
good.
I may occasionally refer to it as
16
very
good.
17
By the way, I want to ask you -- and you've done
18
it already, which is great -- if any question I ask is
19
not clear to you, will you please --
20
21
22
23
A.
Q.
A.
Q.
Sure.
-- pause and just tell me that?
sure.
And I'll try to rephrase the question.
24
Otherwise, I'll assume that you understand the

7
1
question, unless your answer 1S maybe not connected to
2
the question. Then we'll circle back around --
3
A.
okay.
4
5
Q.
A.
-- and make sure we're on the same page.
Sure.
6
Q.
Ve ry good.
Thank you.
7
Have you had your deposition taken before?
8
A.
No, I haven't.
9
Q.
well, a few warni ngs.
I al ready gave you the
10
first one about clarity of questions. You do have to
11
give an audible response to every question.
So a head
12
nod won't do it.
Even if the answer is yes, you can't
13
just shake your head yes.
You have to say yes.
14
A.
okay.
15
Q.
very good.
Have others assisted you 1n your
16
work with the Great Rivers Land Trust with respect to
17
the piasa creek Watershed project?
18
A.
What do you mean by assist?
19
Q.
I'm talking about others with the Agency 1n
20
connection with the duties that you've described, such
21
as obse rvi ng the proj ects, meeti ng wi th GRL T
22
officials, and reviewing documents.
Have other people
23
within the Agency assisted you?
24
A.
The only assistance that I'm aware of is

1
2
3
4
5
6
7
8
9
10
11
12
13
14
15
16
17
18
19
20
21
22
23
24
8
communications with my supervisors what we're doing.
Q.
okay.
A.
But I have strictly met with Great Rivers
Land Trust either by myself or in association with
like a watershed tour, where fellow unit staff and
interns have participated in that.
Q.
I understand.
DO you consider yourself to be
the Agency's primary contact person with the Piasa
creek watershed project?
A.
For the watershed planning portion of it.
Q .
All ri ght.
Now, what do you unde rstand to be
the watershed planning portion of the Piasa Creek
watershed project?
A.
Nonregulatory aspects, discussions about the
watershed plan and that implementation.
Q.
What other aspects of the piasa creek
watershed project do you understand to exist other
than the watershed portion?
A.
Can you define aspects?
Q.
well, I
I'm looking for you to define it,
because really what I'm looking for here, scott, is
just kind of the array of work that you do with the
piasa creek watershed project, and then your
understanding of any other aspects of the project that
Electronic Filing, Received, Clerk's Office, August 30, 2007

9
1
may be covered or addressed by other Agency
2
representatives. why don't we start with just
3
A.
Sure.
4
Q.
what you do.
In case you haven't fully
5
fleshed out for us what you do --
Q.
-- I want to glve you this opportunity to
explain in greater detail what you do with respect to
the piasa creek watershed project.
A.
Sure.
I have met with them.
I have been
about the geomorphic inventory assessment that was
done, the five-year review package that Great Rivers
Land Trust put together, and then the watershed plan
and all the components of that.
Q.
Now, what does that leave that others at
Illinois EPA have covered besides yourself?
A.
It leaves the regulatory permit section.
Q.
All right.
You don't get involved in
permitting?
A.
NO, I don't get involved with decisions with
the permitting.
Q.
Now, when we -- when you talk about decisions
with permitting, are you referring actually to
with them for watershed tours.
6
7
8
9
10
11
12
13
14
15
16
17
18
19
20
21
22
23
24
A.
Sure.
I have discussed items
Electronic Filing, Received, Clerk's Office, August 30, 2007

10
1
Illinois-American water company's permit or do permits
2
apply to the Piasa creek watershed project as well?
3
A.
I'm only aware of one NPDES permit that
Q.
Right.
A.
Alton
plant.
Q.
For the
Alton plant.
okay.
A.
Correct.
Q.
okay.
I
understand.
very good.
I'd
1 i ke to
focus on a time in either 1999 or 2000, Scott.
4
applies to the Piasa creek and that's with
5
Illinois-American.
6
7
8
9
10
11
I'm
12
not sure exactly when this began, but there was a
13
point in time officials from Illinois EPA worked with
14
officials from the Illinois-American Water company to
15
establish sort of a baseline or an estimate of the
16
total suspended solids that were expected to be
17
discharged from the Alton plant.
Are you aware of
18
that?
19
A.
I was not involved with this project at that
20
time.
21
Q.
Great.
You just anticipated my question.
22
when did you start to become involved?
23
24
A.
Q.
March of 2001.
And what happened then that linked you to the

11
Piasa creek project?
A.
I was given it to me by Rick Mollohan to
as a part of the Nonpoint Source pollution unit.
Q.
very good.
Once you began and after you
began, did you do any kind of critical analysis of the
estimate, the TSS loading estimate from the Alton
plant?
A.
The only involvement I've had with that is
the watershed plan implementation stated the methods
of determining sediment savings.
Q.
okay.
So you've looked at it then on the
savings side.
A.
Correct.
Q.
And not on the side of the anticipated TSS
discharge from the plant?
A.
Correct.
I have not looked at it from any of
the effluent or influent portion of it.
Q.
very good.
Are you aware that the estimate
established at the outset of the piasa Creek watershed
project, the estimate for TSS loading from the plant
was approximately 3,300 tons per year?
A.
Define what you mean when that figure was
given.
1
2
3
4
5
6
7
8
9
10
11
12
13
14
15
16
17
18
19
20
21
22
23
24
Q.
well, I believe that figure was given prlor

12
1
to March of 2001, prlor to your involvement.
But have
2
you done any critical analysis of that figure Slnce
3
4
5
6
7
8
9
10
11
12
13
14
15
16
17
18
19
20
21
22
23
24
your involvement?
A.
NO.
The only thing that I've seen with
savings is the amount that the Great Rivers Land Trust
reports.
Q.
very good.
what has been your role, if any,
in selecting specific projects for the piasa creek
watershed project?
A.
The role for selection has been the Great
Rivers Land Trust.
They have just informed me and
kept me informed of that work.
Q.
Once you have been informed by the Great
Rivers Land Trust of a new project, did you perform
any kind of critical review of that project?
A.
NO.
Q.
Did anyone in the Agency perform a critical
review to your knowledge?
A.
Not that I'm aware of.
Q.
Have you ever approved projects proposed by
the Great Rivers Land Trust?
A.
No.
Q.
Have you ever supplied comments on projects
proposed by the Great Rivers Land Trust?

13
1
A.
The only comments I've supplied 1S with the
2
watershed plan implementation itself.
3
Q.
Now, when a new project was proposed to you,
4
did you do anything to look into that project and
5
determine how it might function?
6
A.
What do you mean with function?
7
Q.
well, how the soil savings would be achieved
8
as proposed by Great Rivers Land Trust.
9
A.
The way that was informed to me by Great
10
Rivers Land Trust is they have a working contract with
11
local soil and water Conservation Districts --
inspections.
Q.
SO you didn't perform any kind of critical
reV1ew then of the design --
A.
NO.
Q.
-- or installation?
Have you performed any critical reV1ew of
inspections of projects once implemented?
A.
I have observed practices, but I have not
inspected them.
Q.
To your knowledge do your super10rs at the
Agency approve projects or comment upon them?
12
13
14
15
16
17
18
19
20
21
22
23
24
Q.
A.
okay.
-- that will do the design, installation, and

1
2
3
4
5
6
7
8
9
10
11
12
13
14
15
16
17
18
19
20
21
22
23
24
14
A.
Not that I'm aware of.
Q.
Have you ever supplied comments to Great
Rivers Land Trust regarding the effectiveness of any
particular project they propose to be implemented or
that they have implemented?
A.
could you repeat that again?
Q.
Have you ever supplied comments to Great
Rivers Land Trust representatives concerning projects
they propose to implement or projects they have
implemented?
A.
Technical or nontechnical?
Q.
Let's start with technical.
A.
No.
Q.
HOW about nontechnical?
A.
General comments of it may be a good project.
Q.
All right.
A.
Just general feedback like that.
Q.
I understand.
How frequently since
Slnce
you began -- strike that.
since you began working with the Great Rivers
Land Trust folks in March of 2001, how frequently have
you physically gone to the Piasa creek watershed in
connection with the actual Piasa Creek Watershed
project?

15
1
A.
DO you mean -- to clarify that, do you mean
2
at the office, in the watershed, or what do you mean
3
by
that question?
4
Q.
I mean any kind of professional role that
5
you've filled that relates to that watershed project,
6
whether it's in the office or out in the field.
7
A.
So you're wanting to know how many times that
8
I've associated with them or met with them.
9
10
11
12
13
14
15
16
17
18
19
20
21
22
23
24
Q.
Correct.
A.
Ten times.
Q.
I see that you're referring to a document
there.
Does that document -- is that sort of a log of
your visits?
A.
Yes.
Q.
I wonder if you'd please just run through for
the record, and feel free to refer to that document if
you'd like, and describe what you did during those ten
visits.
A.
The first visit was March of 2001.
It was
the first basic meeting that we had.
It was Alley
Ringhausen, Mark Johnson, and myself.
The second one was June 29th of '04, and I think
that referred to the annual meeting that's required in
the NPDE5 permits.

16
A.
I have down Novembe r 30th of '05.
Q.
What was the purpose of that visit?
visit, when was that?
A.
The fifth visit was october 18th of '06, and
that was meeting with them to discuss the watershed
process and implementation of the best management
practices.
Q.
What did you do at that meeting?
A.
Discussed the project. Alley presented what
they're doing, what they're meeting, what they
anticipated for meeting.
Q.
What was the next visit?
A.
The next vi si twas Apri 18th of 2005, and to
my understanding it was the same type of annual
meeting that is required.
Q.
And did you do the same type of work at that
visit as you did at the second visit?
A.
Yes.
They might have -- at that point we
might have went out to look at some of the practices
in the watershed at that point.
Q.
When did you meet with them for the fourth
time?
1
2
3
4
5
6
7
8
9
10
11
12
13
14
15
16
17
18
19
20
21
22
23
24
A.
Q.
The same, annual.
Annual meeti ng, all ri ght.
And the fifth

17
1
Q.
okay.
Let's talk some more about those
2
discussions.
Tell us as much as you can recall
3
regarding that fifth meeting.
4
A.
Just basic information on what Great Rivers
5
Land Trust is doing with the watershed implementation
6
plan.
7
8
Q.
A.
You mentioned best management practices.
Correct.
9
Q.
Did you in fact perform any kind of critical
10
reVlew of the activities of Great Rivers Land Trust to
11
determine if they were indeed following best
12
management practices?
13
A.
what do you mean by critical review?
14
Q.
well, in your position with the Nonpoint
15
Source pollution unit, did you examine the practices
16
of Great Rivers Land Trust to conclude that they
17
either were or were not meeting BMP?
18
A.
I have done visual observations.
19
Q.
And you did that to determine whether they
20
were ln fact meeting best management practices?
21
A.
I was there to basically observe what
22
practices were being installed.
23
Q.
Did you conclude at that time that they were
24
installing best management practices?

1
2
A.
Q.
Yes.
Have you ever concluded that Great Rivers
18
3
Land Trust was not following BMP with respect to the
4
projects at the piasa creek Watershed project?
5
A.
Can you define not following?
6
Q.
well, I'm going to have to ask you to do
7
that, sir, because it's -- I don't know technically
8
what you might have been thinking, but I'm just trying
9
to find out if you've ever concluded that the
10
practices of the Great Rivers Land Trust at the piasa
11
Creek watershed project failed to be best management
12
13
practices.
A.
No,
I never determined that they failed to be
14
best management practices.
15
Q.
Did you ever tell Alley Ringhausen or anyone
16
else at Great Rivers Land Trust that you felt that
17
they were following best management practices?
18
A.
I told them that they were following the
19
implementation plan, the watershed implementation
20
plan.
If that's what you mean by best management
21
practices.
22
Q.
well, in your oplnlon did following the
23
watershed implementation plan constitute best
24
management practices?

1
2
3
4
5
6
7
19
A.
They were involved at the watershed
management plan, yes.
Q.
BMP was involved 1n it?
A.
Yes.
Q.
very good.
To your knowledge has anyone else
at the Agency ever examined the work of Great Rivers
Land Trust in connection with the Piasa creek
8
watershed project and performed any critical review of
9
that work?
10
The other staff
11
12
13
14
15
16
17
18
19
20
21
22
23
24
A.
No.
Not to my knowledge.
observed, like I did.
Q.
what other staff has observed the Piasa creek
watershed project?
A.
A fellow worker.
Do I glve her name?
okay.
Barb Lieberoff.
She also 1S 1n my unit.
Q.
What has Barb observed?
A.
The best management practices in the
watershed tours that were given.
Q.
And how many times has she been to the piasa
creek watershed?
A.
Twice.
Q.
Anyone else?
A.
The Governor Environmental corps interns.
They're summer college students.

1
2
Q.
A.
Anyone else?
NO.
20
3
Q.
Let's go back to your visits to the piasa
4
Creek watershed.
I think we're through visit number
5
five.
when did you visit the sixth time and what did
6
you do during that visit?
A.
It was the Piasa Creek watershed tour June
14th, 2002.
Q.
oh, okay.
So the first five you've told me
about were actual meetings.
A.
Correct.
nlne altogether.
Q.
Ve ry good.
A.
There were five meetings and three watershed
tours that I attended.
Q.
okay. well, let's look at the sixth --
A.
Sure.
visit.
7
8
9
10
11
12
13
14
15
16
17
18
19
A.
Q.
okay.
There were -- I'm sorry, there were
20
Q.
And now you're goi ng to tell me about fou r
21
visits?
22
A.
Three water --
23
Q.
Three visits?
24
A.
Three watershed tours.

1
2
3
Q.
A.
Q.
I'm sorry.
Correct.
I'm with you.
I'm not doing the math
21
4
correctly.
5
A.
That's fine.
I might have stated ten, but
6
when I looked back, it was only nine.
7
Q.
Let's talk about that first tour that you had
8
then ln 2002.
9
10
11
12
13
14
15
16
17
18
19
20
21
22
23
24
A.
Sure.
Q.
What occurred at that time?
A.
We met at Lewis and clark community college.
There were Great Rivers Land Trust staff there,
Illinois-American Water company staff, myself, and
there might have been some either board members or
general public.
Q.
okay. What occurred during that visit?
A.
Basically we got into a school bus.
It was
not air-conditioned.
Q.
oh-oh.
A.
And took us around to various sites of the
best management practices ln the watershed.
Q.
very good.
Tell me about your second tour.
A.
Sure.
second tour was June 25th of 2003, and
we met at the office -- Great Rivers Land Trust

22
Doing it agaln.
Let me see if I'm clear on the last meeting.
If
you would feel free again to refer to your notes,
office.
Met with Alley Ringhausen.
It was myself,
Barb Lieberoff from our Agency, and I can't remember
how many interns were with us at that point.
Q.
What occurred?
A.
Basically, Alley gave us a little
introduction of the project itself, then we went out
and observed some of the BMPS installed in the
watershed.
Q.
All right.
When was the next tour?
A.
The next tour was July 20th of '05, and it
was very similar to what would happen -- what we did
in the previous tour, but this time Illinois-American
Water company staff was involved, and there could have
been some representatives from the board of Great
Rivers Land Trust also participated in this. And it
was a general information watershed tour also.
Q.
And finally, the last tour, when did that
occur and what happened?
A.
That was the three tours that I was involved
with.
1
2
3
4
5
6
7
8
9
10
11
12
13
14
15
16
17
18
19
20
21
22
23
24
Q.
okay.
BOY, I'm doing it agaln.
Aren't I?

23
1
Scott, when did the last meeting occur?
2
A.
The last meeting with Great Rivers Land Trust
3
4
5
6
7
8
9
10
11
12
13
14
15
16
17
18
19
20
21
22
23
24
was october 18th of 2006.
Q.
would you explain what occurred at that
meeting?
A.
I met with Alley Ringhausen.
He gave me an
update of what's happening in the watershed
implementation plan.
He gave me a tour of the
different practices, such as the Boy Scout lake
project, which was their big project.
We ate lunch
and I came back to springfield.
Q.
During that meeting with Alley Ringhausen,
did he
did the two of you discuss the progress of
the piasa creek watershed project at the five-year
mark?
A.
NO.
Q.
Have you ever discussed with Mr. Ringhausen
the five-year progress?
A.
He gave me at the second watershed tour Great
Lakes -- I'm sorry, there we go again -- Great
Rivers', GRLT, summary.
It was a binder that included
these elements.
Q.
okay.
When was that meeting?
A.
That was handed to me at the second watershed

1
2
3
4
5
6
7
8
9
10
11
12
13
14
15
16
17
18
19
20
21
22
23
24
24
tour, June 25th -- I'm sorry.
NO.
I correct myself.
That was during the third tour.
Q.
Third tour, all right.
A.
Right.
Q.
And when did the third tour occur?
A.
I have 7/20/05.
Because this document was
produced, according to what I see, March of 2004.
Q.
why don't we go ahead and have this marked as
an exhibit, please. call it Exhibit 1.
(Deposition Exhibit Number 1 marked for
identification.)
Q.
I'll hand Exhibit 1 back to you.
I'd like
you to just describe for the record really the full
contents of what Mr. Ringhausen gave you at that tour
on July 20th of 2005.
A.
Are you asking about the tour itself or about
this review package?
Q.
Let's focus on the review package.
I assume
you've just given us the table of contents --
A.
Correct.
Q.
-- to a larger document.
A.
Correct.
Q.
Describe the larger document, please.
A.
Sure.
The larger document basically has the

1
2
3
4
5
6
7
8
25
table of contents which is involved.
If you want me
to describe all that, that's all in --
Q.
well, let's see if we can't find a shortcut
here.
Are you saying that he provided you with the
piasa creek Watershed project report dated March 2004?
A.
Correct.
Q.
very good.
So what we have marked as Exhibit
1 is just a -- one of the tables of contents to that
9
report, is that correct?
10
11
12
13
14
15
16
17
18
19
20
21
22
23
24
A.
Correct.
This is the primary one. This 1S
just a summary table.
Q.
very good. All right.
I'll give that back
to you.
Except I'm -- the court reporter is going to
need to keep Exhibit 1.
Thank you.
Have you ever heard the term uncertainty
discount?
A.
No.
Q.
You're hearing it for the first time today?
A.
Correct.
MR. HILES:
would you please mark this as
Deposition Exhibit 2.
(Deposition Exhibit Number 2 marked for
identification.)
Q.
I'm handing you a document marked Defendant's

26
1
Deposition Exhibit 2.
This is a recent order of the
2
hearing officer ln our adjusted standard case, Scott.
moment to look it over.
3
4
5
A.
Q.
Yes.
And I'm gOlng to just ask you to take a
I'll give you time if needed
6
to read the whole thing, but I have a simple question
today?
A.
Yes.
Q.
When did
you fi r s t see
it?
A.
Last
Friday.
Q.
What were
the
circumstances
of you
seelng
7
at the outset.
Have you seen this document before
8
9
10
11
12
13
that document for the first time?
14
15
8.
16
A.
Q.
I was asked to address questions a, b on page
Have you reviewed at all the questions that
17
are found prior to page 8?
18
A.
I have looked through, but I haven't in
19
detai 1 revi ewed.
20
Q.
Have you supplied any information to the
21
Agency with respect to the questions which precede
22
page 8?
23
A.
In what terms? can you restate the question
24
again?

27
1
MR. HILES:
would you please read back the
2
questi on?
your employer.
A.
Staff?
Q.
Yes.
to Agency staff?
A.
I spoke to them about the educational
outreaches.
Q.
There have been educational outreaches.
A.
Yes.
Q.
Haven't there?
A.
Yes, yes.
Verbal comment.
comment upon?
okay.
which questions did you supply a
Question 3a.
Is that on page 3?
Correct.
What was your comment on question 3a?
Define -- can you say that again?
What was your comment on question 3a provided
(The reporter read the last question.)
Could you define Agency?
Illinois Environmental Protection Agency,
A.
Q.
A.
Q.
A.
Q.
A.
Q.
A.
Q.
verbal
3
4
5
6
7
8
9
10
11
12
13
14
15
16
17
18
19
20
21
22
23
24

1
Q.
Did you speak with them concerning habitat
28
2
restoration?
Q.
So you commented to someone on the Agency
staff about stream stabilization?
A.
Correct.
Q.
That that has been an accomplishment at the
piasa creek Watershed project?
A.
The discussions went back to the geomorphic
inventory that addresses the 30 transections or
cross-sections of the stream that was used.
Scott?
A.
That that was used to determine stream -- how
did I -- stream -- it's not bed mode, but the
substance on the stream that 1S being measured when
they did the cross-sections.
Q.
very good.
And who did you talk to about
educational outreach?
A.
My superv1sor.
Q.
Anyone else?
A.
Not that time.
Q.
who did you talk to about habitat
restoration?
3
Stream stabilization.
4
5
6
7
8
9
10
11
12
13
14
15
16
17
18
19
20
21
22
23
24
A.
Q.
okay.
what specifically was your comment,

29
A.
My supervlsor.
Q.
I don't understand the link, by the way, of
the geomorphic study to habitat restoration. could
you explain that?
inventory assessment that was done in 2002 by Shannon
& wilson on behalf of the Great Rivers Land Trust.
What they did is they went out and conducted 30
cross-sections across the stream at various points ln
the watershed, established a monument.
And the intent
-- my understanding of the intent is to measure stream
channel movements, composition, vegetation, so they
can come back in further years and use that as a
baseline.
Q.
Did you provide comments to any other Agency
staff with respect to question 3a on page 3 other than
the ones you've just told us about?
A.
Repeat that question again and define it.
Q.
Did you provide any other comments with
respect to question 3a on page 3 of the order other
than the comments you've just told us about?
A.
To my knowledge that was the basic
discussions.
very good.
1
2
3
4
5
6
7
8
9
10
11
12
13
14
15
16
17
18
19
20
21
22
23
24
A.
Q.
Sure.
The geomorphic assessment was an
I'd like you to now look at the

30
MR. HILES:
Sure.
Let's go off the record.
(Discussion off the record.)
Q.
You've just taken some time to review the
hearing officer's order. And again I'll return to the
question, and that is which of the questions in that
order, other than 3a on page 3 and the questions on
page 8, have you examined and discussed with Agency
staff?
A.
I have discussed 2c.
Q.
For now let's just go through and identify
them.
2c is the first one. What other questions?
rest of this order, Scott. And again my question is
going to be, prior to the questions on page 8, have
you addressed any of the questions with Agency staff?
A.
Can you clarify if this was on Friday?
Q.
Really, what I'm interested in knowing 1S
from the time this order was issued, which was Monday,
the 8th of August, have you discussed any of these
questions with Agency staff other than question 3a on
page 3 and the questions which appear on page 8?
MR. SOFAT:
Scott, do you need time to go
through this?
A.
Yes.
1
2
3
4
5
6
7
8
9
10
11
12
13
14
15
16
17
18
19
20
21
22
23
24
MR. SOFAT:
Can
we just glve him time?

