1. page 1
    2. page 2
    3. page 3
    4. page 4
    5. page 5
    6. page 6
    7. page 7
    8. page 8
    9. page 9
    10. page 10
    11. page 11
    12. page 12
    13. page 13
    14. page 14
    15. page 15
    16. page 16
    17. page 17
      1. page 1
      2. page 2
      3. page 3
      4. page 4
      5. page 5
      6. page 6
      7. page 7
      8. page 8
      9. page 9
    18. page 24
    19. page 25
    20. page 26
    21. page 27
    22. page 28
    23. page 29
    24. page 30
    25. page 31
    26. page 32
    27. page 33
    28. page 34
    29. page 35
    30. page 36
    31. page 37
    32. page 38
    33. page 39
    34. page 40
    35. page 41
    36. page 42
    37. page 43
    38. page 44
    39. page 45
    40. page 46
    41. page 47
    42. page 48
    43. page 49
    44. page 50
    45. page 51
    46. page 52
    47. page 53

 
ILLINOIS POLLUTION CONTROL BOARD
June 17, 1998
IN THE MATTER OF
:
)
MUNICIPAL SOLID WASTE LANDFILLS - )
R98-28
NON-METHANE ORGANIC COMPOUNDS
)
(Rulemaking - Air)
35 ILL. ADM. CODE 201 .103, 201 .146, and
)
PART 220
)
Adopted Rule
.
Final Order .
OPINION AND ORDER OF THE BOARD (by R .C. Flemal) :
This matter comes before the Board upon a petition for rulemaking filed on March
13,
1998, by the Illinois Environmental Protection Agency (Agency)
.
The Agency requests that
the Board amend its air pollution control regulations to establish a program for the regulation
of emissions of non-methane organic compounds (NMOC) from certain existing municipal
solid waste landfills . These regulations are required pursuant to the Clean Air Act
Amendments of 1990 (CAA) (42 U .S.C. 7401-76719 (1990))
.
By today's action the Board
promulgates the regulations
.
The Board's responsibility in this matter arises from the Environmental Protection Act
(Act) (415 ILCS 5/1
et seq .
(1996)). The Board is charged therein to "determine, define and
implement the environmental control standards applicable in the State of Illinois ." 415 ILCS
5/5(b). More generally, the Board's rulemaking charge is based on the system of checks and
balances integral to Illinois environmental governance
:
the Board bears responsibility for the
rulemaking and principal adjudicatory functions ; the Agency has primary responsibility for
administration of the Act and the Board's regulations, including the regulations that are
adopted today .
Today's action is brought under Section 28.5 of the Act (415 ILCS 5/28.5 (1996)) .
Section 28.5 authorizes the Board to adopt via a "fast-track" procedure certain regulations
necessary for compliance with the CAA .
The United States Environmental Protection Agency
(USEPA) has established July 31, 1998, as the deadline for implementation of the instant rules
in Illinois .
BACKGROUND
On March 12, 1996, USEPA promulgated a new source performance standard (NSPS)
and an emission guideline (EG) for municipal waste landfills .
Petition Exhibit 1 at 9905-
9944.' Under the terms of the NSPS and EG, certain municipal waste landfills are required
to
Documents attached to the Agency's petition that are cited herein, are as follows
:
Attachment 7: Agency's Statement of Reasons
.
(Reasons)

 
2
control NMOC to the level achievable by the best demonstrated system of continuous emission
reduction, considering costs, quality of health, and environmental and energy
impacts
.
The NSPS and EG are based on USEPA's determination that NMOC emissions from
municipal solid waste landfills cause, or contribute significantly to, air pollution that may
reasonably be anticipated to endanger public health or welfare
.
Pet. Exh. 1 at 9905. The
emissions of concern include volatile organic compounds that contribute to ozone formation,
hazardous air pollutants that can cause a variety of direct human health effects,
plus odorous
compounds. Pet. Exh. 1 at 9905
.