31
1
A.
5 and the paragraphs on the top of page 8.
2
Q.
Let's go back to 2c.
what have you discussed
3
with Agency staff with respect to question 2c?
4
A.
What we discussed was that we were not aware
5
of the Illinois state Water survey's -- well, let me
6
think a minute, please.
I was not aware of any direct
7
Illinois State Water survey's involvement with the
8
BMPS in Great Rivers Land Trust watershed
9
implementation plan.
10
Q.
Has the Illinois State Water survey been
11
involved in the BMPs?
12
A.
The only knowledge I have 1S they've been
13
involved at the beginning of this when -- back in 2000
14
with the adjusted standards request.
15
Q.
who did you discuss this with at the Agency?
16
A.
supervisor and -- my superv1sor.
17
Q.
Just with your supervisor?
18
A.
with the aspect of Illinois State water
19
involvement I've talked to legal people about that,
20
too, legal section.
21
Q.
Have you talked to anyone at the Illinois
22
State Water Survey about that?
23
A.
If I did, it was very informal, short
24
discussions.

1
2
3
4
5
6
7
8
9
10
11
12
13
14
15
16
17
18
19
20
21
22
23
24
32
Q.
what did you discuss with your supervisor?
A.
I just discussed that Illinois State Water
survey wasn't to my knowledge involved with the BMP
designs or implementation.
Q.
Did she tell you that the Illinois State
Water survey should have been involved with the BMPS7
A.
No.
Q.
Did she have anything critical to say about
the Illinois State Water survey's lack of involvement
with the BMPs?
A.
NO.
Q.
SO have you just told us the essence of your
discussion with your supervisor
A.
Correct.
Q.
-- concerning question 2c?
A.
Correct.
Q.
very good.
And then I think you said the
other question was question number 5, which really
kind of rolls into the questions on page 8, does it
not?
A.
Correct.
Q .
All ri ght.
Before we get to questi on 5, I
want to go back to some other issues.
Have you ever advised representatives of Great

1
2
3
4
5
6
7
8
9
10
11
12
13
14
15
16
17
18
19
20
21
22
23
24
33
Rivers Land Trust that they should be discounting in
any way the amount of soil saved in the projects they
were implementing at the Piasa creek watershed
project?
A.
Can you define discounting?
Q.
well, let's back up a little bit. Do you
agree with me that on a quarterly basis Great Rivers
Land Trust issues a report examining all of the
projects implemented at the Piasa creek watershed
project?
A.
The quarterly reports I recelve from Great
Rivers Land Trust informed of the projects.
Q.
And the information contained in those
reports includes information of soil saved on an
annual basis relayed in tons, is that correct?
A.
Some have, but not all of them.
Q .
All ri ght.
For those whe re tons of soi 1
saved have been reported, have you ever concluded that
there should be some discounting of the tons of soil
saved?
A.
No.
Q.
Have you ever concluded that Great Rivers
Land Trust might be exaggerating the estimated tons of
soi 1 saved?

34
A.
NO.
Q.
Have
you
ever
had discussions with others at
the Agency to the effect that Great Rivers Land Trust
might be exaggerating the tons of soil
saved?
A.
The only discussions I had is the method that
they're determining the sediment reduction.
Q.
SO you
have
not had discussions with others
at the Agency concerning some sort of discounting
factor, is that correct?
1
2
3
4
5
6
7
8
9
10
A.
That's correct.
11
Q.
TO your knowledge has anyone at the Agency
12
concluded that Great Rivers Land Trust should be
13
discounting the estimated tons of soil
saved
in the
14
projects at the Piasa creek watershed project?
15
A.
No, I'm not aware of that.
16
Q.
Are you familiar with EPA's final policy on
17
water quality trading?
18
A.
No, I'm not.
19
Q.
Have
you
eve
r read it?
20
A.
what specific document are you talking about?
21
Q.
I'm going to show you a document -- we won't
22
have
it marked as an exhibit -- and the heading 1S
23
united States Environmental protection Agency, Office
24
of water, water Quality Trading policy, dated January

35
1
13th,2003.
Have you ever read that policy before?
2
A.
I have not read through that policy.
3
Q.
prior to issuing a final policy, the one that
4
I've just shown you, EPA issued a draft policy in the
5
1990s.
Have you ever read the EPA draft policy?
6
A.
Do you have a certain date or a certain
7
document number to that?
8
Q.
I do.
I'm gOlng to show you, without
9
marking, a document that was published in the Federal
10
Regi ste r in May of 1996, and it's enti tl ed Draft
11
Framework for watershed-Based Trading.
DO you recall
12
having read that document?
13
Actually, there are many coples ln there if you
14
want to just take the one off the top.
15
A.
okay.
No.
16
Q.
May I have that back, pl ease?
Q.
Thank you.
Are you familiar with an equation
developed by the united States Department of
Agriculture known as the Revised universal Soil LOSS
Equation?
A.
Yes.
Q.
when did you become familiar with that?
A.
We use that in section 319 BMP workbook to
17
18
19
20
21
ZZ
23
24
A.
Sure.

1
2
3
4
5
6
7
8
9
10
11
12
13
14
15
16
17
18
19
20
21
22
23
24
36
estimate pollutant loading reductions with our Section
319 projects.
Q.
Rather than read the name of that equation
each time, I'm just gOlng to refer to it as RUSLE.
A.
RUSLE.
Q.
RUSLE.
Good.
That's better yet.
Do you work with RUSLE on a regular basis?
A.
I work with RUSLE within an Excel spreadsheet
that does calculations using RUSLE.
Q.
SO you work with it on the calculation side?
A.
Correct.
Q.
Have you ever examined the inputs that go
into or that went into the preparing of the RUSLE
equation?
A.
I have knowledge of their using like soil
slope, climate data, different elements like that.
Q.
Do you know if RUSLE is used to calculate
soil savings at the piasa creek watershed project?
A.
They have stated that in the watershed
management section -- or, watershed implementation
plan that RUSLE and universal soil Loss Equation is
used.
Q.
Do you believe that RUSLE and universal Soil
Loss Equation are appropriate for calculating soil

1
2
3
4
5
6
7
8
9
10
11
12
13
14
15
16
17
18
19
20
21
22
23
24
37
savings at the Piasa creek watershed project?
A.
Yes.
Q.
Do you consider RUSLE to incorporate
discounting factors to account for uncertainty?
A.
I'm not aware of those.
Q.
So they may incorporate discounting factors
and you just don't know?
A.
The understanding I have with RUSLE
concerning how they use it with United States
Department of Agriculture NRCS, I'm not aware of any
discounting.
Q.
Have you ever heard the term retirement
credits used in connection with nonpoint source TSS
trading?
A.
No.
Q.
Have you ever heard the term retirement
discount used in connection with nonpoint source TSS
trading?
A.
NO.
Q.
Do you have an understanding of either term,
retirement credits or retirement discounts?
A.
I do not know the definition to those.
Q.
TO your knowledge has anyone ln the Agency
ever suggested to Great Rivers Land Trust that

1
2
3
4
5
6
7
8
9
10
11
12
13
14
15
16
17
18
19
20
21
22
23
24
38
retirement credits or retirement discounts ought to be
applied to TSS tonnage saved?
A.
Not to my knowledge.
Q.
The same question with respect to
Illinois-American Water company.
Let me just restate the question.
A.
please do.
Q.
To your knowledge has anyone at the Agency
suggested to Illinois-American Water company that
retirement credits or retirement discounts ought to be
applied to tons of TSS saved at the Piasa creek
watershed project?
A.
Not to my knowledge.
Q.
Let's turn now to Exhibit 2 again, scott, and
to that question S, which is on the next to the last
page. I believe you testified earlier that this 1S
the one question that you were asked to provide
specific input on here at the Agency.
IS that
correct?
A.
Sa, correct.
Q.
But not Sb?
A.
Sb also, too, correct.
Q.
Let's start with Sa.
Has the Agency made a
determination of effectiveness?

1
2
3
A.
Q.
A.
Not to my knowledge.
why not?
TO my understanding, that 1S the permit
39
4
Section's responsibility.
5
Q.
DO you know why the Permit Section did not
6
make a determination of effectiveness?
Q.
Did you urge them to make a determination of
effectiveness?
A.
I
provided a memo to them November 25th,
2005, overviewing the project.
Q.
DO you have a copy of that memo with you
today?
MR. SOFAT:
No, just to talk about this Sa
and b that you're talking about.
Or do you want to be
on
the record? That's fine, too.
MR. HILES:
Let's stay on the record.
MR. SOFAT:
okay.
We are gOlng to submit our
responses on the 21st.
I can understand you want to
know the essence of discussion and stuff.
I don't
have a problem.
But I still haven't, you know,
prepared the responses to these for the Board.
7
8
9
10
11
12
13
14
15
16
17
18
19
20
21
22
23
24
A.
NO, I don't.
MR. SOFAT:
MR. HILES:
Brad, can we stop here?
Just to take a break?

40
And that was November 5, did you say, of
I understand.
Inte rna 1 memo.
MR. HILES:
A.
Correct.
Q.
20057
A.
I'm sorry, November 21st.
MR. HILES:
while you look through your
documents, I'm going to ask the court reporter to mark
this, please, as Exhibit 3.
(Deposition Exhibit Number 3 marked for
identification.)
A.
Yes, I have it in front of me.
Q.
I'm going to hand you a document marked
Deposition Exhibit 3. And I think what I'll have you
MR. SOFAT:
So I think anything less than
showing everything, I think I'm okay with that, but I
think if you're -- it's in the process of preparation
is what I'm saying.
MR. HILES:
well, let me continue to explore
with this witness his inputs on these two questions.
MR. SOFAT:
okay.
Yeah.
I don't have a
problem with the essence of what happened.
Q.
Scott, let's turn again to the -- I believe
you said memo that you provided to the permitting
section.
1
2
3
4
5
6
7
8
9
10
11
12
13
14
15
16
17
18
19
20
21
22
23
24

41
1
do is compare Deposition Exhibit 3 with the document
2
that you have just located in your files and tell me
3
if these are the same documents.
MR. HILES:
Now, I would like to also have
the court reporter mark your document, please, as
Deposition Exhibit 4.
(Deposition Exhibit Number 4 marked for
identification.)
Q .
All ri ght.
I'm handi ng you r document now
marked Deposition Exhibit 4 back to you and r've put
it side by side with Deposition Exhibit 3. It does
appear to me that there's a notation on Deposition
Exhibit 4 that does not appear on Deposition Exhibit
3. It's in the upper right-hand corner, not the
extreme upper right-hand corner, but it's in all
capitals and it's underscored, and it says: "Illinois
EPA 5-Year Review Memo."
DO you see that?
A.
Correct.
Q.
NOW, that doesn't appear on 3.
Is there
anything else in Exhibit 4 that does not appear on 3?
Take all the time you need to review it.
A.
That's the only difference I can see, also.
Q.
Thank you.
when, if you know, was thi s added
4
5
6
7
8
9
10
11
12
13
14
15
16
17
18
19
20
21
22
23
24
A.
Yes, they are. Yes, it is.

42
designation put on the document that we see here as
Deposition Exhibit 4?
A.
I do not know that.
Q.
Did you put it on there?
A.
No, I didn't.
Q.
Do you know who put it on there?
A.
No, I do not know the pe rson that put that on
there.
these to be a determination of effectiveness?
A.
No.
Q.
why not?
A.
I consider this document to be an overview of
the project's compliance with the NPDES permit
condition.
Q.
which is why you gave it to the permit
Section?
A.
Correct.
Q.
Did you consider the project to be in
compliance with the NPDES permit held by the Alton
plant of Illinois-American Water company?
A.
Yes, I put that in my conclusions.
Q.
very good.
How did you come to prepare this?
What prompted you to do it?
1
2
3
4
5
6
7
8
9
10
11
12
13
14
15
16
17
18
19
20
21
22
23
24
Q.
Exhibit 3 and Exhibit 4, do you consider

43
A.
I was contacted by Illinois-American water
company about their provision and renewal of their
permit.
Q.
who contacted you from the water company?
A.
Tim -- I
I can't pronounce his last
Genz or -- I have to review my notes to get the
correct spelling of his last name. Tim G-a-n-z.
Q.
Tim Ganz.
Q.
very good.
what did Mr. Ganz tell you that
prompted you to prepare the memo?
A.
He did not tell me to prepare the memo.
He
was inquiring information about the renewal process.
Q.
I understand.
And what was it about that
inquiry that prompted you then to prepare the memo?
A.
Blaine Kinsley, K-i-n-s-l-e-y --
Q.
Yes.
A.
-- from the Permit section requested me to
prepare this memo for him.
Q.
Did you supply any other information to
Mr. Kinsley in connection with Mr. Ganz's inquiry?
A.
No other written.
Q.
Let's take a look, pl ease, at the second page
of the memo, Table 1.
1
2
3
4
5
6
7
8
9
10
11
12
13
14
15
16
17
18
19
20
21
22
23
24
A.
Ganz, correct.

up-to-date when this memo was prepared in 2005?
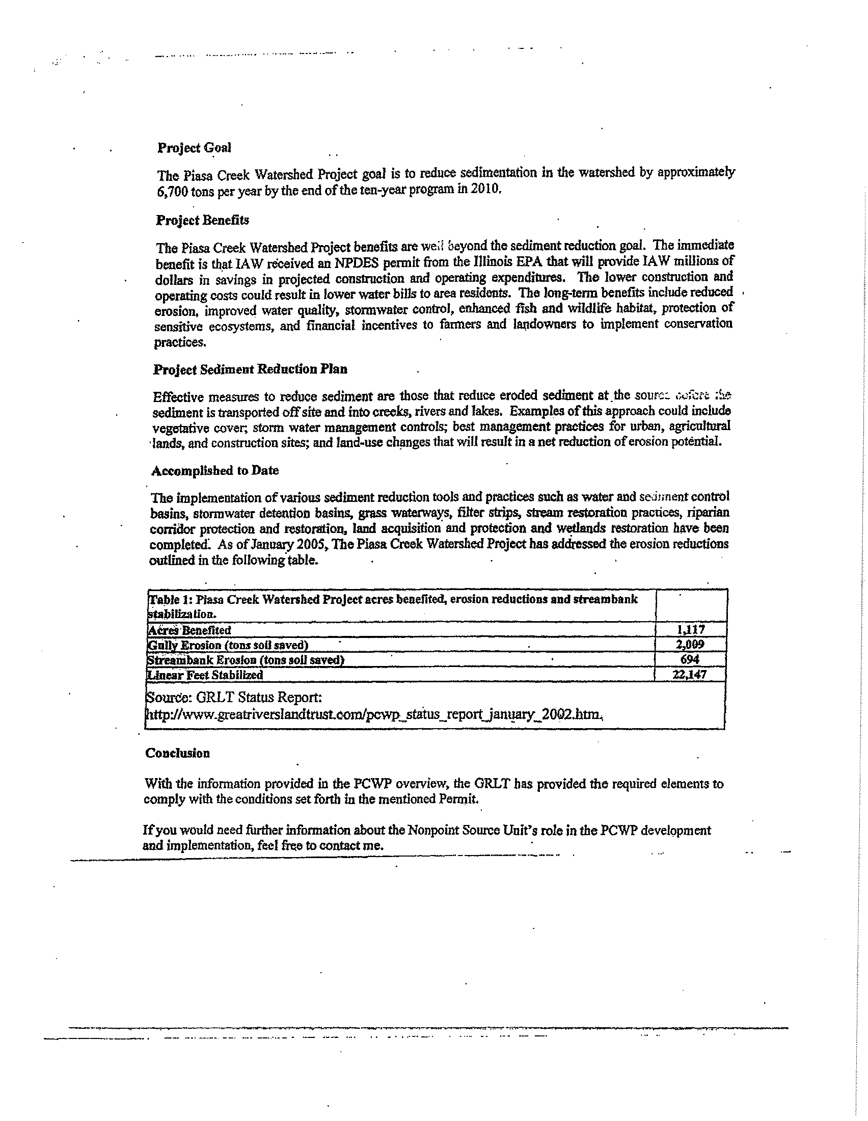
A.
It was a table that was available with the
Great Rivers Land Trust Web site that I used and just
took it off the web site.
Q.
All right.
I see in Table 1 that you
actually cite to that web site and cite specifically
to the report of January 2002.
A.
Correct.
Q.
Did you search for more updated information
at that time?
A.
On the web site.
Q.
only on the web site?
A.
Correct.
Q.
Was there, 1n fact, more acres benefited as
of the time you prepared this memo, November 21 of
2005, than the acres that are reflected here 1n Table
I?
1
2
3
4
5
6
7
8
9
10
11
12
13
14
15
16
17
18
19
20
A.
Q.
A.
Yes.
The conclusions on Table 1, were those
What I have 1n front of me 1S a spreadsheet
44
21
that the Great Rivers Land Trust used to document in
22
years increment the landowners involved, what phase,
23
detention basins, talking about the different best
24
management practices, cost involved, cost per ton,

1
2
3
4
5
6
7
8
9
10
11
12
13
14
15
16
17
18
19
20
21
22
23
24
45
government cost. It's basically just a basic
spreadsheet.
Q.
I'm familiar with that spreadsheet.
A.
You're familiar with this spreadsheet?
Q.
I'm just not sure why you put it in front of
you and why you're 1 ooki ng at it ri ght now.
why don't
you tell us that?
A.
Sure.
The date on this spreadsheet was
wednesday, October 18th, 2006.
Q.
Ve ry good.
A.
There is information on that up to 2006, but
I did not have this in my possession when I created
the memo.
Q.
I understand.
will you agree with me that
the acres benefited as of November 21, 2005, was
greater than the acres benefited as reflected in Table
1 of your memo?
A.
According to the spreadsheet, ln 2005 --
well, as of 2004 it says 2,623 acres.
Q.
Let's go to tons of soil saved.
A.
okay.
Q.
And what I'm looking for, Scott, is just a
total figure of the tons of soil saved, if you can
find that, as of November 21,2005, from all sources,

46
1
whether it's gully erosion or streambank erOSlon.
2
A.
okay.
3
Q.
And if you need to glve it to me ln pleces,
4
I'll write them down and we'll add them up.
5
A.
okay.
I will give you years, each year on
6
thi s sheet.
7
Q.
very good.
8
A.
And you can add it up.
9
As of completed projects 2001, soil saved 556
10
tons.
Year 2004 --
I have that.
Please continue.
2003, 932 tons.
I'm sorry.
AS of 2004, 2,164 tons.
Did you skip over 2003?
completed projects as of 2002, soil savings
Yes.
That's okay.
Q.
A.
Q.
A.
932
tons.
Q.
A.
Q.
A.
Q.
A.
Q.
A.
21
22
23
20
18
17
19
15
14
16
24
MR. SOFAT:
Can you repeat that?