Section 111(d) of the CAA requires that States submit a plan for the control of
emissions from any source for which the United States Environmental Protection Agency
(USEPA) has promulgated a performance standard . The NSPS is directly implemented in
Illinois through the operation of Section 39 .5 of the Act
.
It accordingly needs no independent
promulgation by the Board . However, the EG does need independent promulgation and
implementation. Today's action is undertaken pursuant to that requirement . The amendments
as adopted contain standards and control requirements that are equivalent to those in the EG .
Pursuant to the EG, states were required to submit their implementation plans to
USEPA within nine months of promulgation of the EG
(i.e., by December 12, 1996) . Pet
.
Exh. 3. The Agency has sought and obtained extensions of this deadline pending resolution of
Attachment 10: "Technical Support Document for Controlling NMOC Emissions from
Existing Municipal Solid Waste Landfills," Air Quality Planning Section, Bureau of Air,
Illinois Environmental Protection Agency, January 1998
.
Tech. Sup. Doc .
Exhibit 1: "Standards of Performance for New Stationary Sources and Guidelines for Control
of Existing Sources : Municipal Solid Waste Landfills
:
Final Rule and Guideline," 61
Fed.
Reg
.
9905 (March 12, 1996). Pet. Exh. 1
Exhibit 2: "Standards of Performance for New Stationary Sources and Guidelines for Control
of Existing Sources: Municipal Solid Waste Landfills :
Proposed Rule, Guideline and Notice
of Public Hearing," 56
Fed. Reg
.
24469 (May 30, 1991). Pet. Exh . 2
Exhibit 3: Letter from Mary A . Gade, Director, Illinois EPA, to Valdas V. Adamkus,
Regional Administrator, Region V, U .S. Environmental Protection Agency (December 16,
1996). Pet. Exh. 3
Exhibit 7: Proposed Settlement Agreement, National Solid Wastes Management Association v .
Browner, et al
. (D.C
. Cir 1996) (No 96-1152). Pet. Exh.7
Exhibit 8: "Extension of Period of Submission of Section 111(d) Plans for Existing Municipal
Solid Waste (MSW) Landfills," 62
Fed. Reg .
236 (December 9, 1997) . Pet. Exh . 8

 
3
a federal court action in which the National Solid Wastes Management Association challenged
key provisions of the NSPS and EG. A proposed settlement has been reached in this matter
(Pet. Exh. 7), and USEPA has now established July 31, 1998, as the deadline for
implementation of the instant rules in Illinois
.
Pet. Exh. 8
.
PROCEDURAL HISTORY
Schedule and Hearings
By order of March 19, 1998, the Board adopted the proposal for immediate first notice,
as required of rulemaking proposals filed under Section 28 .5 of the Act
.
The Secretary of
State published first notice on April 10, 1998, at 22
Ill . Reg . 6466 and 6500 .
Further, as also required by Section 28 .5 of the Act, the Board in its March 19,
1998,
order adopted a fast-track schedule for the proceeding as follows
:
First Notice
First Hearing
Second Hearing
Third Hearing
Second Notice
(if 3rd hearing is canceled)
(if 3rd hearing is held)
Final Adoption
on or before March 27, 1998
on or before May 1, 1998
on or before May 13, 1998
on or before May 21, 1998
on or before July 21, 1998
on or before August 10, 1998
21 days after receipt of JCAR
certificate of no objection
Pursuant to this schedule the first hearing was held on May 1, 1998, in Chicago and the
second hearing was held on May 13, 1998, in Springfield
.2 Both hearings were before Board
Hearing Officer Catherine F. Glenn .
At the first hearing the Agency presented the testimony of Richard Forbes, Manager of
the Ozone Regulatory Unit at the Agency, and Yoginder Paul Mahajan, Environmental
Protection Engineer in the Air Quality Planning Section of the Agency . Mr. Forbes, who
oversaw the development of the proposal for the Agency, testified to the relationship between
the federal and State air regulatory programs, and the need for Illinois to adopt the regulations
.
Tr. at 10-22. Mr. Mahajan testified to the specific requirements of the proposed regulations,
including the necessary capture and control provisions, the technical feasibility
and cost
effectiveness of such controls, the potentially impacted sources, and the emissions
reduction
from implementation of the proposed rule provisions
. Tr. at 23-41 . One member of the
public, Mr. Lionel Trepanier, attended the hearing and asked questions of the Agency ; no
members of the public presented testimony .
2 The transcripts of the hearings are herein cited as "Tr . at _"- Pages 1-94 are from the May
1, 1998, hearing ; pages 95-120 are from the May 13, 1998, hearing
.

 
4
At the second hearing the Agency responded to several questions raised at the first
hearing. At the second hearing the Board also sought testimony regarding the Department
of
Commerce and Community Affairs' (DCCA) economic impact determination, in accord with
Public Act 90-489, effective January 1, 1998 ; no economic impact testimony was received
.
Tr. at 101
.
The third hearing, which had been tentatively scheduled for May 21, 1998, was
canceled as provided for at Section 28 .5(g)(3) of the Act . Tr. at 118 .
By order of June 4, 1998, the Board adopted the Agency's proposal for second notice
and forwarded the proposal to the Joint Committee on Administrative Rules (JCAR)
.
At its
June 16, 1998, meeting JCAR voted "no objection" to the proposed rules
.
Public Comments
The Board received two public comments during the first notice public comment
period. The first public comment, PC 1, was filed on April 14, 1998, by Jon Peacy of JPC
Consultants. The second public comment, PC 2, was filed on April 24, 1998, by John H
.
Turner, Divisional Vice-President for State Governmental Affairs of Browning-Ferris
Industries (BFI) .
Mr. Peacy expressed concern that rules governing NMOC emissions be the same for all
pollution control facilities that deal with and treat municipal solid waste, and in particular
that
they be the same for waste-to-energy incinerators as for landfills .
PC 1 at 1. The Agency
notes that with today's rules, NMOC from both incinerators and landfills is subject to emission
control technology, but that the CAA provides for different types of technology consistent
with
"the vastly different nature of emissions and how they are generated from these two types of
facilities." Tr. at 117. The Board agrees with the Agency
.
The BFI public comment is discussed below under the "Monitoring, Testing,
Reporting, and Recordkeeping Requirements" heading .
OVERVIEW
Applicability
Today's regulations apply to existing municipal waste landfill owners or operators
if
construction or modification of the landfill commenced before May 30,
1991, and the landfill
has accepted waste at any time since November 8, 1987, or has unused design capacity
.
See
Section 220 .200(a) . A landfill meeting these conditions may either be inactive or be currently
accepting waste. Tr. at 14
.
If construction, reconstruction or modification commenced on or after May 30,
1991,
today's regulations are not applicable .
Rather, the landfill is subject to the requirements of 40

 
5
C.F.R. 60, Subpart WWW. See Section 220.200(b)
.
Subpart WWW, which is the codified
NSPS, is directly implemented in Illinois through the operation of Section 39
.5 of the Act. It
accordingly is not included in today's regulations
.
The definitions of "construction" and "modification," as used in Part 220, are the
definitions that occur at 35 Ill . Adm. Code 201 .102 and 35 Ill. Adm. 220 .110, respectively .
At first notice the proposal also contained the term "reconstruction" in the applicability
statement at Section 220.200(a) .
At second notice the term "reconstruction" was deleted in
Section 220.200(a), based on the observation that it is not defined anywhere in the Board's
regulations, and the Agency's belief that it is unnecessary since the concept of "reconstruction"
does not apply to any existing landfill that is subject to today's regulations
.
Tr. at 110
.
However, this term is in the NSPS definitions at 40 C .F.R. 60.15 and is retained in Section
220.200(b) because USEPA retained the term with regard to NSPS applicability
.
Tr. at 110 .