47
932, 2,164, and 478? Those are the numbers?
2005, 478.
Q.
Tons of soi 1 saved?
A.
2,164 tons.
And I do not know an aspect of 2005 when this was
exactly calculated.
Q.
Do you have numbers on that spreadsheet from
2005?
Am I off by -- is it 556, 932,
sanjay, are you doing the same
Those are the numbers I have.
It just says summary of year completed
MR.
HILES:
MR.
SOFAT:
Correct.
MR.
HILES:
A.
I do.
A.
drill?
A.
Do you want me to repeat it again?
MR.
SOFAT:
No, it's okay.
Thank you.
Q.
I think we both wrote down the same numbers,
Scott. NOW it's just a matter of whether we can
arrive at the same total.
Q.
I'm going to add these up.
You'll have to
glve me a minute, though.
Hold on.
Adding up the figures that you have glven me from
2001 through 2005 the total I arrived at was 5,062
tons.
1
2
3
4
5
6
7
8
9
10
11
12
13
14
15
16
17
18
19
20
21
22
23
24

Q.
okay.
I think we can agree that the number
1S over 5,000 tons.
Scott, have you ever supplied a
figure to the permitting section that is an
all-inclusive figure through 2005 that is a figure 1n
excess of 5,000 tons?
A.
NO.
Q.
I apologize if I've asked this question
before, but to your knowledge has the permitting
section performed a determination of effectiveness?
A.
Not to my knowledge.
Q.
Let's go back to the hearing officer's order
on the last page, please. And I'd like to direct your
attenti on, Scott, to the second full paragraph set
forth in quotation marks near the top of page 8.
Do
you see that paragraph?
A.
Yes, I do.
Q.
After the three-dot ellipsis, the wording 1S
as follows:
"In addition to the fifth year review,
the Agency will continue to be involved in the site
selection process for the various aspects of the
project
"
Has
the Agency continued to be involved in the
site selection process for the various aspects of the
1
2
3
4
5
6
7
8
9
10
11
12
13
14
15
16
17
18
19
20
21
22
23
24
MR. SOFAT:
I'm getting 5,162.
48

49
project?
A.
I was never directly involved with site
selection process.
I just reviewed what methods and
what approaches that was used to then.
Q.
To your knowledge as anyone else at the
Agency been involved in the site selection process?
A.
Not to my knowledge.
Q.
Let's go to the rest of that sentence.
Have
you or to your knowledge anyone else at the Agency
helped review and implement management practices?
A.
I have observed and I have received
information about the practices.
Q.
Do you believe that constitutes the review
and implementation of management practices?
A.
How do you define review and implementation?
Q.
I'm just having to ask you to define that for
me because this is a directive to the Agency, Scott,
and so I'm asking for your interpretation of this
right now.
A.
Like I formerly stated, the design,
implementation, and inspection was through contracts
with Great Rivers Land Trust with Soil and Water
Conservation Districts.
1
2
3
4
5
6
7
8
9
10
11
12
13
14
15
16
17
18
19
20
21
22
23
24
Q.
I understand that.
But my question to you

50
1
1S, have you or others at the Agency helped review and
2
implement those management practices?
3
A.
I have seen those practices.
practices?
A.
Define reV1ew.
Q.
Again, I'm going to have to just ask for your
definition of it, Scott.
A.
I have seen those practices through the
quarterly reports and the information provided me
through Great Rivers Land Trust.
Q.
Do you consider that to be a reV1ew of the
management practices?
A.
I consider that to be review if they're
implementing the watershed management plan.
Q.
And to your knowledge were they implementing
the watershed management plan?
A.
TO my knowledge.
Q.
And again, continuing on that same quoted
paragraph on page 8, have you or anyone else at the
Agency analyzed quarterly reports submitted by Great
Rivers Land Trust?
A.
How do you define analyze?
Q.
Again, I'm going to have to ask you for your
4
5
6
7
8
9
10
11
12
13
14
15
16
17
18
19
20
21
22
23
24
Q.
Do you consider that to be a reV1ew of those

1
2
3
4
5
6
7
8
9
10
11
12
13
14
15
16
17
18
19
20
21
22
23
24
51
definition, Scott, because this 1S a directive --
A.
I have received them and looked at them.
Q.
DO you consider that to be an analysis of the
quarterly reports?
A.
I have considered that compliance with the
NPDES permit requirement.
Q.
And have you met periodically with the Great
Rivers Land Trust staff?
A.
AS I quoted and gave you those meeting dates,
yes.
Q.
Let's return to question Sa on page 8.
Other
than what you've testified to already, what have been
your discussions with Agency staff with respect to
question 3a -- or 5 -- I'm sorry, it 1S 3a -- no, it's
Sa.
Let me clear that up so we have a clear question
here.
other than what you've testified to already, what
have been your discussions with Agency staff with
respect to question Sa?
A.
The discussions with Agency staff, there has
been a quote in the Illinois pollution Control Board
in their 2000 from Rick Mollohan and Don Roseboom
quoting that determining effectiveness of such
watershed project and similar watershed projects
Electronic Filing, Received, Clerk's Office, August 30, 2007

52
1
cannot be done until or after ten years.
2
Q.
Is that why the Agency has not made a
3
determination of effectiveness at the five-year mark?
4
A.
I don't know.
5
Q.
well, why has that even been discussed that a
6
determination of effectiveness cannot be made until
7
ten years?
8
A.
Because of this question and me answering
9
this question.
10
Q.
Did anyone at the Agency tell you at the
11
five-year mark, hey, we need to make a determination
12
of effectiveness here?
13
A.
What do you mean by effectiveness?
14
Q.
well, I'm just using the term that came out
15
of the Board's order, scott.
I'm going to have to ask
16
you about that.
Has anyone at the agency told you
17
that the Agency needed to make a determination of
18
effectiveness at the five-year mark?
19
A.
The only discussions about that would have
20
been with the Permit section and I was requested to
21
make that memo review.
22
Q.
And the memo you're referring to here is
23
Deposition Exhibit 3 and Deposition Exhibit 4?
24
A.
Correct.
Electronic Filing, Received, Clerk's Office, August 30, 2007

S3
1
Q.
Is it your testimony that based upon inputs
2
ln 2000 from those two gentlemen you mentioned that
3
the Agency declined to make a determination of
4
effectiveness until the project had run its course
5
over ten years?
Section used.
Q.
what other discussions have you had with
staff with respect to question Sa?
A.
The term effectiveness, what do you -- what
does this mean by effectiveness.
Q.
Tell us about those discussions.
A.
IS effectiveness in the aspects of cost put
into the project? Is effectiveness involved with
sediment savings?
Q.
And what conclusions were reached?
A.
conclusions to my knowledge that both could
possibly be used.
Q.
In your discussions with Agency staff did
anyone conclude that when effectiveness focuses on
tons of soil saved that the Piasa creek watershed has,
ln fact, been effective?
A.
They have met goals set forth.
Q.
well, they've met the ten-year goal, in fact,
6
7
8
9
10
11
12
13
14
15
16
17
18
19
20
21
2Z
23
24
A.
I do not know the process that the Permit

54
tons.
haven't they?
A.
To my knowledge the ten-year goal was 6,600
effectiveness with respect to cost, did you say?
A.
Correct.
Q.
What were the discussions with respect to
cost-effectiveness?
A.
If the costs -- enough -- if the cost was
appropriate to what practices were installed.
Q.
And in your discussions with Agency staff
what, if any, conclusions were reached on that topic?
A.
That the costs were in line.
Q.
Are you aware that they have met and exceeded
that goal?
A.
Through communications by Great Rivers Land
Trust.
Q.
SO your answer 1S yes?
A.
With the communications.
I have not seen
that on paper yet.
I haven't seen it on the
spreadsheet.
Q.
DO you have any reason to doubt it?
A.
No.
well, actually,
You also mentioned
Q.
Let's turn to question 5b.
let's go back to question Sa.
1
2
3
4
5
6
7
8
9
10
11
12
13
14
15
16
17
18
19
20
21
22
23
24

55
1
Q.
SO basically, the conclusion was that the
2
costs have been effective. Is that correct?
3
A.
Effective for what? For tonnage of soil
4
saved?
5
Q.
I don't know.
These were your discussions,
6
so I don't know, Scott.
I'm asking you.
7
A.
The conclusion was that the total tons saved
8
in my opinion was in line with costs.
9
10
11
12
13
14
15
16
17
18
19
20
21
22
23
24
Q.
Were there any other discussions with respect
to 3a involving you with Agency staff.
Let me strike that.
I keep getting this number
wrong.
Have there been any other discussions with
respect to question Sa involving you other than the
discussions you've already testified to?
A.
They were the main discussions.
Q.
well, were there some ancillary discussions?
A.
If there was, I can't remember them right
now.
Q.
very good.
Let's move on to question 5b.
What discussions have you had with Agency staff with
respect to question 5b?
A.
Sb was discussions concerning how GRLT tracks
and documents the sediment savings within the

56
1
watershed through the implementation of the best
2
management practices.
3
Q.
And specifically what have you discussed with
4
Agency staff?
5
A.
The methods that they recorded and then the
6
sediment savings as I have in those documents.
7
Q.
well, let me ask you for your answer to
8
question 5b right now.
As the person from the Agency
9
who has spent the most time with officials at Great
10
Rivers Land Trust and the most time reviewing
11
documents about the piasa Creek Watershed project,
12
what is your answer to question 5b?
13
A.
From my perspective, I do not see any problem
14
with them generating or tracking or documenting
15
sediment savings within the watershed plan
16
implementation.
17
Q.
Do you mean by that that Great Rivers Land
18
Trust has accurately tracked the generation of
19
sediment savings in the Piasa Creek watershed?
20
A.
To the best of my knowledge.
21
Q.
Have you -- are there any other discussions
22
that you've had with Agency staff with respect to
23
question 5b other than what you've told us about?
24
A.
The discussions that I can recall have been

57
recommendation pleading in this case?
A.
You're referring to the 2000?
Q.
No.
I'm actually referring to a pleading
centered around the methods of generating sediment
savings, the sediment endpoint reduction method, the
way that they have been documented, and then the
reports that have generated them.
Q.
Now, question 5b also includes a comparison
to the load from the Alton plant.
Have you done any
comparison to the load?
A.
No, I have not compared the load.
Q.
who does that at the Agency?
A.
Bob Mosher from the standards Unit did that.
Q.
Have you discussed any of this with
Mr. Mosher?
A.
I was just involved with conference calls
with you when they were discussed and you were there
when they were discussing that.
Q.
okay.
50 all your discussions with
Mr. Mosher have been in my presence?
A.
Correct.
Q.
Or at least over the telephone?
1
2
3
4
5
6
7
8
9
10
11
12
13
14
15
16
17
18
19
20
21
22
23
24
A.
Q.
Correct.
very good.
Have you read the Agency's

58
1
filed in 2006 by Mr. Sofat and it's entitled
2
Recommendation.
It is a pleading which opposes
3
Illinois-American Water company's request for an
4
extension of the adjusted standard.
5
MR. SOFAT:
It's a recommendati on and it's
filed in 2007, so --
A.
could I see a copy of that,
MR. SOFAT:
Is this the one?
6
7
8
9
MR. HILES:
It is the one.
please?
10
Q.
I'm handi ng you a document, unmarked as an
11
exhibit, entitled Recommendation of the Illinois
12
Environmental Protection Agency.
I'll ask you to take
13
whatever time you need to just leaf through that in
14
order to determine if you've read it prior to today.
15
A.
To my understandi ng, thi sis the same one
16
that was produced by Tom, our other attorney.
17
Correct? Tom?
18
Q.
I don't know whether it was or not, Scott.
19
A.
If it's the same document as I've seen that
20
Tom produced, yes.
21
Q.
well, let me di rect your attention, please,
22
to page 8 of that document.
23
A.
Yes.
24
Q.
You see at the bottom of page 8 there is a

59
1
table that carries on to page 9.
the soil conservation efforts of those permit holders
identified in pages 8 and 9?
A.
I was asked by my supervlsor to help in the
development of this table.
Q.
And did you help in the development of that
table?
A.
Yes, I did.
Q.
Are you familiar with the soil conservation
practices conducted by those companies?
A.
The only knowledge I have with them is the
information provided by them, and that was done Vla
e-mail correspondence.
Q.
In connection with your provision of this
information for the recommendations brief?
A.
with this development of this table.
Q.
okay.
very good.
So prior to conducting
your research into those projects, you did not have
any personal knowledge of the information that's on
that table, is that correct?
A.
I am aware of the city of Greenville's NP --
I'm aware with Greenville's section 319 projects, but
2
3
4
5
6
7
8
9
10
11
12
13
14
15
16
17
18
19
20
21
22
23
24
A.
Q.
Correct.
were you asked to conduct any research into

60
1
that was in compliance with a TMDL, total management
2
discharge limit requirement.
3
Q.
Is that the only one you're familiar with?
4
A.
I have some knowledge, but very limited, of
5
the Lake springfield initiative, but I don't know if
6
it's directly related to that NPDES. I'm aware that
7
they're doing shoreline stabilization issues out
8
there.
And the same with Otter -- Otter Lake.
9
Q.
I have some questions for you about those
10
permit holders and their soil conservation efforts.
11
Let's begin with Otter Lake, please.
Are you aware
12
that the Otter Lake Water commission uses lime
13
softening in their treatment process?
14
A.
I'm not aware of the methods of what they're
15
using within the lake.
16
Q.
would you agree with me that a water company
17
which uses lime softening, if they were to return
18
their wastewater untreated to the lake, would actually
19
be adding sediment to the lake that was not originally
20
in the lake?
21
A.
I'm not familiar with the process for
22
determining that.
23
Q.
Are you aware that otter Lake 1S listed by
24
USEPA as an impaired water body?

1
2
A.
Q.
Yes.
And are you aware that that is due to soil
61
3
runoff causing excessive algogrowth and manganese
4
content?
5
6
A.
Q.
It's one of the impairments, yes.
So that Otter Lake water commission really
7
doesn't have a choice but to engage in soil
8
conservation measures on otter Lake, does it?
9
10
A.
Q.
I don't know.
Are you aware that the Otter Lake Water
A.
Is that
Illinois
clean
Lakes
program?
Q.
It
1 s .
A.
Yes.
Q.
And
are
you
aware
that
they've
received
a
phase
2
grant
of
$165,000,
agaln
from
the
state
of
11
commission has received a Phase 1 ICLP grant in excess
12
of $50,000 to assist in their water -- in their soil
13
conservation measures?
14
15
16
17
18
19
Illinois, to assist in their soil conservation
20
measures?
21
IS it a PLWIP grant?
22
23
A.
A.
COURT REPORTER:
priority Lake
I'm sorry?
PLWIP, priority Lakes --
24
it's a program through the Lakes Department that

1
2
provides Section 319 money for restoration work.
called PLWIP.
62
It's
3
Q.
And are you familiar with that grant being
4
given to the Otter Lake Water commission?
5
A.
I'm aware that one was given, but I'm not--
6
I don't administrate it or I don't have direct contact
7
with that.
8
Q.
And with that grant the Otter Lake Water
9
Commission was required to use that money for soil
10
stabilization measures, is that correct?
11
A.
I have not seen the agreement between
12
Illinois EPA and with Otter Lake.
13
Q.
Let's turn to the clinton Lake situation.
14
And you can feel free to refer to the table that you
15
helped prepare.
Are you aware that Ameren has
16
experienced sedimentation problem in clinton Lake?
17
A.
If that information was available, it was
18
through the soil and Water conservation District.
19
Q.
Are you aware of any actual conservation
20
measures conducted at clinton Lake or near its
21
shoreline by Ameren?
22
A.
I was provided information through the soil
23
and Water conservation District about practices.
24
Q.
okay.
Did any of those practices rise to the

1
2
3
4
5
6
7
8
9
10
11
12
13
14
15
16
17
18
19
20
21
22
23
24
63
level of actual conservation measures, Scott?
A.
What do you mean by conservation measures?
Q.
well, in fact, isn't it true that the money
Ameren
has spent with respect to Clinton Lake has been
devoted to survey and monitoring of erosion and
sedimentation in the lake?
A.
I would have to look at my e-mail
correspondence.
Q.
SO sitting here today, you don't know?
A.
I'd have to refer back to correspondence.
Q.
Do you have your e-mail correspondence with
you?
A.
I will look and see if I have it concerning
that.
Q.
Let's do that.
A.
I do not have that information with me.
Q.
very good. well, let's continue.
Lake springfield.
I have a number of questions
about Lake springfield and the efforts of City Water,
Light and power.
Are you aware that city water, Light
and Power uses lime softening in its water treatment
process?
A.
NO.
Q.
I apologize if I've asked this question

64
1
before, but do you know whether lime softening
2
actually adds total suspended solids to wastewater?
3
Do you know that one way or the other?
4
A.
Do you mean have I read it or do I know it to
5
be fact or what are you asking?
A.
The only -- if I would have heard it, it
would have been possibly with just general information
from permit staff people or engineers.
I'm not an
engineer, so -- I'm a biologist.
Q.
well, Scott, let me tell you what I'm getting
at here. In the filtering process at a water
treatment plant, when impurities are filtered from the
intake water and from the production process, are you
aware that at plants which soften their water with
lime those plants are adding solids to the wastewater?
Are you aware of that?
A.
Is that -- is that to remove the solids?
Q.
Yes.
A.
I'm aware they do methods to remove solids,
but I don't know what specific methods they do.
Q.
Are you aware of any water treatment plant
that uses lime softening and then discharges untreated
wastewater into the reservoir from which they drew
6
7
8
9
10
11
12
13
14
15
16
17
18
19
20
21
22
23
24
Q.
Let's start with, have you read it?

This
1
2
3
4
5
6
7
8
9
10
11
12
13
14
15
16
17
18
19
20
21
22
23
24
65
their water originally?
A.
No specific plant.
MR. SOFAT:
Brad, I'm gOlng to object.
DO you have personal knowledge of the questions
that opposing attorney is asking?
A.
I'm just saying that's a treatment process
that I'm not involved with.
Q.
very good.
Let's move on.
Are you aware that springfield Lake has been
declared impaired by US EPA?
A.
Yes.
Q.
And because it's been impaired, isn't it true
that city Water, Light and Power has no choice but to
engage in soil conservation measures on Lake
springfield?
A.
HOW do you define required?
Q.
Required because it's an impaired waterway.
A.
Impaired with the 303(d) list?
Q.
TO your knowledge impaired in any way.
is a federal --
A.
Right.
Q.
-- designation of impairment, Scott.
A.
Right.
Q.
And does that designation of impairment,

66
1
based on your research, obligate city water, Light and
2
Power to engage in soil conservation measures?
3
A.
To the best of my knowledge, impairments on
4
certain water bodies are on a list generated by the
5
Illinois Environmental protection Agency, which are on
6
the 305(b) and the 303(d) list.
7
Q.
And by virtue of being on that list is city
8
Water, Light and power obligated to engage in soil
9
conservation measures to your knowledge?
10
A.
They must adhere to the clean Water Act.
11
Q.
Are you aware that Illinois EPA has provided
12
funds to the city of springfield specifically for
13
shoreline stabilization?
14
A.
Yes.
15
Q.
Are you aware that Illinois EPA has provided
16
funds to the city of springfield specifically for
17
dredging of Lake springfield?
18
A.
I knew they dredged.
19
Q.
But you don't know if some of the funding
20
came from Illinois EPA?
21
A.
No, I don't know the specific --
22
Q.
Are you aware that Illinois EPA has provided
23
funding to the city of springfield for other soil
24
conservation projects?

67
A.
Yes.
Q.
Scott, to your knowledge has Illinois EPA
provided any funding to the Illinois-American water
company to be utilized for soil savings measures at
the Piasa creek watershed project?
A.
I'm aware of section 319 applications that's
been submitted to the Agency for consideration of
using section 319 funding for -- and let me get my
record.
I'm aware of both the Alton Lake Heritage
parkway Advisory commission, the southwestern Illinois
Resource Conservation and Development, and also for
the Great Rivers Land Trust section 319 application
packages.
1
2
3
4
5
6
7
8
9
10
11
12
13
14
Q.
All right.
Those are three entities that I
15
will tell you right now do not own, operate, control,
16
or contribute to Illinois-American Water company.
17
My question to you is, to your knowledge has
18
Illinois EPA provided any funding to Illinois-American
19
Water company to help them with soil conservation
20
measures in the Piasa creek watershed?
21
A.
Not directly to my knowledge.
22
Q.
well, let's talk about indirectly. Has
23
Illinois EPA provided funding to indirectly help
24
IllinoiS-American water company with soil conservation

68
1
measures in the Piasa creek watershed?
2
A.
Not to my knowledge.
3
Q.
To your knowledge has Great Rivers Land Trust
4
received any money from Illinois EPA to assist in soil
5
conservation measures in the piasa creek watershed?
Are you aware
6
7
8
9
10
11
12
13
14
15
16
17
18
19
20
21
22
23
24
A.
Not to my knowledge.
Q.
Let's talk about Lake Decatur.
or did you become aware --
MR. SOFAT:
Just one moment, pl ease.
Q.
In your research regarding Lake Decatur, did
you become aware that in 1984 one of the lake's basins
had become so shallow due to sedimentation that the
water treatment plant could no longer pump water from
it?
A.
I was not given that specific information.
Q.
Are you aware that Lake Decatur is considered
an impaired water by United States EPA?
A.
I would have to look that up.
Q.
Are you aware that according to estimates of
the Macon county soil and Water Conservation District
four dollars is saved in water treatment for everyone
dollar that is invested in conservation measures in
Lake Decatur?
A.
I do not believe that information was

Q.
Do you have any reason to doubt it sitting
here today?
A.
(shakes head from side to side.)
Q.
Are you aware that the Decatur water
treatment plant uses lime softening in its treatment
process?
response.
Q.
SO you're not aware that Lake Decatur uses
lime softening -- I'm sorry -- that the Decatur water
treatment plant uses lime softening?
A.
We just go back to the discussion we had
about that before.
Q.
Let's talk about Kincaid Lake.
Are you aware
that Kincaid Lake is considered by USEPA to be
impaired?
A.
Yes.
Q.
Are you aware that the upper reaches of Lake
Kincaid have been filled with approximately 100
million cubic yards of sediment since the lake was
constructed?
A.
I do not know specific tonnage.
Q.
Do you agree with me that they have a serious
1
2
3
4
5
6
7
8
9
10
11
12
13
14
15
16
17
18
19
20
21
22
23
24
provided.
A.
I'd have to look at my correspondence.
Goes back to your questions before and my
69

70
1
sedimentation problem in Lake Kincaid?
2
A.
Yes, they have a problem.
been funded by the Illinois Department of Natural
Resources at Lake Kincaid?
A.
What funding mechanism has been used?
Q.
I'm asking you, are you aware that the
Illinois Department of Natural Resources has provided
funding for conservation measures at Kincaid Lake?
A.
The only knowledge I would have of that 1S if
c-2000 monies were used, either associated with
matching the section 319 program.
Q.
Has that in fact occurred?
A.
I'm not directly involved with that project.
Q.
Have you heard that in 2003 a phase 2 grant,
this would be a phase 2 Illinois clean Lakes program
grant, was given to that water treatment program in
the amount of $300,000 and that it was matched by
section 319 funding in 2006?
A.
If it was the reference of PLWIP, yes.
Q.
Let's turn to Governor Bond Lake.
Are you
aware that the city of Greenville, their water
treatment plant uses lime softening in its treatment
process?
3
4
5
6
7
8
9
10
11
12
13
14
15
16
17
18
19
20
21
22
23
24
Q.
Are you aware that conservation programs have

71
1
A.
I'm not aware of what methods they use.
I'm
2
aware they use methods, but I'm not aware of what
3
methods they use.
4
Q.
Are you aware that Governor Bond Lake 1S
5
considered impaired by EPA?
6
A.
Yes.
7
8
9
10
11
12
13
14
15
16
17
18
19
20
21
22
23
24
Q.
And are you aware that the high priority
impairments include total suspended solids?
A.
Yes.
Q.
Are you aware that at least half of the upper
lake's capacity has been filled since the lake was
constructed?
A.
Yes.
Q.
50 really, the city of Greenville doesn't
have any choice but to engage in soil conservation
measures on Governor Bond Lake, do they?
A.
They have to -- they have to be required or
meet section -- clean water Act requirements.
Q.
Are you aware that the city of Greenville has
received a phase 1 ICLP grant in excess of $50,000?
A.
Yes.
Q.
Are you aware that they've received a Phase 2
ICLP
grant of $300,000?
A.
Yes.

72
1
Q.
And are you aware that that $300,000 grant
2
has been matched by Section 319 funding?
3
A.
Yes.
4
Q.
And all of that money goes into reducing the
5
sedimentation of government -- Governor Bond Lake.
6
Does it not?
7
A.
Correct.
8
Q.
Scott, let me ask you, how do you consider
9
any of these projects -- how do you consider any of
10
the sedimentation reduction efforts at any of these
11
projects to be similar to the sediment reduction
12
efforts that are being conducted at the piasa Creek
13
watershed project?
14
A.
Can you restate the question, please?
15
Q.
How do you consider the soil conservation
16
efforts at these six projects to be similar to the
17
soil conservation efforts at the Piasa creek Watershed
18
project?
19
A.
I can't answer that question.
20
Q.
Are you aware of any government funding
21
provided to my client, the Illinois-American Water
22
company, that has been utilized by my client to
23
implement soil conservation measures in the Piasa
24
Creek watershed?