The Board notes that today's regulations apply statewide
.
In this context, they are
unlike some other air regulations that have applicability limited to certain geographic areas of
the state . The Board further notes that although the focus of the instant regulations
is on
municipal solid waste landfills, they also apply to landfills that contain waste that is a mix of
household waste and other types of waste such as commercial or industrial solid waste
.
Tr. at
108-109; definition of "municipal solid waste" at Section 220 .110 .
Provisions Based on Landfill Capacity and Ouantitv ofEmissions
Today's regulations distinguish between larger and smaller landfills, as measured by the
design capacity of the landfill
.
See definition of "design capacity" at Section 220.110 . The
design capacity threshold is 2.5 million megagrams (Mg) measured in mass units or 2 .5 million
cubic meters (m) measured in volume units .
Today's regulations further distinguish among
the larger landfills based on their annual emission rate
.
The threshold for the annual emissions
is 50 Mg/yr of NMOC gases
.
Owners or operators of landfills that fall below the 2 .5 million Mg or the 2.5 million
m3 design capacity threshold are required only to submit an initial design capacity report to
affirm that the landfill falls below that threshold
.
See Section 220.210(a) .
Owners or operators of landfills that are equal to or above the 2 .5 million Mg or the
2.5 million m 3 design capacity thresholds are required to file both periodic emission rate
reports and an initial design capacity report .
See Section 220.210(b) . In addition, if the
emission rate reports indicate that the emissions are equal to or in excess of the 50 Mg/yr
threshold, the owner or operator is required to install a gas collection and control system. See
Section 220.210(d)(1). The larger part of today's regulations provide specific design,
operation, recordkeeping, and reporting requirements for these gas collection and control
systems .
Relationship to Clean Air Act Permit Program (CAAPP)

 
6
In addition to imposing control requirements on municipal landfills, the NSPS and EG
rules trigger the applicability of Illinois' Clean Air Act Permit Program (CAAPP) requirements
and the Annual Emission Report requirements for certain landfills that are not currently subject
to these requirements . Reasons at 10
.
This triggering is a result of provisions in the NSPS
and EG, and are not a consequence of this instant rulemaking
.
Prior to the adoption of the NSPS and the EG, municipal landfill owners and operators
were only required to address the CAAPP relative to emissions of criteria pollutants and
individual hazardous air pollutants
. Under the NSPS and EG, NMOC is now included in the
definition of "regulated air pollutant" and "specified air contaminant," which in turn can cause
applicability of CAAPP, depending upon whether the design capacity is greater or less
than the
2.5 million Mg and 2 .5 million m3 thresholds .
The Agency notes that the instant regulations do not contain any explicit requirement
that affected sources obtain a CAAPP permit .
Reasons at 23 . This is based on the Agency's
belief that existing law at Section 39 .5 of the Act and the Board's regulations at 35
III. Adm .
Code 201 are already sufficient for this purpose
.
Reasons at 23
.
Affected Facilities
The Agency believes that approximately 47 landfills are affected by today's regulations
.
Tr. at 15. These include 21 facilities that fall below the 2 .5 million Mg or 25 million m3
thresholds and 26 facilities that fall above the threshold
. Tr . at 16. The Agency further
believes that all of the latter 26 facilities have emissions greater than 50 Mg/yr, and hence are
subject to the gas collection and control system requirements . Tr . at 16
.
However, 25' of the 26 facilities that are subject to the gas collection and control
system requirements already have installed or have been issued Agency permits to install such
equipment.' Tr. at 112 . The Agency believes that these 25 landfills are likely to be in
substantial compliance with today's rules
.
Tr. at 76-79
.
Timeframes for Compliance
3
At the time of the May 1, 1998, hearing, the Agency did not yet have information on three of
the 26 landfills . Tr. at 111 . It thus reported that to its best knowledge 23 landfills had already
installed or been issued permits for gas collection and control systems
.