1
A.
Can you repeat the first part of that
73
2
questi on?
3
Q.
Are you aware of any government funding,
4
federal, state, or local, provided to the
5
Illinois-American water Company that has been utilized
6
for soil conservation measures at the Piasa creek
7
wate rshed?
8
A.
I'm not aware of any federal funds directly
9
given to the Illinois-American Water Company.
through that
already.
Haven't
we?
A.
Right.
Q.
Same
answer,
correct?
A.
Correct.
Q.
And
how
about
the discharge
point
at
the
10
11
12
13
14
15
Q.
How about state funds?
I guess we've been
16
Mississippi River, is that an impaired waterway to
17
your knowledge?
18
19
have
A.
That is something that my unit and I do not
it's something that the Standards Unit needs
20
to make that determination.
21
Q.
50 you really don't know if it's an impaired
22
waterway or not?
23
A.
Are you talking about impairment right at the
24
discharge point or a segment within the Mississippi

1
2
3
4
5
6
7
8
9
10
11
12
13
14
15
16
17
18
19
20
21
22
23
24
74
River itself?
Q.
Let's talk about that segment within the
Mississippi River.
A.
I believe to the best of my knowledge that 1S
impaired.
Q.
On what basis?
A.
I would have to look at the impairments to
tell you that.
Q.
well, do you recall that it's impaired based
upon sediment?
A.
when you're talking about impairments, each
year those impairments may change.
Q.
well, I'm sitting here asking you if it's
ever been impaired during the -- from 2000
in this
decade has that segment of the Mississippi River ever
been impaired because of total suspended solids?
A.
I would have to go back and look at those
reports to see that.
Q.
How about for iron, do you recall, sitting
here right now, if that segment of the Mississippi has
ever been impaired because of iron?
A.
I'd have to go back and look at those
reports.
Q.
NOW, I believe if we refer back to your

75
1
testimony that there were a number of times where you
2
acknowledged that the efforts of these other point
3
sources to conserve -- or, rather, to reduce
4
sedimentation were efforts that had to be taken 1n
5
Do you agree
6
7
8
9
10
11
12
13
14
15
16
17
18
19
20
21
22
23
24
order to preserve their source of water.
with that?
A.
Efforts need to be taken to protect their
source water.
Q.
To your knowledge does the Illinois-American
Water company need to undertake any efforts to protect
its source water?
A.
Source water 1S the Mississippi River.
Q.
Yes, it is. Does Illinois-American water
company need to undertake any sedimentation control
measures in order to protect its source water, the
Mississippi River?
A.
The only knowledge I would have is what's in
the NPDES permit conditions.
Q.
And sitting here today, do you recall if any
of those conditions mandate sedimentation reduction
efforts?
A.
Mandate total suspended solids.
Q.
okay.
Now, Scott, here's my question for
you.
I'm asking you as a means of a business

76
1
necessity, ln order for that water plant ln Alton to
2
protect its water source, does it have to control
3
sedimentation in the Mississippi River
4
MR. SOFAT:
obj ecti on.
5
Q.
in order to obtain clean water? Do you
6
know that?
speculation.
Q.
To your knowledge do water plants that draw
their source water from a reservoir have to protect
their source water by conservation efforts at the lake
and at the banks of the lake?
A.
Correct.
Q.
And water plants that draw from reservoirs
like lakes have a business necessity to protect their
source water.
DO they not?
MR. SOFAT:
Asking for speculation.
A.
I'm sorry?
MR. SOFAT:
objection, Brad.
personal knowledge of that.
Do you?
He has no
like a
Asking for
River.
rese rvoi r
MR. SOFAT:
I'm just objecting.
No.
It's the Mississippi
which is different from a
isn't it?
A.
Q.
1 ake ,
7
8
9
10
11
12
13
14
15
16
17
18
19
20
21
22
23
24

1
That would be the decision of that water
2
3
A.
company.
MR. HILES:
Can you glve me just a moment,
77
4
gentl emen?
5
I have nothing further.
6
MR. SOFAT:
Can we take a break?
A.
Sure.
MR. HILES:
Or you can walve that right.
It's your choice. We do have a very tight time frame,
however, because we have a hearing on the 28th.
A.
sure.
(A recess was taken.)
MR. HILES:
Let's go back on the record.
MR. SOFAT:
I have no questions.
MR. HILES:
Scott, I believe we've concluded
your deposition.
And you have the right to review
this transcript once it's prepared and find any errors
in it. It's not an opportunity to correct substantive
testimony or to supplement your testimony.
But if
there are just any mistakes, it's an opportunity to
correct those. Mistakes in transcription I should
say.
7
8
9
10
11
12
13
14
15
16
17
18
19
20
21
22
23
24
MR. HILES:
MR. HILES:
Sure.
And the Board has requested

1
written testimony ln advance of the hearing, which
2
would be sometime next week.
3
A.
Right.
4
MR. HILES:
And so it kind of compresses
5
everybody's work on this thing.
6
A.
Sure.
78
have a transcript? I'd like to get it by the middle
of next week.
COURT REPORTER:
I can do that.
MR. HILES:
wednesday delivery?
COURT REPORTER:
wednesday.
MR. HILES :
All ri ght.
And then we'd
probably need you to review it within 24 hours.
A.
I'd like to see it.
MR. HILES:
okay.
A.
A copy of it.
MR. HILES:
very good.
(Deposition concluded at 11:23 a.m.)
7
8
9
10
11
12
13
14
15
16
17
18
19
20
21
22
23
24
MR. HILES:
reporter's work.
A.
Sure.
MR. HILES:
starting with the court
Let me ask you, when could you

79
1
STATE OF ILLINOIS
)
)
ss
2
COUNTY OF SANGAMON
)
3
4
5
CERTIFICATE
I, Dorothy J. Hart, affi 1 i ated wi th capi tol
6
Reporting service, Inc., do hereby certify that I
7
reported in shorthand the foregoing proceedings; that
8
the witness was duly sworn by me; and that the
9
foregoing is a true and correct transcript of the
10
shorthand notes so taken as aforesaid.
11
I further certify that I am in no way associated
12
with or related to any of the parties or attorneys
13
involved herein, nor am I financially interested in
14
15
16
17
18
19
20
21
22
23
24
the action.
Dated this 20th day of
August, A.D .• 2007. at
springfield, Illinois
'"
Certified
,ice"
thand
~---
Reporter
Registered
ofessional Reporter
and Nota y
alA!.
SEAL
DOROTHY
J.
~IART
NOTARY PUBLIC, STATE OF ILLINOIS
MY COMMISSION EXPIRES 6.24.2011

80
1
ERRATA SHEET
2
Illinois-American Adjusted Standard proposed Extension
3
I hereby verify that the foregoing is a true and
accurate transcription of my deposition taken on
4
8/16/07,2007, except for those changes noted below:
5
Page
-'<4'"'----_
Line
{,
c han g
e--,-,IS'l-9~$",----
_
6
7
8
9
10
11
12
13
14
15
16
17
18
19
20
21
22
23
Page
'5
Line
in
change--<;~"tS'''''ib.l<{
__+t.bh'''''''''1-
_
ReasonJ:",~~s.·",....bQ
.1Q.ll.I ......
....J.u~"""
....
A:~="'O
..
"l,.~.Q
.{."oM._
Page '(}'D Line 'S
Change
dct*'
0-\
~U.w.s--
ReaSOnL::"<.:!:...;".o...kQ,m. -bJ.,( b""-\'''d,.,(?
__
"h~
......R",.b,,£.Q
{..,
page
on
Line
M
change-,,,u),No
'.o.JJw~.Q
*",,<:s
Reason'J),A.""{
~'S<';0-
~4~:~~;N@~_
Page
~,
L1 n e
t:
c han g e --L;±:t::-'w.;.,>Q,....
~L..<!l
......
~"'-'~--"'--"~~¥=-
_
Reason
T
"::$'''""':..."',.•
.I...
,\(,JL -bJ,.,.,\(..,_"""",
d'",'"b
e
fIJJ"..'&,,,.J?.J2*,,, "'.
page?J8
Line IS
change
\!
'$ ,,0+
\:,Q£
l",.,.,f
Re a son
~
<,.,...." ct ....
0 ....... ,."",.. r
s.:.f2
"k.,Q Ioe.fl'.0-1 '.
b.Q....,Q,
II
<~tr::kC
Scott A.
La
III Ill! i
liS'
(;,J;..l...s
Dated this
day of
, 2007
24
Notary Public

80
1
ERRATA SHEET
2
IllinoiS-American Adjusted standard
pro~osed
Extension
3
I hereby verify that the foregoing is a true and
accurate transcription of my deposition taken on
4
8/16/07, 2007, except for those changes noted below:
5
6
7
8
9
10
11
12
13
14
15
16
17
Page 4
t,
Lin e
I$"
Ch a n
9
e
_J.j(6)L7L::l''l---,,,~,,,,,,,,~'f
_
Reason-rL12
J
~
d.Lv.
Q,,"'O~
Ja.
r~.t-~S<'
Q'.M
P"~"'''t.'o
ho<.~
6 • ....l1l1"'"
L..~rl'V$+.J:""""'.'-'IOIi8106
~.sp~~I.(,.,.+
page
~
L.i ne 1&
chang~"
•.• .s
\=Q.<J
tf" A••
.Q:1,o>,r-."iQ...-oI
D~
Re as 0
n
-r.;,
4 .....7:..... A.",Qbu L,d.
"0,,","
.,d"
4t....
rfcb'Q
Page 6113
Lin e j1
Chan 9 e Corro <+1
L;,.."
A.-wO'(jY.
Rea son .T.., ""J"".... '"[;.,..."
l\
~k
["
S '''0.....
.'=6.J,.Q., orgaJ2
Page
I:b
Line
0\ .
changeAt'o,:L
.oq"'·U<.,~.r.{Q,,
s\,,,.<{Jec
.c....Q;j
:"ill
Reason""[k.. $ .."'.\,.......,.
~_,J2R
iLl
t'j",..../t ....
h".S
..."t
"£I-tleL.&?
re ....
J2,Q.
Page
69'
Lin e
t\
Chan 9
e---J'.NLJ.o2--
_
Rea son
:r:
~.
JQ
bo"",
~'t",,;<Q.[l
A "",...
L..\ ........
,>o ..
'C (..,
~
1"";llh'N plld'&.
page "Bf) Line
~\
Change
,4<0** A
'~klY\.S
Rea son
JM~a">'''''--''''''''''''''''''''--'''L-U'
'..I:""'~!>---""'IM.i::.ss.s.$-I'-P""I.JOcJI".6QL~
_
pag e __ Li ne __ Change
_
18 Re as
0 n
---------
_
19
page __ Line __ Ch ange
_
20
Re as
0
n
~
.
_
21
22
23
Dated this __ day of
e5,<>1.it
~'~ol
Scott A.
ZO~~IEiA3
-r;;...J;.,~
-A..s
______• 2007
24
Notary Public

Piasa
Creek
Watershed
Project
TABLE
OF
CONTENTS
~
Illinois
.
~
American
Water
RW["Ji,,"."
,
I.
PCWP
Implementation
Plan
II.
2001
Reports
ill.
2002
Reports
IV.
2003
Reports
V.
2004
Reports
VI.
Boy
Scout
Lake
Project
VII
.
Project
Files
VITI.
Press
Releases
IX.
Maps
~
DEPOSITION
EXHIBIT
..
I
/
i
aI
g-,
{,
-D]

ILLINOIS POLLUTION CONTROL BOARD
August
6, 2007
IN
THE MATTER OF:
)
)
PROPOSED EXTENSION OF ADJUSTED )
STANDARD APPLICABLE TO ILLINOIS- )
AMERICAN WATER COMPANY'S
)
ALTON PUBLIC WATER SUPPLY
)
FACILITY DISCHARGE TO THE
)
MISSISSIPPI RIVER UNDER
35 ILL. ADM.)
CODE 304.124 AND 304.106
)
)
.AS 07-2
(Adjusted Standard)
HEARING OFFICER ORDER
The parties are strongly encouraged to prefile as much testimony as possible by
August 21, 2007, including written answers to these questions.
This
will enable the Board to
follow-up with any remaining concerns at hearing. Additionally, to address the possibility that
the Board may not decide this matter by October 4, 2007, petitioner may argue for retroactive
relief at hearing or in its post-hearing brief.
Questions for IAWC and IEPA
Pertaining to the Amended Petition
AS 2007-2
To be addressed in Pre-Filed Testimony and/or at Hearing on August
28,2007
(Docket AS 2007-2)
Both parties are invited to address any
of the questions posed, whether specifically addressed
to that party
or not.
lllinois-American Water Company
(IA
We)
1.
Quantifying and Verifying Sediment Reductions
USEPA'sWater Quality Trading Policy states that ''mechanismsfor determining and
ensuring compliance are essential for all trades and trading programs ... States and tribes
should establish clear, enforceable mechanisms consistent with NPDES regulations that
ensure legal accountability for the generation of (pollutant reductions) that are traded."
USEPA (9-13-03) at 10.
USEPA's Water Quality Trading Assessment Handbook states,
"In
pilot projects, the
relatively variable and unpredictable performance of nonpoint source BMPs [Best
Management Practices] has been handled by discounting the estimated reductions
available for trade. The uncertainty discount is intended to ensure that errors in BMP
~
DEPOSITION
i
EXHIBIT
f
~
Jl}P10"it....-71/f
~

2
performance estimates will not jeopardize the water quality equivalence of trades
involving these pollutant control actions." USEPA (11-04), EPA 841-B-04-001, at 40.
The handbook provides an example using an uncertainty discount
of 50%, where the
nonpoint source must produce 2 pounds
of pollutant reductions for every I pound it
wishes to sell. USEPA (11-04), EPA 841-B-04-001, at 40-41.
In
AS 99-6, IAWC explained, "The rate of erosion will be calculated by placing stakes
(or other types
of monuments) along the stream bank and measuring the rate [of]
erosion for one
year prior to installation of erosion controls.» Board
0&0,
9-7-00 at
15. "During the ten year span
of the project, GRLT will submit quarterly reports to
the Agency which detail the progress
of the monitoring and other project-related
activities.» (Board
0&0,
9-7-00 at 15.)
QUESTIONS:
a. How does IAWC account for sediment reductions in its reporting to IEPA?
b. Does IAWC rely entirely
on the GRLT quarterly reports to the Agency to quantify
and verify its sediment reductions for compliance?
c. When
IAWC states it will maintain a soil savings with a 2 to I offset or above
6,600 tons
per year (Am. Pet. at 32), does IAWC consider the 2 to I ratio as the
uncertainty discount?
Or is the 2 to I ratio intended to produce a greater
environmental benefit than compliance with the effluent regulations alone?
d.
If the 2 to I ratio is intended to produce a greater environmental benefit, would
IAWC please propose an uncertainty discount based
on USEPA's Water Quality
Trading Assessment Handbook (November 2004).
e. Since
IAWC is currently seeing a 4.2 to I offset ratio for sediment and 3.8 to I
offset ratio for iron (Am. Pet. at 3), would
IAWC consider proposing a ratio higher
than 2 to I to account for the uncertainty discount and to create an additional
environmental benefit?
f.
Since USEPA's Water Quality Trading Policy stresses the need for clear and
enforceable mechanisms to ensure compliance and accountability for the generation
of pollutant reductions that are traded, can IAWC propose such mechanisms for
inclusion
in the wording of its adjusted standard?
2.
Potential New Agreement between IAWC and GRLT
IAWC discusses the terms of the lO-year Consulting and Performance Agreement
between
IAWC and Great Rivers Land Trust (GRLT). After the expiration of the 10-
year agreement,
IAWC indicates it will continue to provide funding to maintain soil
savings above 6600 tons
per year, but expects the soil savings it has invested in for the
Piasa Creek Watershed Project "to reach a point at which it will be sustainable without

3
future funding from outside sources." Am. Pet. at 32. lAWC references a potential
new contract with GRLT for maintenance only. Am. Pet. at 32.
USEPA's Water Quality Trading Policy states, "Where trading involves nonpoint
sources, states and tribes should adopt methods to account for the greater uncertainty
in
estimates of nonpoint source loads and reductions." USEPA supports a number of
approaches including, "retiring a percentage of nonpoint source reductions for each
transaction or a predetermined number
of credits." USEPA (1-1-3-03 at 9.)
QUESTIONS:
a. For a stream bank that has been stabilized where sediment reductions are not active but
passive, is there a point at which that particular project could be retired in terms
of
accounting for sediment reductions?
b. When a sediment reduction project is mature and self-sustaining and
no longer benefits
from continued maintenance and monitoring, is it time
to initiate an active sediment
reduction project to generate a tradable
co=odity?
c. Should IAWC's adjusted standard contain provisions to maintain the necessary offset by
continuing to fund sediment reduction projects beyond those that have already reached
maturity? Does IAWC believe this approach would be consistent with funding long
term maintenance
of a traditional effluent control facility, albeit more fmancially and
environmentally beneficial?
d. Did IAWC
consult with GRLT or the Illinois State Water Survey (which works with
the Agency on sediment control projects such as the Lake Pittsfield watershed
project-
Board 0&0,9-7-00 at 16) to provide insight into this?
3.
Funding for the Sediment Reductions and Maintenance
The previous
AS 99-6 bound lllinois-American to a dollar amount of $4,150,000
payable over ten years. The
AS
07-2
petition specifies only a performance goal of a
2
to 1 offset, or a minimum of 6600 tons of soil per year. The cost of complying with
the
AS
07-2
is not specified or estimated.
QUESTIONS:
a. Were there other aspects of the Piasa Creek Watershed Project that benefited from
IA
WC's funding besides the direct soil savings, such as educational outreach or
habitat restoration?
b.
In
terms of other aspects besides soil savings, how would the Project as a whole be
impacted by committing solely to a performance goal of 2: 1 or 6600 tpy rather than
a dollar amount?

4
c. Does Illinois-American have an estimate for yearly costs and time associated with a
maintenance contract?
d. How would those costs change over the years
as the project reaches the point of
sustainability without future funding from "outside sources"?
e.
In
referring to a future without funding by "outside sources", is IAWC aware of
funding that might come from other than outside sources?
4.
Rulemaking
Upd~te
"In
the 1980s, the Alton Water Company (the predecessor to IAWC in Alton) applied
to the Board for relief from the effluent standards at
35 lil. Adm. Code 304.104. "
Board
0&0,
September 7, 2000 at 4.
QUESTION:
The Board engages in ongoing review of 35 ill. Adm. Code Part 304 and all of its rules to
determine whether they are still necessary or accurate. For the sake of any needed
cleaning up of 35 IAC Part 304 in a future rulemaking, please comment on whether
Section 304.206 Alton Water Company Treatment Plant Discharges is still needed?
Section 304.206 Alton Water Company Treatment Plant Discharges
This Section applies to the existing 18.3 million gallons per day potable
drinking water treatment plant owned by the Alton Water Company
which is located at, and discharges into, river mile 204.4 on the
Mississippi River. Such discharges shall not be subject to the effluent
standards for total suspended solids and total iron
of 35 Ill. Adm. Code
304.124.
(Source: Added at 8 Ill. Reg. 3687, effective March 14, 1984)
illinois Environmental Protection Agency (lEPA)
1.
The Agency Recommendation states,
"In
making its decision, the Board should also consider the USEPA's
efforts to develop categorical effluent limits for water supply treatment
plant effluents in federal regulations ...Adoption
of federal categorical
effluent limits would supersede any limits previously adopted by states
unless the state limits were more stringent. Federal action would

5
therefore negate any continued relief granted by the Board regarding
Illinois American's petition for extended relief." Ag. Rec. at
11.1
Under 40 CFR Subchapter N: Effluent Guidelines and Standards, Parts 402-699
"prescribe effluent limitations guidelines for existing sources, standards
of performance
for new sources and pretreatment standards for new and existing sources... " 40 CFR
401.10.
40 CFR 403.1
(b)
This regulation applies:
(4)
To
any new or existing source subject to Pretreatment
Standards. National Pretreatment Standards do not apply
to sources which discharge to a sewer which
is not
connected
to a POTW Treatment Plant.
QUESTIONS:
a. Since lAWC is not discharging to a POTW, the 40 CFR Subchapter N:
Effluent Guidelines and Standards appear not to apply. Does the Agency agree?
Is the Agency Reco=endation referring to other federal categorical effluent
limits?
b. The Agency
Reco=endation also states, "Up-to-date information on
[USEPA's efforts
to develop categorical effluent limits for water supply
treatment plant effluents] was obtained from Mr. Tom Bone
of USEPA's Office
of Science and Technology... " Ag. Rec. at 11.
In
the Agency's contact with
Mr. Bone, did he indicate that USEPA would be developing categorical effluent
limits for sources which do not discharge to a POTW?
c. Did Mr. Bone indicate for which pollutants USEPA would
be
setting effluent
limitations guidelines for water supply treatment plants? Did they include
TSS
and iron?
2.
illinois Water Quality Trading Policy
QUESTIONS:
a. Is IEPA considering water quality trading as an option for point source
discharges in waterways with TMDLs, such as the East Branch
of the DuPage
River and Salt Creek?
If
so, please describe.
b. Is the Agency aware of any other dischargers in Illinois that use or plan to use
water quality trading?
If so, please describe?
1
The Agency Reco=endation dated 6-18-07 will be cited as Ag. Rec.

6
.---~-
'
( c.! Did IEPA consult with the Illinois State Water Survey (which works with the
V
Agency on sediment control projects such as the Lake Pittsfield watershed
project-Board 0&0,9-7-00 at 16) to provide insight into the prospect of
trading and retiring credits for nonpoint source projects that have matured?
3.
USEPA Water Quality Trading Policy
The Agency Recommendation states,
"In the intervening years since relief was granted, concepts of pollutant
trading and the importance
of providing reasonable treatment have been
refined at the federal level. The Agency thus believes that the requested
relief is no [longer] consistent with applicable federal law." Ag. Rec. at
15.
The Agency's Recommendation quotes information from the
USEPA's "Frequently
Asked Questions about Water Quality Trading."
"When can trading occur? .. the Trading Policy does not allow trading to
meet a technology-based effluent limit (TBEL)." Ag. Rec. at 10.
http://www
.epa. gov
lowow
Iwatershed/trading/tradingfaq.html
Although IEPA states trading has been refmed at the federal level, this particular issue
of the USEPA's policy appears to be consistent with USEPA'sprevious 1996 "Effluent
Trading
in Watersheds Policy Statement".
"To take advantage
of trading, a point source must be in compliance,
and remain
in compliance, with applicable technology-based limits." 61
Fed. Reg. 4995, February 9, 1996.
The issue is similarly reiterated in the "Water Quality Trading Assessment Handbook:
Can Water Quality Trading Advance Your Watershed's Goals?", November 2004 EPA
841-B-04-001:
"Under the Clean Water Act, point sources are required to comply with
their technology-based limits without trading unless trading is explicitly
incorporated in the effluent guidelines." USEPA (11-04) at App. D-I04.
In
this regard, the Handbook refers specifically to requirements under the Clean
Water Act.
The Clean Water Act itselfonly refers to the federal technology-
based limits. Currently, there appear to
be no federal effluent guidelines or TBEL
for iron or TSS from water supply treatment plant effluents not discharged to a
POTW.

7
QUESTION:
Are there federal effluent guidelines or TBEL for TSS and iron discharges not
to a
POTW that would apply to IAWC?
4.
USEPA Oversight
AS 99-6 was incorporated into the NPDES Permit, which is subject to federal purview.
USEP
A'sWater Quality Trading Policy (9-13-03) states,
"[US]EPA has various oversight responsibilities under the CWA,
including...review of NPDES permits and provisious for reviewing and
making recommendations regarding revisions to a state's
ortribe's water
quality management plans through the continuing planning process.
...However, where questions or concerns arise, EPA will use its
oversight authorities to ensure that trades and trading programs
are fully
consistent with the
CWA and its implementing regulations. " USEPA (9-
13-03) at 11.
So far
the record reveals no indication from USEPA that the approach under AS 99-6
that was included in
IAWC's NPDES Permit -lLOOOO299 is inconsistent with the CWA
or its implementing regulations.
In
USEPA's Office of Water, Water Quality Trading Policy, January 13,2003 on p.
11, it states, "States and tribes
are encouraged to consult with [US]EPA throughout
development
of trading programs to facilitate alignment with the CWA. "
QUESTIONS:
a. Other than discussions with.Mr. Bone about possible federal effluent limitation
guidelines, did the Agency consult with
USEPA specifically about IAWe's adjusted
standard petition for cooperation with the Piasa
Creek Watershed Project? If so,
would you please describe.
'\Is !EPA aware of any feedback from USEPA regarding IAWe's NPDES Permit
'J
and the provisions for AS 99-6? If so, please describe.
@
Report on performance of Piasa Creek Watershed Project:
In
AS 99-6, the Board's Opinion and Order read,

8
"During the ten year span of the project, GRLT will submit quarterly
reports to the Agency which detail the progress
of the monitoring and
other project-related activities... GRLT staff will also meet periodically
with Agency staff
to discuss the progress of the GRLT Project." (Board
0&0,9-7-00 at 15.)
"Five years into the GRLT Project (the halfway point), the Agency will
make a determination
of effectiveness ...
In
addition to the
fIfth
year
review, the Agency will continue
to be involved in the site selection
process for the various aspects
of the project, help review and implement
management practices, analyzed quarterly reports submitted by GRLT,
and meet periodically with GRLT staff." Board
0&0,9-7-00 at 16.
The Agency's Recommendation did not mention making a determination
of
effectiveness of the GRLT Project or a synopsis of its involvement as described above.
QUESTIONS:
a. Please provide a copy of an Agency's determination of effectiveness and
a summary
of the Agency's involvement in the GRLT for the record
here.
b. How has the Agency assessed compliance with
AS 99-6 thus far in terms
of tracking the generation of sediment savings in Piasa Creek and
comparing it
to the load from the Alton Plant?
The parties are reminded
to participate in a telephone status conference with the hearing
officer at 10:30 a.m. on August
13, 2007. The status conference shall be initiated by the
petitioner.
IT
IS SO ORDERED.
Carol Webb
Hearing Officer
lllinois Pollution Control Board
1021 North Grand Avenue East
P.O. Box 19274
SpringfIeld, lllinois 62794-9274
217/524-8509
webbc@ipcb.state.i1.us

Date:
To.:
From:
ILLINOIS ENVIRONMENTAL PROTECTION AGENCY
1021 NoRTH GRANO AVWJ'
EAsT, P.O. Box
19276, S'RINGl'J£lO,ILUNOlS 62794-9276 -( 217) 782-3397
lAMES
R,
THOMPSON CENTER, 100 Wm RANootfH, SU,,, 11-300, CHICAGO, IL 60601 - (312) 814:6026
Roo R, BtAGOJEVlCH, GOVERNOR
DOUGlAS P, $cOTT, D'RECTOR
Memorandum
November 21, 2005
Blaine KiJlsley
Beott
Tomkins
Subject:
Piasa Creek Watershed Project
Overview
The following information
is
provided as an overview of the Piasa C_k Watersbed Project for
the
renewal of NPDES Penni! JLOO00299 (Illinois American Water Company - Alton Public Water
Treatment Facility and
the Illinois Pollution Control Board (!PCB) Adjusted Standard Provision AS 99-6
issued on September 7, and Oct<>ber 19,2000).
The
Piasa Creek Watershed
The Piasa Creek Watershed drains over
78,000 acres in Madison, Jersey, and Macoupin counties and isa
tributary of 1IIe Mississippi.
The
lower reaches of the slr!:am were channelized years ago and are
comprised
of s..,ond growth bottomland deciduous forests.
The upper
reaches vacate water ftom the
residenti8l landscapes of
Godlley
and the agricu!tutlll lands of Jersey ""d Macoupin counties. The
watershed's point
ofdischarge
in!<>
the Mississippi is at the G.reat River Road, about fIVe miles north of
Alton.
Project Background
Illinois
Ameril;llll Wa,ter
Company
(JAW) constructed a 16.0 million gallon per day watertnlalment
facility
.in.A!t<>il.lUinois to replace a 100-year old facility
1bat was
suscePtible t<> flooding. IllinOis EPA
determined
ll!l!t
iile existing site.specific exemptian and Permit did
nat
ilpply to the new fecil,ity, ""d that
standard disebalge limits
wauld apply unless new regulatOlY reliefwas granted.
fA
W pursued an Adjusted Standard application ,with the !PCB for relief t<> the standard discharge
I~
and to allow
direct
discharge t<> the MississiPl'i River eliminating
the
need for residual lagoons,
mechanical
de~g
equipment and hauling
th<;
.deWljtered solids to a landfill. Loollll"eSi4ents.
government officials and environmental groups were opposed to the siting oflagoons and the hauling of
dewatered solids along 1IIis roadway, which is a designated National Scenic Byway.
Piasa Creek Watershed Project
JAW developed a unique pal1nership with Orest Rivers
Land
Trust (ORLT) t<> implement a watershed
project, which
will provide a sustainable reduction in ovemll sediment loading of
the
Mississippi River.
lAW will contribute $4.15 million dallars over a ten-year period
to fund the PCWP. The
goal
of the
project
is to meet a 2:1 reduction in sediment load to the Mississippi River. As such, lAW amended its
Adjusted Standard application to include this unique suspended solid trading proposal
that was
subsequently supported by the Dlinoi. EPA and the IPCB iSsued the adjusted standard (AS 99-6).
ROCUORO -
"302
Norlh
Main
Street. Roddotd, It 61103 - (8IS) 987.7760 •
Dts Pl.Al:-.B - 9511 W. Harrison St., Des Plaines-.IL 6OOJ6 _ (847)
294.4000
ELGIN-595
Sowh
Statte, Elgin.ll60123 - (841)
608~3131
Peo!llA-S41S N.lJnIverslty St.. 'Peorla, fl 61614-t3091693.S463
BUREAUOJ' l.ANo -
P£~1A-7620
N. UniversitY St. Peoria,a 61614 -(309} 693-5462 •
CHAo"PAICH- 2125 Soulh First Street. Champalsn, tl61$20-(.nn 278.5800
SAAINCflaD - 4500 S. Sixth
S~t
Rd.. SpringlWld.
Jl6270&
-(217) 786-6892
Cot.lJ,.~\'IU!
- 2009 Mall Stteet. Comrtsvilre.
fl
62234 _ (618) 346.$120
MAAfON- 2309 W. Main St.. Suite 116. Marioo,/l62959 -/618) 993-7200
PIlJNT'EO
ON
RlCrCHO P"Pf.'l
J

Project Goal
The Piasa Creek Watershed Project goal
is to reduce sedimentation
in
the watershed by approximately
6,700 tons
per year by the end ofthe ten-year program in 2010.
Project Benefits
The Piasa Creek Watershed Project benefits
are
weil beyond the sediment reduction goal. The immediate
benefit is that IAW received an NPDES permit from the Illinois EPA that will provide IAW millions
of
dollars in savings in projected construction and operating expenditures. The lower construction and
operating costs could result in lower water bills to area residents. The long-term benefits include reduced .
erosion,
improved water quality, stormwater control, enhanced fish and wtldlife habitat, protection of
sensitive ecosystems, and financial incentives to farmers and landowners to implement conservation
practices.
Project Sediment Rednction Plan
Effective
measures to redoce sediment are those that reduce eroded sediment at,the soure:
'''';-~ti:
;Se
sediment is transported offsite and into creeks, rivers and lakes. Examples of
this
approach could include
vegetative cover; storm water management controls; best management practices for
urben, agricultural
'lands,
and construction sims; and land-use cbanges that will result in a net reduction oferosion potential.
Accomplished to
Date
The implementation of various sediment reduction tools and practices
such
as water and sco"nent control
basins, slormwater detention basIns,
grass
waterwa~,
filter
strips,
stream restoration practices, riparian
corridor protection and restoration,
land acquisition and protection
and
wetlands testorstion have been
completed: As ofJanuary 2005, The Piasa Creek Watershed Project bas addressed the erosion reductions
outlined in the following'table.
II'abJe I:
PIasa
Creek Watershed Project acres benefited, erosion reductions and streambank
~bilizaUoa
......Benefited
1,117
JillV Erosion
{to..
soD saved\
2099
tie8iiibank ErosloD
ltons
soll saved\
694
Llaeai-Feet Stabilized
22.147
~ource:
GRLT Status Report:
~ttp:l/www.greatriverslandtrust.c-omlpcwp_statusJeportjan!!&'Y_2002.htm.,
Conclusion
With the
information provided in the PCWP overview, the GRLT has provided fue required elements to
comply with the coudition. set forth
in
the mentioned Permit.
Ifyou would nced further information about the Nonpoint
Source
Unit'.role in the PCWP development
and implemenletio
.. fccllh:e to contact me.
...:..__ _
' "
---_._--. -- .- ..
~"-_.
-_..._- -_..'.--' ._- ----
.~.
..»' ..----"
Electronic Filing, Received, Clerk's Office, August 30, 2007

ILLINOIS
ENVIRONMENTAL
PROTECTION
ACENCY
'"
DEPOSITION
,
EXHIBIT
j~'bLJ
)
02
)
NORTH
GRAND
AVENUE
EAST,
P.O.
BoX
19276,
SPRINGFIELD,
ILLINOIS
62794-9276
-(
217)
7
8:2~-~3~3~9~7-""","~"'J
JAMES
R
T~OMPSON
CENTER,
100
WEST
RANDOLPH,
SUITE
11-300,
CHICAGO,ll60601
-
(312)
814-6026
ROD
R.
BLAGOJEVICH,
GOVERNOR
DOUGLAS
P
Scan,
D,RECTOR
Date:
To:
From:
Subject:
Memorandum
November
21,
2005
Blaine
Kinsley
Scott
Tomkins
Piasa
Creek
Watershed
Project
Overview.
ILLINOIS
EPA
5-YEAR
REVIEW
MEMO
The
following
infonnation
is
provided
as
an
overview
of
the
Piasa
Creek
Watershed
Project
for
the
renewal
of
NPDES
Pennit
IL0000299
(Illinois
American
Water
Company
-
Alton
Public
Water
Treatment
Facility
and
the
Illinois
Pollution
Control
Board
(IPCB)
Adjusted
Standard
Provision
AS
99-6
issued
on
September
7,
and
October
19,2000).
The
Piasa
Creek
Watershed
The
Piasa
Creek
Watershed
drains
over
78,000
acres
in
Madison,
Jersey,
and
Macoupin
counties
and
is
a
tributary
of
the
Mississippi.
The
lower
reaches
of
the
stream
were
channelized
years
ago
and
are
comprised
of
second
growth
bottomland
deciduous
forests.
The
upper
reaches
vacate
water
from
the
residential
landscapes
of
Godfrey
and
the
agricultural
lands
of
Jersey
and
Macoupin
counties.
The
watershed's
point
of
discharge
into
the.
Mississippi
is
at
the
Great
River
Road,
about
five
miles
north
of
Alton.
Project
Background
Illinois
American
Water
Company
(IA
W)
constructed
a
16.0
million
gallon
per
day
water
treatment
facility
in
Alton,
Illinois
to
replace
a
lOO-year
old
facility
that
was
susceptible
to
flooding.
Illinois
EPA
determined
that
the
existing
site-specific
exemption
and
Permit
did
not
apply
to
the
new
facility
and
that
standard
discharge
limits
would
apply
unless
new
regulatory
reJiefwas
granted.
IA
W
pursued
an
Adjusted
Standard
application
with
the
IPCB
for
relief
to'
the
standard
discharge
limits
and
to
allow
direct
discharge
to
the
Mississippi
River
eliminating
the.
need
for
residual
lagMns,
mechanical
dewatering
equipment
and'
hauling
the
dewatered
solids
to
a
landfill.
Local
residents,
govermnent
officials
and
environmental
groups
were
opposed
to
the
siting
of
lagoons
and
the
hauling
of
dewatered
solids
along
this
roadway,
which
is
a
designated
National
Scenic
Byway.
Piasa
Creek
Watershed
Project
IA
W
developed
a
unique
partnership
with
Great
Rivers
Land
Trust
(GRLT)
to
implement
a
watershed
project,
which
will
provide
a
sustainable
reduction
in
overall
sediment
loading
of
the
Mississippi
River.
IA
W
will
contribute
$4.15
mi11ion
dollars
over
a
ten-year
period
to
fund
the
PCWP.
The
goal
of
the
project
is
to
meet
a
2:
I
reduction
in
sediment
load
to
the
Mississippi
River.
As
such,
IA
W
amended
its
Adjusted
Standard
application
to
include
this
unique
suspended
solid
trading
proposal
that
was
subsequently
supported
by
the
Illinois
EPA
and
the
IPCB
issued
the
adjusted
standard
(AS
99-6).
ROCKFORD
-
4302
North
Main
Street,
Rockford,
IL6l103
-
(815)
987-7760
DES
PL>"fNf5-
9511
W.
Harrison
St.,
Des
Plaines,
II:.
60016
-
(847)
294-4000
ELGIN
-
595
South
State,
Elgin,
IL
60123
-
(847)
608-313
1
PEORIA
-
5415
N.
University
St,
Peoria,
fl
61614
-
(309)
693-5463
BURc-'..U
OF
LAND
-
PEORIA
-
7620
N.
University
St.,
Peoria,
IL
61614
-1309}
693-5462
CHAMPAIGN
-
2125
South
First
Street,
Champaign,
IL
6782.0
-
(l17)
278~5800
SPRINGFIELD
-
4500
S.
Sixth
Street
Rd:,
Springfield,
11
62706
-
i21?)
786-6892
COlliNSVilLE
-
2009
Mall
Street,
Collinsville,
Il
62234
-
(6-18)
346-5120
MARION
-
2309
w.
Main
St.,
Suite
116,
Marion,
!l
62959
-
(618)
993-7200
Electronic Filing, Received, Clerk's Office, August 30, 2007

Project Goal
The Piasa Creek Watershed Project goal is to reduce sedimentation in the watershed by approximately
6,700 tons per year
by the end of the ten-year program in 20 I O.
Project Benefits
. The Piasa Creek Watershed Project benefits are well beyond the sediment reduction goal. The immediate
benefit is
that IAW received an NPDES permit from the Illinois EPA that will provide lAW millions of
dollars in savings in projected construction and operating expenditures. The lower construction and
operating costs could result in lower water bills to'arearesidents.
The long-term benefits include reduced'
erosion, improved water quality, stormwater control, enhanced fish and wildlife habitat, protection
of
sensitiye ecosystems, and financial incentives to farmers and landowners to implement conservation
practices.
Project Sediment Rednction Plan
Effective measures to reduce sediment are those that reduce eroded sediment at the source before the
sediment is transported
off site and into creeks, rivers and lakes. Examples of this approach could include
vegetative cover; storm water management controls; best management practices for urban, agricultural
lands, and construction sites; and land-use changes that will result in a net reduction
of erosion potential.
Accomplished to
Date
The .implementation of various sediment reduction tools and practices such as water and sediment control
basins, stormwater detelition basins, grass waterways, filter strips, stream restoration practices, riparian
corridor protection and restoration, land acquisition and protection and wetlands restoration have been
completed.
As of January 2005, The Piasa Creek Watershed Project has addressed the erosion reductions
outlined in
the following table.
.
Table
1: Piasa Creek Watershed Project acres benefited, erosion reductions and streambank
tabiJization.
Acres Benefited
1,117
Gully Erosion (tons soil saved)
2,009
8treambank Erosion
(tons
soil saved)
.
.
694
Linear Feet Stabilized
22,147
Sourc.e:
GRL
T Status Report:
http://wvvw.greatriverslandtrust.c.iJJn!pnvp_status_
report
~
anuary_ 2002.htm.
Conclusion
With the information provided in the PCWP overview, the GRLT has provided the required elements to
comply with
the conditions set forth in the mentionedPermit.
Ifyou would need further information about the Nonpoint Source Unit's role in the PCWP development
and implementation, feel free to contact me.
----.-_-----.:'----'----------
-~-
--------
...
_-------------_._--~-"-'---

1
2
3
BEFORE THE ILLINOIS POLLUTION CONTROL BOARD
1
4
IN THE MATTER OF:
5
6
7
8
9
10
11
PROPOSED EXTENSION OF ADJUSTED
STANDARD APPLICABLE TO
ILLINOIS-AMERICAN WATER COMPANY'S
ALTON PUBLIC WATER SUPPLY FACILITY
DISCHARGE TO THE MISSISSIPPI RIVER
UNDER 35 ILL. ADM. CODE 304.124
AND 304.106
AS 07-2
(Adjusted standard)
12
Deposition of ROBERT
G.
MOSHER, taken at the
13
instance of the petitioner, before Dorothy J. Hart,
14
CSR, RPR, and Notary public, on the 16th day of
15
August, 2007, at the hour of 11:40
a.m.,
at 1021 North
16
Grand Avenue East, spri ngfi el d,
III
i noi s.
17
18
19
20
21
22
23
24
CAPITOL REPORTING SERVICE, INC.
2021
Timberbrook Drive
springfield, Illinois
62702
217-787-6167

1
APPEARANCES:
2
BLACKWELL SANDERS,
BY:
MR. BRADLEY S. HILES
3
Attorney at Law
720 Olive street
4
suite 2400
St. Loui s, Mi ssouri 63101
5
on behalf of the petitioner;
2
6
7
8
9
10
11
12
13
14
15
16
17
18
MR. SANJAY SOFAT
Assistant counsel
Division of Legal counsel
Illinois Environmental protection Agency
1021 North Grand Avenue East
springfield, Illinois 62794
on behalf of the IEPA.
INDEX
WITNESS
Robe rt G. Moshe r
Direct Examination by Mr. Hiles
cross-Examination by Mr. sofat
Redirect Examination by Mr. Hiles
Recross-Examination by Mr. sofat
Redirect Examination by Mr. Hiles
3
61
65
66
68
19
20
21
22
23
24
EXHIBITS
Deposition Exhibit No.2
Deposition Exhibit No.5
IJLE_NTI FlED
23
15

3
1
ROB
EKLG,_
Mo~
..HER
2
having been duly sworn, was examined and testified as
3
follows:
4
5
6
Q.
DIRECT EXAMINATION
BY MR. HILES:
please state your full name for the record.
7
A.
It's Robert George Mosher.
8
Q.
Where do you live, Mr. Mosher?
9
A.
Near Pleasant plains, Illinois.
10
Q.
And with whom are you employed?
11
A.
The Illinois Environmental Protection Agency.
12
Q.
What's your position there?
13
A.
I'm the supervisor of the water Quality
14
standards unit with the Division of Water pollution
15
Control.
16
Q.
who do you report to in that job?
17
A.
Toby Frevert.
18
Q.
I'd like you to describe your job
19
responsibilities as the supervisor of the Water
20
Quality standards Unit.
21
A.
okay.
The job involves researching and
22
proposing for adoption through the Illinois pollution
23
control Board of new and updated water quality
24
standards.
It also involves the implementation of

4
1
those standards through the NPDES permit system and
2
the 401 water quality standards certification process.
3
Q.
Very good.
when did you start with the
4
Agency?
5
A.
November 1985.
6
Q.
could you take us through the various jobs
7
you've held and give us a ballpark of the years where
8
you changed jobs?
9
A.
Initially, I was involved in the Data
10
Management Unit in the Division of water pollution
11
control, and I stayed there about six months or so.
I
12
then began working in the standards unit, where I
13
still am.
14
Q.
SO you've been with the Standards Unit for --
15
A.
21 plus years.
16
Q.
21 years, all right.
Great.
17
would you please take us through your education
18
following high school, colleges attended, degrees
19
obtained, and years those degrees were obtained?
20
A.
okay.
I got a bachelor of science in
21
environmental biology and in zoology from Eastern
22
Illinois university in 1977. In 1979 I got a master's
23
degree in zoology from Eastern Illinois university.
24
And then in 1983 I got a teaching certificate from

5
1
southern Illinois University at Edwardsville.
2
Q.
Did you teach for a while before you joined
3
the Agency?
4
A.
I did at the Junlor college level for about
5
four years at what was then known as Belleville Area
6
college.
7
Q.
Sure.
8
A.
But I never did use that certificate. I
9
decided -- I got my job at the Agency before I had a
10
chance to teach at the high school or other level.
11
Q.
All right.
What is your role on behalf of
12
the Agency with respect to the Piasa creek Watershed
13
project?
14
A.
well, back when that began, my role was to
15
take an overview of the water quality standards issues
16
in the Illinois-American petition back whenever that
17
was, 2000.
18
Q.
probably 1999.
19
A.
'99, yeah.
20
Q.
okay.
21
A.
That went on for a while.
The Agency was not
22
ln favor of that petition and we -- I was part of a
23
team looking at that, and I contributed information on
24
water quality standards or potential impacts to water

6
1
quality standards if that relief was granted. There
2
came a time in that proceeding when the piasa creek
3
project was proposed.
And at that point my
4
participation was reduced drastically to practically
5
nothing because I -- that was given over to our
6
nonpoint pollution people, and my services were no
7
longer needed.
8
Then when the petition was proposed, the one
9
we're dealing with now, the renewal or the extension
10
or whatever you want to call it, I again became
11
involved in agaln looking at standards issues in that
12
new petition.
13
Q.
very good.
So your renewed involvement then
14
occurred in 2006, I take it?
Q.
From the time your role diminished or ended,
which was probably ln 2000, through the time you
picked it up again in 2006, did you -- were you
involved in any way in Piasa creek watershed project
or the Alton plant of Illinois-American water company?
A.
No.
Q.
Help me understand the different departments
or divisions or divisions of responsibilities, if you
will, between your group, the water Quality standards
15
16
17
18
19
20
21
22
23
24
A.
Yes.

7
1
Unit, and the nonpoint pollution group.
2
A.
well, I interacted with members of that
3
group.
I believe they're now called the watershed
4
something section.
Names change over the years.
But
5
people that deal with nonpoint pollution problems are
6
in a separate section from me.
We interact
7
occasionally when water quality standards issues arise
8
with agricultural or urban runoff or any of the
9
nonpoint source of pollution that they deal with.
10
It's pretty occasional when we interact.
11
Q.
Are there different department heads or
12
division heads over one and the other?
13
A.
well, they have a section manager, who his
14
name 1S Bruce Yurdin.
I believe that's recently
15
changed with a different job that Bruce has been glven
16
recently.
But yeah, they're under -- they're not
17
under Toby Frevert as I am.
They're directly under
18
Marcia willhite, a bureau chief.
19
Q.
okay.
I understand now.
Bob, there -- and
20
you may be aware of this.
There was some effort to
21
estimate the amount of total suspended solids that
22
would be in the effluent of IllinoiS-American water
23
company's Alton plant at about the time the original
24
adjusted standard was granted or immediately following

8
1
that time. And I think the figure that was arrived at
2
was 3,300 tons per year.
Are you aware of that?
3
A.
well, I'm aware that we were interested ln
4
what that amount was.
The numbe r, of cou rse, 1 s
5
somethi ng I'd go back and look in the records, but
6
I'll take your word for that.
7
Q.
My real question here is, were you a part of
8
a team that helped set that number of 3.300 tons or
9
whatever number that was?
10
A.
BOY, that would have been something that was
11
just taken from the faci 1 i ty' s records, I woul d guess.
12
I -- I don't really remember if I was involved with
13
that back then or not.
14
Q .
All ri ght.
Have you read the Agency's
15
recommendation in our present case, Adjusted Standard
16
07-2
7
17
A.
Yes, I read it.
18
Q.
Di d you p rovi de any input into the
19
preparation of that recommendation?
20
A.
Yes, I did.
21
Q.
And specifically what was your input?
22
A.
well, I looked into the USEPA Water Quality
23
Trading policy.
We had some input into that or some
24
discussion about that in that document.
I looked into

9
the U5EPA efforts to establish a categorical effluent
limit for the drinking water supply treatment
industry.
I think those were the two items that I had
direct involvement In.
Q.
What do you understand to be your Agency's
prlmary reason for opposing the extension of the
adjusted standard?
A.
I think the prlmary reason would be that
state effluent standards being technology-based limits
should be met in all cases unless there's a really
overridingly important reason that they can't be met.
50 we just believe that those limits are across the
board.
They should be met by everybody.
And when
someone asks for relief from those, there should be a
really good reason why they can't meet those limits.
Q.
Do you agree with that reason for opposing
the adjusted standard?
A.
Yeah, I -- I think I do.
of course, I'm well
aware that it's my direct supervisor's wish that that
be the case.
And regardless of my personal feelings,
I would be obligated to follow his direction.
Q.
Are you saying that your personal feelings
are to the contrary?
1
2
3
4
5
6
7
8
9
10
11
12
13
14
15
16
17
18
19
20
21
22
23
24
A.
NO.
I'm not saying that.
But it's -- I

1
2
3
4
5
6
7
8
9
10
11
12
13
14
15
16
17
18
19
20
21
22
23
24
10
guess that's an odd question because you do what your
boss tells you to do unless it's, you know, morally --
or, illegal or morally wrong.
Q.
When did you first learn that the Agency
would be oppos1ng the extension on the theory as you
described it that state effluent standards are
technology-based limits that should be met in all
cases?
A.
I don't remember the date, but I do know that
it was when Toby Frevert told me that would be the
position of the Agency.
Q.
Let me help with a time frame.
was it after
Illinois-American Water Company filed its initial
petition for an extension of the adjusted standard?
A.
I believe it was.
Q.
And was it Mr. Frevert's decision
exclusively?
A.
I'm not pr1vy to that.
All I know 1S that he
I sat down with him in his office and he told me
that that's what he wanted the position to be.
Q.
Prior to that sit-down meeting with
Mr. Frevert, do you recall having some discussions
with Illinois-American Water company representatives,
myself included, over the drafting and the ultimate

1
2
3
4
5
6
7
8
9
10
11
12
13
14
15
16
17
18
19
20
21
22
23
24
11
preparation and filing of the petition to extend the
adjusted standard?
A.
Yes.
Q.
About how many phone calls did we have?
A.
There were several. Three or four at least.
Q.
During those phone calls did you or anyone
else with the Agency express to Illinois-American
Water company representatives this theory that state
effluent standards are technology-based limits that
should be met in all cases?
A.
I don't believe so, no.
Q.
prior to Illinois-American Water company's
filing of the petition for an extension of the
adjusted standard, to your knowledge did anyone from
your Agency tell Illinois-American water company
representatives that state effluent standards are
technology-based limits that should be met in all
cases?
A.
I don't recall anything like that way back
until that stage of the initial petition when we were
taking that position.
Q.
And that position was taken after the initial
petition was filed, is that correct?
A.
Right.
From the filing of the initial

1
2
3
4
5
6
7
8
9
12
petition up until the agreement was reached to do the
piasa Creek project, our position was you should meet
the technology standard.
Q.
okay.
And your position changed after the
adjusted standard was granted, is that correct?
A.
Yes.
Q.
And then it changed agaln after
Illinois-American water company filed its petition ln
the present case, is that correct? It changed back, I
10
assume.
11
A.
well, let
let's clarify what position
12
means, what that term means here.
We -- I was
13
participating with a group of Agency employees having
14
these discussions with you and others from
15
Illinois-American on the phone.
16
Q.
And that was 1 n 2006?
17
A.
Right.
working out facts of the case.
we
18
never got to the point where we gave you our position.
19
I think we would have liked to if we'd have seen a
20
draft before it was filed with the Board, but we
we
21
never really reached that.
We -- we had talked and
22
it's true we didn't talk about the Agency's position
23
was definitely meeting technology.
we didn't say that
24
we had some other position. We were just fact-finding

13
1
and discussing, negotiating at that point.
2
Q.
well, isn't it true, Bob, that through the
3
discussions we had over Illinois-American water
4
company's initial petition, neither you nor anyone
5
else from the Agency expressed to my client or to me
6
that the Agency would be taking a position that
7
technology-based effluent limits had to be met and,
8
therefore, the Agency would oppose Illinois-American's
9
position? Isn't that true?
10
A.
That's true.
11
Q.
why didn't the Agency tell Illinois-American
12
Water company through those discussions that its
13
position would be technology-based effluent limits had
14
to be met?
15
A.
Because we never got to the point where that
16
group of employees got what we thought was going to be
17
the final draft petition in order to bring that to our
18
management and ask here's where -- you know,
19
essentially ask our management here's where we are ln
20
these discussions, what's the direction that you're
21
gOlng to give us, and then we could get back to you
22
with whatever that answer was.
23
Q.
well, you did get back to us with some
24
direction before the initial petition was filed.

14
1
Didn't you?
2
A.
We
yeah, we had questi ons, we had requests
3
all along the way.
4
Q.
well, one of your requests was that
5
Illinois-American would sustain soil savings of at
6
least 6,600 tons per year. Is that correct?
7
A.
We
yeah, we talked about sort of the
8
maintenance of conditions in the Piasa watershed, yes.
9
Q.
In fact, you, on behalf of the Agency, told
10
Illinois-American Water company that in order to
11
support the petition the Agency would need to see the
12
maintenance of 6,600 tons per year.
IS that correct?
13
A.
We coul d have used 1 anguage 1 i ke that.
14
Again, I was working under a certain -- I was under
15
working under my own direction essentially that was
16
leading me down a path that we could work within the
17
prevlous Board relief
18
Q.
Right.
19
A.
and somehow extend it.
I found out
20
differently when I did get to talk to Toby Frevert
21
that, no, that wasn't going to be our path.
So I was
22
asking questions and talking to Illinois-American
23
based on my own assumptions to where the Agency would
24
want to go, rather than what my supervisor's position

1
2
3
4
5
6
7
8
9
10
11
12
13
14
15
16
17
18
19
20
21
22
23
24
15
was.
MR. HILES:
Can we please have this marked as
-- what are we up to now
Exhibit 5.
(Deposition Exhibit Number 5 marked for
identification.)
Q.
Bob, I'm goi ng to hand you a document that's
been marked Deposition Exhibit 5 and ask you to take a
moment
to look at it. And while you're doing that,
I'll predi ct for you my fi rst questi on, whi ch is, have
you ever reviewed this document prior to today?
A.
Yes, I have.
Q.
when did you first reVlew it?
A.
It would have been after I had the discussion
with Toby Frevert that said we -- we would not support
the 2006 proposed adjusted standard, and the goal
during that period was to find out what USEPA said
about water quality trading, what policies they had
and whatnot.
And, of course, we found this policy
document and that's when I looked at it.
Q.
Let me direct your attention to page 6,
please. And specifically to the text under paragraph
4. Let's start with the first full sentence in
paragraph 4. And I'll just read it.
"EPA does not
support trading to comply with existing

16
1
technology-based effluent limitations except as
2
expressly authorized by federal regulations."
3
what is the existing technology-based effluent
4
limit for the Alton plant of Illinois-American Water
5
Company?
6
A.
well, that's a questi on you coul d answe r two
7
ways.
One is that they have an adjusted standard from
8
the pollution control Board at the present time that
9
doesn't set any effluent limitations at all. or you
10
could look at it in terms of what would be the
11
normally imposed technology-based effluent limitation,
12
and that, of course, woul d be from Part 304 of the
13
Board's regulations that sets an effluent standard for
14
total suspended solids and iron.
So to me what they
15
meant in this policy was what is existing, in other
16
words what is normally applied.
So when I read that,
17
I would have said that this applies to our
18
technology-based limits and doesn't apply to what --
19
the relief previously granted.
20
Q.
But in terms of an existing technology-based
21
effluent limit, would you agree with me that the Alton
22
plant has always been exempt from Section 304.124,
23
which I believe is that section of Illinois statute
24
imposing limits?

1
2
3
4
5
6
7
8
9
10
11
12
13
14
15
16
17
18
19
20
21
22
23
24
17
A.
Yeah, I'd agree they've never met that
technology-based limit even in their old plant or the
new one.
Q.
And they've never been required to as a
matter of law, isn't that correct?
A.
I'm probably not qualified to talk about
matters of law.
But as I understand the regulations
and the relief granted, no, they've never been
required to meet that limit.
Q.
I guess my point is, there's -- there is not
now and there never has been an existing
technology-based standard applicable to the Alton
plant.
would you agree with that?
A.
well, there's -- there are standards
applicable in the absence of that relief, so, again,
you know, it's I guess how you want to look at that.
We have lots of water treatment plants that don't have
relief. And, of course, all of them are subject to
those technology-based limits.
Q.
But for the Alton plant it 1S not subject to
that technology-based limit, is it?
A.
As long as somebody grants relief, they don't
get a permit that has the limits for TSS.
Q.
I wonder if you could read out loud the

18
1
second paragraph under number 4?
2
A.
"EPA will consider including prOV1Slons for
3
trading in the development of new and revised
4
technology-based effluent guidelines and other
5
regulations to achieve technology-based requirements,
6
reduce implementation costs and increase environmental
7
benefi ts."
8
Q.
Let's look at the context of that paragraph.
9
It's really just one sentence.
Do you agree that EPA
10
is referring to its own regulations with regard to the
11
statements in that sentence you just read?
12
A.
It seems -- it seems that they are.
Because
13
they say they will consider.
They must be referring
14
to their own regulations.
15
Q.
Let's add that context to the paragraph that
16
precedes it, still under number 4.
Do you agree that
17
when EPA is talking with respect to all of number 4
18
with their -- talking about technology-based effluent
19
limitations that they're actually talking about
20
federal standards?
21
A.
I wouldn't
I wouldn't read that that way.
22
In the first paragraph they don't talk about -- you
23
know, it's not implied that they're just speaking of
24
their own federal technology-based effluent

19
guidelines.
Q.
Did you seek clarification from USEPA about
the meaning?
A.
Yes.
I -- well, I don't -- I didn't go line
by line with them on this paragraph, but I talked to
them about how they regarded trading for
technology-based effluent standards.
Q.
who did you talk to?
A.
I talked to Dave Pfeifer.
Q.
could you spell that, please?
A.
p-f-e-i-f-e-r. He's at Region 5 USEPA,
chicago.
He may have been the one that referred me to
this document.
Then I talked to George Acevado.
Q.
could you spell that last name?
A.
A-c-e-v-a-d-o.
And I had a --
Q.
Is he also at Region 5?
A.
Yes, he 1S.
I had a discussion with him
about, you know, how USEPA looks at trading for
technology-based effluent limits.
Q.
Anyone else?
1
2
3
4
5
6
7
8
9
10
11
12
13
14
15
16
17
18
19
20
21
A.
That was it.
22
Q.
Let's start with Mr. pfeifer.
What was your
23
discussion with Mr. pfeifer about how USEPA looks at
24
trading for technology-based effluent limits?

1
2
3
4
5
6
7
8
9
10
11
12
13
14
15
16
17
18
19
20
21
22
23
24
20
A.
My discussion with Mr. Pfeifer was pretty
short.
I asked him, you know, where would I find info
on U5EPA's Water Quality Trading policy and, you know,
who should I talk to essentially or where could I find
it on the web site.
And he gave me a web site
address.
I'm pretty sure it was him.
And then
referred me to George Acevado.
Q.
50 really your substantive discussion then
was with Mr. Acevado, I take it?
A.
Right, yes.
Q.
Please explain your discussion with
Mr. Acevado.
A.
well, I explained to him the petition that
had been filed, and found that he was aware of the
initial petition and the trading that resulted, and
explained to him how we were looking at it currently,
that we didn't like the idea of trading for something
that is a technology-based limit.
And he more or less
said, well, we don't like that sort of thing, either,
and that he didn't really realize that this trading
scheme that is ongoing was a result of relief from
technology-based limits, and that basically the U5EPA
policy supports our position, the Illinois EPA
position.

21
1
Q.
Did he explain to you how he did not know
2
that it was relief from technology-based effluent
3
limits?
4
A.
No.
5
Q.
But he did tell you that he was aware of the
6
initial petition going all the way back to when? 1999
7
or 2000?
8
A.
well, I don't know how long his involvement
9
was, but that he, you know, at USEPA had followed thi s
10
as an example of trading.
11
Q.
For years?
12
A.
I don't know that we got into any discussion
13
about how long he was following it.
14
Q.
Let's go back to the water Quality Trading
15
policy, Exhibit 5, paragraph 4, in the second portion
16
of that paragraph, the one that you read to us.
17
A.
uh-huh.
18
Q.
Have you approached USEPA to discuss whether
19
it might be appropriate to consider the Alton plant as
20
one of those exceptions mentioned in that second
21
22
23
24
paragraph?
A.
NO.
Q.
why not?
A.
I don't think my job
1S to be an advocate for

22
remembe r.
Q.
To you r knowl edge, Bob, has anyone at the
Agency approached USEPA to discuss whether it might be
appropriate to consider the Alton plant as one of
those exceptions contemplated in the second part of
paragraph 4?
A.
Not to my knowledge.
Q.
All right.
Did you explain to him anything
to the contrary and in particular what
Illinois-American water company's stance was?
A.
No.
Q.
Did you provide him with a copy of
Illinois-American water company's petition?
A.
No.
someone's special consideration. I got the answer
from George that he gave me and I didn't see any need
to discuss it further with him.
Q.
well, in your discussion with George weren't
you ln fact advocating the opposition of my client's
position?
A.
I told him -- I told him what our stance was,
yeah.
I don't
TO your
I don't believe so, anyway.
Q.
A.
1
2
3
4
5
6
7
8
9
10
11
12
13
14
15
16
17
18
19
20
21
22
23
24

Q.
Are you
familiar
with the term
uncertainty
discount?
A.
No, I
don't believe I
am.
Q.
How
about the
term
uncertainty
credit?
A.
NO.
Q.
I'm going to
hand you a
document
that's been
23
1
2
3
4
5
6
7
previously marked as Deposition Exhibit 2 and ask you,
8
first of all, have you seen that document before?
officer in our case.
9
10
11
A.
Q.
Yes, I have.
It's a serles of questions from the hearing
Have you been asked to respond
12
to any of the questions in the hearing officer's
13
order?
14
15
A.
Q.
Yes.
I'd like you to go through that order and
16
point out for us the questions you have been asked to
17
help prepare responses to.
18
A.
well, I was asked to read through the
19
questions and provide any information useful toward
specific ones to answer.
20
21
answering those.
I don't believe I was assigned
But in other words, I was
22
told to use my judgment and help out with the
23
information wherever I could for any of the questions.
24
Q.
All right.
well, let's go through them.
I'd

24
A.
okay.
That was not one that I was -- thought
I could be helpful in.
I didn't prepare any answer to
that one.
Q.
Let's move on to lb on page 2.
A.
Not that one, either.
Q.
How about lc on page 2?
A.
Not that one, either.
Q.
Same question with respect to ld on page 2.
just like to run through them from the start to the
finish and ask if you have any answers yet or if
you're in the process of formulating answers.
On page
2, this would be question la, do you have any answers
to that or have you begun formulating answers?
A.
well, I think we
I'm positive that we
agree that Illinois-American Alton plant isn't
discharging to a POTW.
MR.
SOFAT:
Bob
Q.
Bob, we may literally be on the wrong page
here.
Let's go to the very beginning of the document.
A.
oh, I see.
Q.
I'm on page 2 of the document.
A.
I gotcha.
The Illinois-American company
questions.
1
2
3
4
5
6
7
8
9
10
11
12
13
14
15
16
17
18
19
20
21
22
23
24
Q.
Yes,
sir.

25
Nope, not that one, ei the r.
Same question for Ie.
1
2
3
4
A.
Q.
MR. SOFAT:
MR. HILES:
Brad?
Yes.
5
MR. SOFAT:
I can speed up the process for
6
you, if you don't mind.
7
MR. HILES:
I'd love to speed up the process.
8
MR. SOFAT:
I did not ask them to even look
what he's focusing on, so -- you can go through the
whole if you want but -- or you can ask him in
general.
MR. HILES:
Can we just establish then that
Mr. Mosher is not going to provide input with respect
to the questions posed to Illinois-American Water
company?
did you
A.
I think maybe once or twice I had a little
interjection type thing. And I -- for f -- for If on
page 2 I may have said something like keep in mind
that USEPA'S water Trading policy doesn't allow
trading for technology-based limits.
You know, it was
kind of a little thing to whoever was answering that
This is what -- Illinois EPA questions is
MR. SOFAT:
Can I -- Bob, are you gOlng to --
9
at these.
10
11
12
13
14
15
16
17
18
19
20
21
22
23
24

26
MR. SOFAT:
Yes.
Q.
If there's anyplace else in the questions
posed to Illinois-American Water company where you
have provided input or you intend to provide input,
I'd like to know that right now.
whatever you want to do because --
A.
Later on when they answered the question, we
might have a rebuttal or something.
MR. SOFAT:
Right.
That's the difference.
okay.
Anyhow.
A.
So do you want me to look through the rest of
the Illinois-American questions?
question, as long as we're talking about USEPA'S Water
Quality Trading policy, make sure you remember that
that policy says you shouldn't trade with
technology-based effluent limits. It wasn't an
answer. It was just like a little comment to try to
help someone else answer.
MR. SOFAT:
And why would somebody be looking
at Illinois-American's questions?
A.
well, I don't know.
I just thought we
might --
1
2
3
4
5
6
7
8
9
10
11
12
13
14
15
16
17
18
19
20
21
22
23
24
Q.
MR. SOFAT:
I
would.
okay.
I would.
Brad, just go ahead and do

27
1
A.
well, I can say for sure we don't intend to
2
provide any input on Illinois-American's questions
3
because I heard what my attorney just said.
4
MR. 50FAT:
You can always help me with the
5
cross-examination questions.
Right now --
6
A.
Right.
7
MR. 50FAT:
-- focus on opposing counsel's
8
questi ons, what are they sayi ng -- do you intend --
9
whatever the question was.
10
A.
So, let's see.
I didn't have any on page 3
11
of any of those questions for
that are on page 3,
12
and no input to any questions on page 4.
13
And now we're into the Illinois EPA-directed
14
questi ons.
15
Q.
Yes.
So let's -- I'm gOlng to just pose the
16
same questi on, Bob, wi th respect to the questi ons
17
directed at Illinois EPA, beginning with question la.
18
A.
okay.
The Agency does agree that
19
Illinois-American Alton does not discharge to a POTW.
20
In our filing we referred to potential future
21
federal categorical effluent limits, so that was
22
something I remember commenting on that the Board
23
you know, are they referring to existing or potential
24
future federal categorical effluent limits.

1
2
b --
Q.
Just so we're clear on that, there 1S no
28
3
federal categorical effluent limits applicable to the
4
IllinoiS-American water company's Alton plant, are
5
the re?
6
A.
As I understand from our Permit Section staff
7
that I believe I heard them refer to just a narrative
8
statement about best degree of treatment or best
9
reasonable treatment being what should be applied, but
10
that was some sort of a narrative.
11
Q.
Bob, I'm talking about federal categorical
12
effluent limits.
13
14
15
A.
Q.
A.
Right.
Are you aware of any federal?
well, there's no specific federal categorical
16
effluent limits for this category of discharger.
17
That's correct.
18
Q.
How about Ib?
Maybe the best way to go at Ib
A.
Yes, I
have.
Q.
Tell us
about
your
discussions
with
Mr. Bone.
A.
He's
in
washington.
I
got
his
name
and phone
number, I
believe,
off of
the
web site
from
USEPA.
I
19
is to ask you if
you've
had discussions with Mr. Tom
20
Bone of USEPA's office of Science and Technology?
21
22
23
24

29
1
called him and asked him if he could update me on
2
U5EPA's efforts to develop federal categorical
3
effluent limits for the drinking water treatment
4
industry type discharger, and he filled me ln on where
5
they were at and gave me some facts that I believe
6
show up in our Agency response to the petition. And
7
that was about a ten-minute conversation and that was
8
the only time I've talked with him.
9
Q.
okay.
so is it you r testi mony that the
10
information that is in the Agency's recommendation
11
represents all of the information that Mr. Bone
12
provided to you that day?
13
A.
It's not a word-for-word transcript of what
14
we talked -- or, our conversation, no.
15
Q.
And I'm not looking for that, either, Bob.
16
I'm just looking for the general subjects that were
17
addressed.
18
A.
well, my intention was to summarlze what he
19
told me and that summary is pretty much what's in our
20
our response.
21
Q.
Did he tell you that the Agency would -- that
22
U5EPA would be developing categorical effluent limits
23
for sources which do not discharge to a POTW?
24
A.
Yeah.

30
1
Q.
Did he indicate which pollutants would be
2
included ln the categorical effluent limits?
3
A.
He definitely talked about total suspended
4
solids being one of those pollutants that they were
5
working on development.
He did tell me that there was
6
no way to predict what list of pollutants they would
7
end up with, but certainly total suspended solids was
8
one of those that they were looking at.
9
Q.
So he couldn't confirm to you whether there
10
would, in fact, be a categorical effluent limit for
11
TSS, is that correct?
12
A.
Yes.
He confirmed -- or, he made it plain to
13
me that he couldn't confirm anything from a developing
14
project, that until the formalities were complete that
15
there were no guarantees of what the proposed limit,
16
if any proposed limit, would be put forward.
17
Q.
Did you discuss with Mr. Bone the federal
18
Agency's consi de rati on, if any, of offset c redi ts in
19
the compliance scheme in the event categorical
20
effluent limits were developed?
21
A.
I didn't talk with him about that subject,
22
no.
23
Q.
Do you recall if anyone of you rai sed it
24
during the conversation?

31
no.
TMDL program.
Q.
Let's move on to question 2b, please.
Have
you provided comments or do you intend to provide
comments on question 2b?
NO.
That should be up to the people ln our
I
don't believe
I
was aware of that at all,
A.
Q.
well, I think we've covered questions la, b,
and c, unless there's anything else you can tell me
about your discussions with Mr. Bone that you haven't
told us already.
A.
No, that's pretty much it.
Q.
All right.
Let's move on to question 2a.
A.
This isn't a question that I -- I commented
on, I don't believe.
Q.
Are you planning on providing comments on
question 2a?
A.
I don't believe so, no.
Q.
Are you aware that headquarters
representatives have, in fact, stated that they are
considering offset credits and trading credits in the
compliance scheme in the event they develop
categorical effluent limits for water treatment
plants?
A.
1
2
3
4
5
6
7
8
9
10
11
12
13
14
15
16
17
18
19
20
21
22
23
24

1
2
A.
Q.
I believe I did comment on that one.
what are your comments with respect to
32
3
questi on 2b?
4
A.
That I wasn't aware of any other discharges
5
that use trading and that my only knowledge of anyone
6
planning to use trading was with nutrient trading, and
7
then I cautioned that the standards that would
8
possibly bring about someone wanting to use trading
9
for nutrients weren't -- those standards were not
10
formulated yet and were quite a ways from being
11
finished or proposed.
So that that was planning that
12
was ln a very early stage kind of anticipation.
13
Q.
when you say considered or proposed, would
A.
The state
1 eve 1 .
Q.
Any
other
comments on
2b
7
A.
NO.
Q.
Let's move
on
to
2c,
please.
A.
That
was
one
I
didn't
have
any comments
on.
Q.
Then
we move
on
to
question
3, which
has
a
14
that be at the state level or the federal level, Bob?
15
16
17
18
19
20
21
great deal of information preceding the actual
22
questi on.
23
A.
Yeah.
AS I read the question, are there any
24
federal effluent guidelines, this -- and we've covered

1
2
3
4
5
6
7
8
9
10
11
12
13
14
15
16
17
18
19
20
21
22
23
24
33
the fact that there are no federal categorical limits
presently, but when they mention guidelines, that may
be where I heard discussions from our permitting
people that their belief -- this is just -- I guess
this is hearsay, but their belief was that there was
some sort of a statement in federal guidelines that
the federal regulations encouraged states to apply
limits that are reasonable based on available
technology to dischargers that aren't covered by
federal categorical limits.
Q.
SO are you providing a comment on question 3
to that effect?
A.
I don't really remember if I have commented.
It seems like a question that's best left for the
experts in federal effluent guidelines to answer.
Q.
Bob, have you reviewed EPA'S 1996 Draft Water
Quality Trading policy?
A.
I don't believe so.
Q.
well, if you'll turn to page 6 ln your
exhibit
A.
Back a page to --
Q.
Yes.
This is in the questions posed by the
hearing officer. Just past the midpoint of that page
do you see that paragraph there:
"Although IEPA

Assuming that the hearing officer has accurately
quoted from EPA's draft policy of '96, if you know,
why did the Illinois Environmental Protection Agency
support Illinois-American Water company's petition in
19 -- pardon me, in 2000 with the existence of this
draft policy statement in '96, which is essentially
the same as the final policy statement in 2003? DO
you know the answer to that question?
A.
No, I don't.
Q.
Have there been any discussions -- have you
Q.
And then the hearing officer quotes from a
1996 policy statement, which is the indented quote,
and I'm going to read it to you.
"To take advantage of trading, a point source
must be in compliance, and remaln in compliance, with
applicable technology-based limits."
DO you see that?
A.
uh-huh.
Q.
That quote was pulled from EPA's Draft policy
on Water Quality Trading which existed in 1996.
My
question to you is this, if you know -- let me back
up.
1
2
3
4
5
6
7
8
9
10
11
12
13
14
15
16
17
18
19
20
21
22
23
24
states
A.
"? Do you see that paragraph?
uh-huh.
34

1
2
3
4
5
6
7
8
9
10
11
12
13
14
15
16
17
18
19
20
21
22
23
24
35
discussed this with any other staff members at
Illinois EPA? And the point I'm driving at here 1S,
the policy that your Agency is grabbing onto for its
support, the 2003 water Quality Trading policy, has
not changed since 1996 on this issue of meeting
technology-based effluent limitations.
Have you had
any discussions with other staffers at the Agency
about that?
A.
well, I had discussions trying to re-create
Agency thinking or what we were aware of from the time
1n '99 when the proposal for the trading came forward.
Q.
Yes.
A.
And those discussions were basically to say
I, Bob Mosher, was not in the thick of things at that
point.
so I don't know what Agency thinking was that
resulted in us being agreeable to the trading project
and the eventual Board relief. That's -- that's my
extent.
I wasn't in those discussions. So I don't
know if people were aware of the '96 draft policy or
not.
Q.
Do you know if anyone from the Agency, prior
to late 2006, contacted Illinois-American water
company at any level just to tell them, hey, this
offset project that's the basis of your adjusted

1
2
3
4
5
6
7
8
9
10
11
12
13
14
15
16
17
18
19
20
21
22
23
24
36
standard is now out of favor with the Illinois
Environmental Protection Agency because of this TBEL
issue?
A.
I don't recall anyone making that contact.
Q.
Do you recall anyone at the Agency just
internally, whether a contact was made with
Illinois-American Water company or not, concluding
prior to late 2006 that the TBEL issue you've been
talking about here was inconsistent with this adjusted
standard?
A.
I'm not aware of any contact made like that.
Q.
Now, I'm not talking about outside contact.
I'm just talking about internal discussions at the
Agency along the lines of this adjusted standard here
is inconsistent with EPA's trading policy because of
the TBEL lssue.
Do you see what I'm driving at?
A.
Yeah.
And I mean I don't recall any
discussions of any kind before we received the first
of the draft peti ti ons, you know, in 1 ate '06 or
whenever we got the first one.
And then up until the
time of Toby Frevert's decision that we weren't going
to support, I don't remember anybody bringing that up
with Illinois-American at all.
Q.
All right. So really, the first instance at

37
1
which the TBEL issue was raised was the instance
2
raised by Toby Frevert in late 2006.
IS that correct?
3
A.
Right.
I think his instruction was to find
4
out what federal policy says.
And then we looked into
5
the document here, Exhibit 5, and saw the wording
6
about technology-based limits.
7
Q.
Do you recall attending a meeting with
8
Mr. Frevert and myself and some representatives of
9
Illinois-American Water company in December of 2006?
10
There were other Illinois EPA staff members present as
11
well .
12
A.
I know there were some meetings I didn't
13
attend, and I'm trying to remember if I was in the
14
room when Toby was -
was there.
I really don't
15
remembe r.
16
Q.
well, let me -- let me identify for you at
17
least some of the people who were present when I was
18
present.
It was Mr. Frevert.
It was the president of
19
Illinois-American Water company, Terry Gloriod, and
20
one of the attorneys from Illinois-American Water
21
company, Tracy Elzemeyer.
22
A.
okay.
I think I remember that meeting.
23
Q.
All right.
24
A.
It was in the sam cody room.
Does that help

1
2
3
4
5
6
7
8
9
10
11
12
13
14
15
16
17
18
19
20
21
22
23
24
38
you?
Q.
I don't remember your meeting room names.
A.
Okay.
Q.
But that 1S the meeting.
There was only one
meeting in which Mr. Gloriod and I attended with you
and Mr. Frevert.
TO my knowledge there was only one
meeting.
I want you to focus on that meeting.
Do you
recall at that meeting that Mr. Frevert's position was
that Illinois-American Water company would need to
continue its financial contributions at a level of
$415,000 a year in order to garner the support of
Illinois EPA for extending the adjusted standard?
A.
It's really hard for me to remember what was
said at that meeting.
I -- I want to -- I don't
really have a clear recollection.
Q.
well, let me ask you specifically if you
recall at that meeting Mr. Frevert telling
Illinois-American Water company that technology-based
effluent limits had to be met before the Agency would
support extending the offset, extending the adjusted
standard?
A.
I'm sorry, I just don't have strong
recollections of what was said or what was not said.
I mean I can't tell you that he -- he did or didn't

39
1
say that. sorry.
2
Q.
well, can you tell me if the Agency's
3
position with respect to TBELs was adopted after that
4
meeti ng?
Q.
How about your phone call with Dave pfeifer
at Region 5, was that before or after that meeting,
Bob?
A.
I can't tell you.
I'm sorry.
Q.
How about the first time you read USEPA's
Water Quality Trading policy, was that before or after
the meeting?
A.
I'm sorry, I don't remember.
Q.
Referring back again to the hearing officer's
questions, which is Exhibit Number 2 in front of you,
I'd like you to focus your attention on page 6 near
the bottom. There's a paragraph that begins with:
"The issue is similarly reiterated ..... Do you see
that?
A.
Yes.
Q.
I'd like you to read that through the bottom
of that page. Just read it to yourself, please.
A.
Dkay.
5
6
7
8
9
10
11
12
13
14
15
16
17
18
19
20
21
22
23
24
A.
after.
I don't remember whether it was before or
I'm sorry.
Electronic Filing, Received, Clerk's Office, August 30, 2007

40
1
Q.
Would you agree with me that that text
2
concludes that the TBEL issue here focuses upon
3
federal technology-based limits?
4
A.
You know, I'm -- I'm not certain.
I think it
5
could go either way.
I'm not certain that they mean
6
-- they say:
" ...
point sources are required to
7
comply with their technology-based limits ... " So
8
their limits could be based on federal categorical
9
limits or state effluent standards. So I don't think
10
I can agree with your statement.
I think there's room
11
there to interpret that as could be state limits.
12
Q.
All right. Let's explore that a little bit
13
further.
Fi rst of all, I want to be real clear about
14
one thing. It is my client's position and my position
15
that the reference in this handbook and in the federal
16
water quality trading guidelines refer to only federal
17
categorical effluent limits when referring to TBELS.
18
I just wanted to be clear about that.
19
A.
uh-huh.
20
Q.
That's not a question.
I just want you to
21
understand where I'm coming from.
22
A.
okay.
23
Q.
And you have just testi fi ed that it can be
24
interpreted differently.
Here's what I want you to
Electronic Filing, Received, Clerk's Office, August 30, 2007

41
1
tell me on the record.
Who at EPA told you that
2 Illinois EPA was at liberty to utilize the state's
3
effluent standard for TSS in application of the
4
federal water Quality Trading policy? Because, Bob, I
5
don't see those words in the policy.
Let's start with
6
that.
DO you see those words in the policy where the
7
state is given liberty to apply its own effluent
8
standards? I don't. Do you?
9
Brad, I think Bob has answered
10
11
MR. SOFAT:
that question.
MR. HILES:
I don't think he has.
I want to
12
make it clear.
13
A.
well, certainly, states are able to set their
14
own technology-based limits. They can do it across
15
the Board, as the Illinois pollution control Board has
16
done, that all dischargers are subject to these
17
limits. They -- obviously, those limits cover
18
facilities that have federal categorical limits and
19
those that do not.
Our limits can supersede the
20
federal categorical limits.
21
Q.
My question to you is, what is it about the
22
federal Water Quality Trading policy which you and
23
your counsel are relying upon here to try to defeat my
24
client's efforts to extend the adjusted standard, what

1
2
3
4
5
6
7
8
9
10
11
12
13
14
15
16
17
18
19
20
21
22
23
24
42
is it about that Water Quality Trading policy that
tells you you are free to use state-based limits when
applying the federal policy?
A.
I don't believe we
we ever apply the
federal policy.
I think we try to enact or prevent
regulations from being enacted that would run up
against federal policy. I think that's all we ever
wanted to demonstrate here was that the state can --
the Illinois pollution control Board can do whatever
it wants to, I guess, but they're going to have to
answer to federal oversight, federal displeasure. We
don't want to do that.
So we try to do things that
are consistent with our policy and their policy.
Q.
Do all states have effluent limits for TSS?
A.
I don't know.
Q.
well, how do you answer the question for
those -- for a state that doesn't have a TSS effluent
limit? How do you apply the federal water quality
trading guideline to that state?
MR. SOFAT: objection. That's outside his
personal knowledge and even job description.
MR. HILES:
Let me -- let me rephrase the
question.
Q.
IS it your testimony that if the state of

43
Illinois did not have a TSS effluent limit, is it your
testimony then that under the federal water Quality
Trading policy offsets could be utilized by
Illinois-American Water Company?
Let me withdraw that question and state it
differently.
What is it in the federal water Quality Trading
policy that specifically says Illinois's effluent
standards should be applied and technology should be
utilized to meet those effluent standards? what is
it?
A.
I believe that the federal goal through
requiring certain technology-based limits be met by
certain industries was to make sure that the best
reasonable treatment would be applied everywhere.
I'm
sure the Feds -- the USEPA wants treatment applied
everywhere.
They haven't covered everything with
their categorical limits and our state has filled the
gap with our effluent standards.
so I don't see why
they would -- the USEPA would want to ignore our state
limits.
Q.
well, what about those states that don't have
limits?
1
Z
3
4
5
6
7
8
9
10
11
12
13
14
15
16
17
18
19
20
21
22
23
24
MR. SOFAT:
objection.

1
2
3
4
5
6
7
8
9
44
A.
I don't know that there's states that don't
have limits.
Q.
How do you
MR. HILES:
well, no, this witness has drawn
a conclusion that the federal agency wants uniform
implementation. And some states don't have effluent
limits for suspended solids.
MR. SOFAT:
Brad, he's not an attorney.
I
mean
--
10
MR. HILES: This isn't a legal conclusion.
11
I'm asking him if he's reached a conclusion
12
MR. SOFAT:
It's an interpretation of the
13
legal documents you're talking about.
14
MR. HILES:
He has made an interpretation of
15
the federal water quality -- the federal water trading
16
policy, that it needs to be applied from coast to
17
coast.
He's determined that's what the Feds want.
18
And I'm asking how he could reach that conclusion when
19
some
states don't have effluent limits for water
20
treatment plants on total suspended solids.
21
MR. SOFAT:
That is very specific to the
22
federal guidance document.
Bob--
23
MR. HILES:
And this witness can answer it.
24
He's drawn a conclusion that the Feds want

would apply in a case where states doesn't
Right.
And that's what I'm doing.
But he does not know how Feds
How can it be consistent?
Brad, that's his V1ew.
And
I'm entitled to explore that
1
2
3
4
5
6
7
8
9
10
consistency.
MR. SOFAT:
MR. HILES:
MR. SOFAT:
MR. HILES:
V1ew.
MR. SOFAT:
MR. HILES:
MR.
SOFAT:
Right.
And you --
that
45
11
particular state doesn't have the effluent
12
MR. HILES:
I'm asking him how he has
13
concluded that the Feds want consistent application
14
coast to coast when, in fact, some states don't have
15
effluent standards for TSS at water plants.
16
MR. SOFAT:
okay.
Bob, can you give your
17
basis of your interpretation?
18
And that's where I'm going to ask him to stop.
19
Because he can say this is how I conclude and I'm okay
20
with that.
But other than that, you know, what will
21
happen if a state doesn't have a standard which says
22
Fed s, you know, pre fer non poi nt sou r c e pro
j
e c t, t hat's
23
outside his -- I mean you can ask him how he concluded
24
whatever his position 1S.
I'm okay with that.
So --

46
and his op1n1on 1S not a legal op1n1on to begin with.
MR. HILES:
This doesn't call for a legal
0p1n1on.
A.
okay.
In my thinking on this matter, number
one, I'm not aware of other states' TSS standards.
I
them.
It never entered into the thought process. The
process was that Illinois has a technology-based
standard.
And in my conversation with George Acevado,
who I believe was aware -- he said he wasn't before,
but as I was talking to him, he was aware that that
was an Illinois technology-based standard, and he said
I agree with you, federal trading policy wouldn't
support trade under those circumstances. That's the
basis of -- I'm not
I'm not an expert on USEPA
water quality trading. That's why I was talking to
George, so he could enlighten me.
Q.
well, let me explore with you -- and again,
this 1S in connection with your discussion with
George.
Did you share with George that there were
opposing views? And specifically, that there were
oppos1ng views that held that the federal Water
Quality Trading policy applied to federal effluent
limits on this issue of TBELs and not to state limits?
1
2
3
4
5
6
7
8
9
10
11
12
13
14
15
16
17
18
19
20
21
22
23
24
just don't know.
I don't know that some don't have

47
this
A.
AS I read that quote, I am not convinced that
it only means federal technology-based limits.
Q.
Read the parag raph below it, Bob.
A.
That -- that is the Board's words?
Q.
Yes.
A.
well, so the Board thinks that the handbook
closing to this pretty soon.
MR. HILES:
My question stands.
Go ahead, Bob.
MR. SOFAT:
Bob, go ahead.
I know -- we can go back to the transcript
discussion has been asked before.
Bob, go ahead and answer this time and after
No, he has not.
MR. SOFAT:
He has.
we need to have some
Did you discuss that with him?
A.
NO.
Q.
Do you at least acknowledge, Bob, that at the
end of page 6 the citation from the Water Quality
Trading Assessment Handbook sets forth one of those
opposing views?
Do you acknowledge that?
MR. SOFAT:
Brad, he has answered that
question before.
MR. HILES:
1
2
3
4
5
6
7
8
9
10
11
12
13
14
15
16
17
18
19
20
21
22
23
24

48
refers specifically to federal.
Is that what you want
me to say? It seems to me that the Board --
Q.
Bob, I just want you to acknowledge that
there are opposing viewpoints on this issue, my
clients included. And my real question to you on this
is, did you present opposing viewpoints to George and
engage 1n a discussion with him about that?
A.
of course, I didn't have this Board viewpoint
when I talked to George.
And, no, I didn't raise any
oppos1ng viewpoints with George.
Q.
I don't know if we ever got to your ultimate
answer to the question, which is at the top of page 7,
Bob.
what 1S your answer to that question?
A.
I think I did answer that, that that one
seems to be in the domain of the -- our experts from
the permit Section that are familiar with the federal
effluent guidelines, general category of --
Q.
Let's move to question 4a.
Have you prepared
a response to that question or are you 1n the process
of preparing a response?
A.
I think I already mentioned that when I
talked to George Acevado, I did mention specifically
Illinois-American Alton situation with the renewed
1
2
3
4
5
6
7
8
9
10
11
12
13
14
15
16
17
18
19
20
21
22
23
24
petition for adjusted standard.
And in that regard I

1
2
3
4
5
6
7
8
9
10
11
12
13
14
15
16
17
18
19
20
21
22
23
24
49

50
1
prepar1ng a response to 4b?
2
A.
I think the gist of this question 1S some
3
years ago USEPA was doing a survey about water quality
4
trading, and I believe I talked to someone about the
5
Illinois-American, just gave them some just basic
6
information about what it was all about, long before
7
'06, you know, when the draft petition was submitted.
8
Am I aware of any feedback from US EPA?
You know, they
9
might have given me some feedback during that
10
conversation, like, oh, that's interesting and we want
11
more information.
And I think I passed that person
12
I don't remember who I was talking to.
I think I
13
passed them on to probably Scott Tomkins or Amy
14
walkenbach.
So I guess that's -- that's some
15
feedback.
That's all I can think of.
16
Q.
Now, you've testified here about contacts
17
that you initiated with USEPA concerning this adjusted
18
standard.
Has USEPA ever initiated any contacts with
19
you concern1ng the adjusted standard? And in
20
particular, has anyone from USEPA ever told you that
21
your Agency needed to oppose it because of the TBEL
22
issue?
23
A.
No.
In this survey, which is the only time I
24
can remember talking to USEPA about this trading until

51
Q.
very good.
Let's move on to question 5.
Have you prepared a response to question 5 or do you
intend to prepare a response?
the current petition came forward, was that survey.
And I call it a survey.
It was somebody wanting to
know about trading and offsets in our state. And I
said, well, the only thing I know of is this
Illinois-American thing and gave them a few facts
about it and said I think, you know, if you really
want to get some details, you need to talk to somebody
else.
A.
No.
Not 5a.
And not 5b.
Not -- no, not 5b,
either.
Q.
Do you believe that the tons of soil saved ln
the piasa Creek watershed project as reported by Great
Rivers Land Trust have been exaggerated?
A.
NO.
Q.
Do you have any reason to believe that those
tons of soil saved reported by Great Rivers Land Trust
with respect to the piasa Creek Watershed project are
anything other than absolutely accurate?
A.
well, I -- from my discussions with Amy
walkenbach and scott Tomkins, I'm aware that they're
really predictions of soil savings. They're not
1
2
3
4
5
6
7
8
9
10
11
12
13
14
15
16
17
18
19
20
21
22
23
24

1
2
3
4
5
6
7
8
9
10
11
12
13
14
15
16
17
18
19
20
21
22
23
24
52
measured soil savings.
But Amy assures me that
everything they've investigated leads to an accurate
prediction, uS1ng established methodologies to do the
predicting. 50 I don't have any doubts really that
they're achieving what they say they achieve.
Q.
Is it your understanding that what they say
they are achieving at this point is already an offset
1n excess of two to one? Do you understand that?
A.
Yes.
Q.
Regardless of disagreements you and I may
have, Bob, about whether this TBEL issue even applies
to our case, let me ask you personally, why would you
want to end an offset project that's exceeded two to
one and go to technology-based treatment? My specific
question for you is, how's that better for the
environment?
A.
personally, I don't want to see it ended
necessarily. It's probably good for the piasa
watershed.
Q.
How about the Mississippi River, which 1S
what the piasa watershed feeds?
A.
Yeah, right. All soil conservation projects
are good and do good.
I take direction from Toby
Frevert, and if he directs me to take a stand and, you

53
had anybody else tell me differently.
50 I'd like you
to tell me why it's better for the environment to
return more solids to the river.
Can you?
A.
You know, there were discussions back in '99
about, you know, what drawbacks a discharge without
treatment from Illinois-American Water was going to
know, disagree with something on a certain basis, then
that's my job to do so. 50 that's why I participated
and gathered facts and was part of the team that put
together the Agency response.
It's an odd question
that you ask me personally.
I mean
Q.
You're the supervisor of the Water Quality
Standards Unit, and I'd like to know what the
supervisor of the Water Quality Standards Unit thinks
about the environmental benefit of an offset project
that eliminates twice as many tons of solids entering
the Mississippi as my client discharges into the
Mississippi. And specifically, I'd like to know how
you think it would be better for the environment if
that offset project were scrapped and we didn't have
the two to one reductions and instead just went to
technology-based treatment.
Because in my crude math,
that would mean that we would return to depositing
1
2
3
4
5
6
7
8
9
10
11
12
13
14
15
16
17
18
19
20
21
22
23
24
more solids into the Mississippi River.
And I haven't

1
2
3
4
5
6
7
8
9
10
11
12
13
14
15
16
17
18
19
20
21
22
23
24
54
have on the Mississippi, and there are some drawbacks.
And we explored those then that, hey, that's a nasty,
muddy effluent that shoots out a plpe into the rlver
and stuff isn't going to want to live there. And that
removes habitat from the rlver and lessens the quality
of the rlver ln that locality.
Q.
Bob, my client commissioned a study by EN5R
to look into that and that was fully vetted before the
Board.
A.
Right.
Q.
And your Agency concluded when the Piasa
Creek watershed project came forward that that was no
longer an issue. The so-called muddy footprint is
what you're talking about.
A.
well, that doesn't mean that muddy footprint
doesn't exist or doesn't cause any harm.
It just
means that back in '99 the choice by the Agency was to
overlook that.
Q.
SO are you telling me it's better --
A.
So you're asking --
Q.
It's better to just treat it and not do
offset projects?
A.
well, you know, what I personally think is
both things would be the best for the environment,

Q.
But that's not my question to you.
A.
You're asking me to weigh the balance and --
gl ven my, you know, knowl edge that, you know, I'm not
an expert 1n nonpoint source, I wish I had the
knowledge that would be able to compare is nonpoint
source soil particles from ag fields any less harmful
than those particulates from a point source like
Illinois-American. Given my -- my frame of reference,
it seems to me that the offset was a benefit to the
environment, net benefit.
Q.
Are you familiar with the Revised universal
Soil LOSS Equation?
A.
No, I'm not 1n any meaningful way, no.
Q.
The acronym is RUSLE.
A.
I've probably heard that, but I don't know
much
about it or anything about it, really.
Q.
Are you familiar with the term retirement
credits with respect to offset projects or trading
projects?
A.
Not in any meaningful way.
Q.
What do you unde rstand it to mean?
A.
That's some system that the nonpoint source
1
2
3
4
5
6
7
8
9
10
11
12
13
14
15
16
17
18
19
20
21
22
23
24
treat it and do conservation work.
best.
55
That would be the

56
1
people can use to gauge effectiveness of projects.
2
MR. HILES:
sanj ay, do you have a copy of the
3
Agency's recommendation that I can show the witness?
4
MR. SOFAT:
uh-huh.
can we take a break?
(A recess was taken.)
The recommendation, Bob, 1S 1n front of you
5
6
7
8
break.
Q.
MR. HILES:
Sure.
Let's take a ten-minute
9
here.
It has not been marked as an exhibit.
And I'd
10
like to direct your attention to
I think it starts
11
on page 8, if you can
fi
nd page 8.
I have just a few
12
questions. There's a table there that begins at the
13
bottom of page 8 and continues on to page 9.
can you
14
provide any input for that table?
15
A.
NO.
other than I suggested that some of
16
these facilities be investigated, but the actual
17
information in the table was put together by someone
18
else.
19
Q.
why di d you suggest that some of those
20
facilities be investigated?
21
A.
Because they were facilities that met our --
22
the Board's total suspended solids effluent limit and
23
had water supplies or uses of public waters,
24
discharged into those waters and also used those

57
1
waters for their purposes.
And I thought that would
2
be an interesting thing to explain.
3
Q.
All those particular facilities draw their
4
water from lakes.
IS that correct?
5
6
A.
Q.
Yes.
Isn't that like comparlng apples and oranges
7
when you compare water drawn from a lake, which is a
8
reservoir, to water drawn from the Mississippi River?
9
I mean aren't the conditions substantially different
10
when it comes to a water supply?
11
A.
well, there are some differences, but there
12
are some similarities, also. All of those are public
13
waters.
Lakes and rivers benefit from nonpoint source
14
controls. They have similarities.
15
Q.
Are you aware that several of those water
16
treatment plants use lime-based treatment?
17
A.
I don't think I knew that, no.
18
Q.
More than half of them do.
Let's talk about
19
that.
when 1 i me-based treatment is used, that
20
actually adds solids to the waste stream, does it not?
21
A.
Yeah, it does.
22
Q.
And were you aware that IllinoiS-American
23
Water company is not using lime-based treatment at
24
Alton?

Q.
Does that still make it a comparlson of
apples and apples for you, knowing that some of those
water plants use lime?
A.
They don't discharge particulate lime above
the effluent standard.
Q.
But if they were -- if they were not treating
their effluent, Bob -- in other words, I'm trying to
compare it now to what's happening at Alton.
Alton
doesn't treat its effluent, so if these other plants
did not treat their effluent, wouldn't they, in fact,
be adding considerably more solids to their waste
stream than we have being added at the Alton plant?
A.
Relative to the amount of solids they start
with, yeah, you're probably right.
Q.
And let's talk about sedimentation at those
lakes, those reservoirs. without conservation
measures there would be considerable sedimentation,
wouldn't there, in the absence of treatment by those
water plants?
A.
I don't know if I understood that question.
could you say it again?
Q.
well, let's start with the Alton plant. We
know that the wastewater is not treated.
1
2
3
4
5
6
7
8
9
10
11
12
13
14
15
16
17
18
19
20
21
22
23
24
A.
I was aware of that, yeah.
It's
58

59
1
discharged untreated to the Mississippi River. And
2
that results in some sedimentation. would you agree?
3
A.
Yeah.
4
Q.
Now, let's compare that degree of
5
sedimentation with the degree of sedimentation that
6
would occur at these lakes, these reservoirs if those
water plants did not treat.
A.
okay.
Q.
It would be considerably greater ln the
reservoirs than it would be in the mighty Mississippi,
wouldn't you agree?
A.
Locally, yes, there would be more local
sedimentation.
7
8
9
10
11
12
13
14
Q.
And in fact, wouldn't you agree with me that
15
without some dredging or soil conservation measures,
16
the sedimentation in those lakes would be so great
17
that the water treatment plant's source of clean water
18
would eventually become threatened?
19
A.
That's -- that's correct. That's why we have
20
the effluent standard, I think, is to guard against
21
that sort of thing.
22
Q.
But now let's look at the Alton plant. To
23
your knowledge has the Alton plant's source of clean
24
water been threatened in any way despite their direct

60
1
di scharge?
2
A.
well, they discharge downstream of their
Q.
And the
rlver is
moving
also,
isn't
it?
A.
Right.
Q.
So
it's movlng
that
sediment,
correct?
A.
Correct.
Q.
whereas, 1 n the
lake
environment
there's not
3
intake at Alton, so there isn't any way they could
4
th reaten thei r intake.
5
6
7
8
9
10
a source that moves the sediment out of the lake,
11
absent some efforts taken by mankind.
Is that
12
correct?
13
A.
well, sediments can move out of the lake when
14
there's high water conditions, but probably that's
15
offset by increased sediment load during those
16
conditions.
But, yeah, you're right.
Most of the
17
sediment discharged into a lake would stay there.
18
Q.
Bob, were you aware that in each of the six
19
instances discussed in the Agency's recommendation
20
funding was provided to the point source by either
21
federal or state or in some cases both governments to
22
assist with the soil conservation efforts undertaken
23
by those point sources?
24
A.
I wasn't aware of where the funding came

1
from.
2
3
4
Bob.
MR. HILES:
MR. SOFAT:
61
I have nothing further.
I have a couple of questions for
5
CROSS-EXAMINATION
6
BY MR. SOFAT:
7
Q.
Bob, could you for the record describe how
8
the Agency applies its water quality standards and
9
effluent standards to an NPDES permit application?
10
A.
Yeah.
well, effl uent standards have to be
11
met by any discharger unless the standards exclude
12
certain ones. Water quality standards are quite
13
different.
YOU
you can apply water quality-based
14
effluent limits to permits in order to ensure that
15
water quality standard ln the receiving stream is met.
16
Q.
What di ctates 1 n te rms of whet he r it's the
17
effluent conditions or the stream conditions that
18
triggers you to include water quality standard limits
19
or technology-based standard limits? Do you
20
understand my question?
21
MR. HILES:
well, I'm gOlng to object to the
22
question actually, because I believe there's no
23
foundation laid for this witness to determine what
24
goes in permi ts.

1
MR. SOFAT:
62
AS Bob has testified, one of his
2
roles at the Agency is to assess -- implement the
3
Board's regulations, which includes water quality
4
standards and technology-based standards and that is
5
part of his regular job that he does when he informs
6
the permit Section what standard goes into the permit.
7
So it's part of his day-to-day job.
8
MR. HILES:
I still don't believe that this
9
witness has laid a foundation on his drafting of
10
permit conditions.
11
Q.
Bob, can you describe your daily role at the
12
Agency?
What do you do?
13
A.
well, the two major things that I do is
14
develop and propose new or updated water quality
15
standards to the Board for their adoption, and the
16
other main category of what I do is to implement
17
existing standards in NPDES permits.
18
Q.
What do you mean by implementing those
19
standards?
20
A.
I have input as to what permit limits will be
21
based on those standards.
22
Q.
Can you describe in detail what that role is?
23
A.
Yeah.
The 304 section of the Board's
24
regulations has the effluent standards. That's really

63
1
pretty straightforward and doesn't take much
2
interpretation. The standards are laid out. They are
3
applied as indicated. It's quite a bit simpler than
4
the water quality standards from 302 of the
5
regulations, which we have to determine do we need to
6
regulate a certain parameter in a permit to protect
7
the water quality standards in the receiving stream.
8
We do a reasonable potential analysis.
Is there a
9
reason to believe, you know, we need a limit, if the
10
substance 1S present in sufficient quantities or not.
11
Mixing zones enter in how water quality standards are
12
implemented in NPDE5 permits.
And of course, mixing
13
zones have nothing to do with effluent standards
14
whatsoever.
15
Q.
SO 1n a given permit can you have both water
16
quality standards and technology-based standards?
17
A.
Yeah.
18
Q.
what happens if a particular pollutant has
19
both technology-based standard and water quality
20
standard?
21
A.
The most stringent side of the standards 1S
22
applied.
23
Q.
Do you know if T55 has a water quality
24
standard?

64
1
A.
NO, it does not.
2
Q.
DO you know if T55 has a technology-based
3
standard ln the Board's regs?
4
A.
Yes.
tell me whether or not Mr. Bone said that they would
be considering effluent limits for T55 in their final
Q.
And if a discharger has T55 ln their
effluent, how would you recommend the permit limit
should be written?
A.
It is strictly taken out of the 304
regulations.
The numbers are provided by the Board.
The particulars of which dischargers get which limits
are provided by the Board. It's very straightforward.
Q.
Do you have the authority to decide when to
apply and not apply a technology-based standard
written in a permit?
A.
NO. There's no discretion.
Q.
50 unless the Board has granted regulatory
leave, whether it's a water quality standard or a
technology-based standard, do you have to consider
those technology-based limits in the permit?
A.
Ye s.
5
6
7
8
9
10
11
12
13
14
15
16
17
18
19
20
21
22
23
24
Q.
And let me
discussion with Mr.
now
switch years to your
Bone.
For the record, can you

1
2
3
4
5
6
7
8
9
10
11
12
13
14
15
16
17
18
19
20
21
22
23
24
65
rule?
A.
Yeah.
I mean my discussion with Mr. Bone was
that TSS was the primary parameter that was being
looked at.
I mean, obviously, that's what is found ln
these types of effluents, so our discussion really
revolved around TSS.
Q.
And this is in context of Illinois, ln
context of you recommending what the permits limits
should be.
If somebody says what are the existing
technology-based limits for TSS, what would be your
answer?
A.
15 milligrams per liter as a monthly average,
30 as a daily maximum, based on the averaging rule in
304.
MR. SOFAT:
Thank you.
MR. HILES:
A few follow-up questions.
REDIRECT EXAMINATION
BY MR. HILES:
Q.
And your recommendation, of course, would be
no limits in the event that that particular point
source was subject to an adjusted standard granted by
the Illinois pollution control Board. Am I correct?
A.
If that were the case, no one would ask me.
But I would -- if asked, I'd say look at the Board

66
1
relief and that tells you what to put 1n the permit.
2
Q .
All ri ght.
So these questi ons that Mr. Sofat
3
has asked you have actually been questions that would
4
-- that might be applied to a company that did not
5
have an adjusted standard.
My question for you 1S,
6
where an adjusted standard exists, as my client has,
7
and that standard exempts compliance with the TSS
8
effl uent standards, there woul d, in fact, be no
9
technology-based limit applicable to that plant, would
10
the re?
11
12
13
A.
No, no limit at all.
MR. HILES:
Thank you.
MR. SOFAT:
I have a follow-up question.
14
RECROSS-EXAMINATION
15
BY MR. SOFAT:
16
Q.
Bob, are you aware that the adj usted standard
17
that applies to Illinois-American expires on september
18
7, 20077
19
A.
Yes.
20
Q.
How would you recommend your permit Section
21
given that and the circumstances are that the Board
22
has not extended the adjusted standard? what happens
23
at that time? On september 8th, 2007, a Permit
24
Section -- a permit engineer came to you and said,

1
2
3
4
5
6
7
8
9
10
11
12
13
14
15
16
17
18
19
20
21
22
23
24
67
Bob, what do I do about TSS for Illinois-American, how
would you consider the status of the adjusted standard
that was granted to the IllinoiS-American but it
expired -- it is expiring on september 7th?
MR. HILES:
well, I object to the nature of
the hypothetical question. particularly in light of
the fact that the Board has said it will attempt to
rule before the expiration or it will grant
retroactive relief if it rules after the expiration.
MR. SOFAT:
And my question goes to your
question that if the adjusted standard has been
granted. And adjusted standards usually are never
sunset.
The Board has come up with this sunset
provision that, okay, adjusted standard usually means
it's adjusted forever.
In that case Bob will never
have to look at this issue.
However, ln case of an
adjusted standard that is expiring september 8th
and that's why I'm using it as a hypothetical.
I can
take out Illinois-American out of the reference.
Q.
But my question is, if the Board's adjusted
standard expires because Board say so, then how do you
-- do you still consider the adjusted standard to
recommend your permit limits?
A.
NO.

68
1
MR. SOFAT:
Thank you.
That's all.
2
REDIRECT EXAMINATION
3
BY MR. HILES:
4
Q.
SO 1 sit you r testi mony then that you woul d
5
lmpose technology-based limits immediately on
6
september 8? You would tell the permitting section
7
impose those technology-based limits starting
8
septembe r 8, 20077
9
A.
well, I would have a discussion with permit
10
Section to talk about compliance schedules.
In fact,
11
they would probably have that discussion among
12
themselves without my participation necessarily. But
13
a compliance schedule is sometimes a possibility.
I'm
14
not really expert in knowing when or where compliance
15
schedules are allowable.
But that's an option or an
16
alternative to instant compliance when the Board
17
rel i ef expi res.
18
Q.
well, in fact, instant compliance is
19
impossible, isn't it?
20
A.
Yeah.
21
Q.
Based upon what you know about the Alton
22
pl ant, Bob?
23
A.
Right.
But there agaln, I -- not being an
24
expert in compliance schedules, I don't know what the

69
limitations are for the Agency to grant one ln this
case.
Q.
well, did you suggest it that someone else ln
the Agency tell them that?
A.
Not to my knowledge.
Q.
And ln the meantime my client -- strike that.
MR. HILES:
I have nothing further.
Bob, you have the opportunity to read the
transcript of this deposition and read it for errors
in the words but not in the substance.
If you do so,
Q.
well, let me ask you this.
Let's roll back
the clock to any year.
I'm going to let you pick the
year, but right now I'll propose 2002.
okay? My
client is paying $415,000 a year for the
implementation of soil saving projects in the piasa
Creek watershed.
Did you tell anybody at
Illinois-American water company in 2002 or any other
year of your choice, reconsider your payment of
$415,000 a year because my Permit Section may pull the
plug on you and reqUlre you to meet technology-based
effluent limits once your adjusted standard expires in
2007?
1
2
3
4
5
6
7
8
9
10
11
12
13
14
15
16
17
18
19
20
21
22
23
24
A.
that.
I would not have any authority to tell them

70
1
however, we have a very short time frame for that
2
because we have a hearing coming up on the 28th.
But
3
it's your choice. The transcript could be available
4
by the mi ddl e of next week, whi ch we thi nk wi 11 be
5
wednesday, and we would have to ask you if you choose
6
to read it and look for corrections, necessary
7
corrections, we would ask that you do so within 24
8
hours to give us all a chance to utilize it.
9
A.
okay.
All right.
10
MR. HILES:
Or else you can waive that right,
11
just assume that the court reporter got all the words
12
right.
13
MR. SOFAT:
My recommendati on you can look at
14
it and get it back to them ln 24 hours.
15
A.
All right. we'll do that.
16
MR. HILES:
Thank you.
17
(Deposition concluded at 1:40 p.m.)
18
19
20
21
22
23
24

71
1
STATE OF ILLINOIS
)
)
SS
2
COUNTY OF SANGAMON
)
3
4
5
I, Dorothy J. Hart, affi 1 i ated wi th capi tal
6
Reporting service, Inc., do hereby certify that I
7
reported in shorthand the foregoing proceedings; that
8
the witness was duly sworn by me; and that the
9
foregoing is a true and correct transcript of the
10
shorthand notes so taken as aforesaid.
11
I further certify that I am in no way associated
12
with or related to any of the parties or attorneys
13
involved herein, nor am I financially interested in
14
the acti on.
15
16
17
18
19
20
21
-/..u~,4Lk:.'.I::'..~-::J...-,~NUk~--------­
084-001390
rthand Reporter
rofessional Reporter
Pllhl;
OFFICIAl. SEAl.
DOROTHY
J.
I~AR!"
NOTARY PUBLIC, STATr:
Or
1i.l.INO,o
MY COMMiSSION EXPIRES 6.24-2011
Dated this 20th day of
22
August, A.D.
2007, at
23
springfield, Illinois
24

72
1
ERRATA SHEET
2
Illinois-American Adjusted Standard proposed Extension
3
I hereby verify that the foregoing is a true and
accurate transcription of my deposition taken on
4
8/16/07, except for those changes noted below:
5
6
7
Page
L
i ne
_
Reason
_
Page
L
i ne
_
change__
Change
------------- -----------
8
Reason
_
9
Page
L
i ne __
change
_
10
Reas on
_
11
Page __
L i
ne
_
change
_
- ----------- ------
12
Reason
_
13
page __
L i
ne
_
change
_
14
Reason
_
15
chan 9 e
_
16
Re as
an
_
17
page __
L i
ne
_ c han 9 e
__
_
18
Reas on
_
19
page __
L i
ne
_
ch an 9 e
_
20
21
22
23
Reason
_
Dated thi s
day of
-------------
Robert G. Mosher
________, 2007
24
Notary Publ i c

Back to top