See, for example, Tr
.
at 22 and 76 . This number was revised at the May 13, 1998, hearing to 25 of the landfills
based upon additional information having been received about the last three landfills
. Tr. at
112
.
Certain new and existing landfills are required to operate landfill gas collection systems
for
the control of explosive and malodorous gas emissions under the Board's solid waste disposal
regulations at 35 Ill. Adm. Code Subtitle G
.

 
7
Design capacity reports are required no later than October 29, 1998 (which is 90 days
after the July 31, 1998, effective date)
.
See Section 220.280(a). Emission rate reports, where
required, also must be filed initially by October 29, 1998 (which is 90 days after the July 31,
1998, effective date), and annually thereafter on June 1 of each year . See Section 220.280(b)
.
Any existing facility that is subject to the gas collection and control system
requirements must attain compliance according to the following additional deadlines
:
filing of construction permit application -- one year after reporting that
NMOC emissions exceed the 50 Mg/yr threshold (See Section 220 .280(c)) ;
installation of gas collection and control system
-- 30 months (2 .5 years) after
reporting that NMOC emissions exceed the 50 Mg/yr threshold (See Section
220.210(d)) ; and
performance testing and submission of results
-- 180 days (6 months) after
startup of gas collection and control system (See Section 220.280(e)) .
The Agency notes that these provisions are intended to provide the affected facilities sufficient
time to evaluate the status of the facilities with respect to the thresholds, determine the need for
gas collection and control equipment, install and calibrate the system to meet the provisions
of
the regulations, and provide the Agency with sufficient documentation to ensure that subject
sources are in compliance with the rules
.
Tr. at 20-21 .
Definitions
The definitions that are included in today's regulations are derived mostly from the
NSPS and EG, the Act, and the Board's existing air and solid waste regulations
.
As such, they
are generally standard definitions that do not differ in intent from already established
definitions . A few of the terms warrant additional comment
.
"Inactive Landfill" and "Closed Landfill"
The proposal at first notice contained a definition for "closed landfill" that was derived
from the NSPS . As the Board observed at the May 1, 1998, hearing, this definition would
have applied to a landfill that was no longer accepting waste, but which had not completed
closure requirements are required under the Board's solid waste regulations at 35 Ill
. Adm .
Code. Subtitle G. Tr. at 57-61 . It would have thus been possible to have a landfill
characterized as "closed" under the instant regulations that was not "closed" under other
portions of the Board's regulations. The Agency agreed. Tr. at 104 .
Accordingly, at second notice the Board replaced the first notice term "closed landfill"
with "inactive landfill." The definition of "inactive landfill" is the definition proposed by the

 
8
Agency at the May 13, 1998, hearing
.
Tr. 106; Hearing Exh. 1 at 2
. 5
The Board believes
that this new definition addresses the concerns raised by the original definition
.
In conformity
with the new definition, today's regulations also use the term "closed landfill"
in all pertinent
places within the text of Part 220
.
See Sections 220.210(c)(2), 220.270(e), 220 .280(c)(1), and
220.280(c)(2)
.
"Design Capacity" and "Modification"
The terms "design capacity" and "modification" as included in the instant regulations
derive from the proposed settlement in National Solid Wastes Management Association v
.
Browner, et al . Pet. Exh . 7; See Section 220 .110
.
Although both terms are defined in the
NSPS and EG, they have been amended in the settlement agreement
.
The Agency
recommends, and the Board agrees, that the amended terms are the appropriate terms for
inclusion in this rule. The Agency notes that because the settlement agreement is not yet
final,
it is committed to returning to the Board for additional amendments as necessary to assure
that
the Illinois rule conforms with the final USEPA regulations
.
Reasons at 4 .
Standards for Gas Collection and Control Systems
The standards for gas collection and control systems, as presented in today's
regulations at Sections 220.220 through 220.250, conform to the standards presented in the
federal NSPS and EG, as required under the CAA at Section 111
.
They are design, operation,
and work practice standards rather than performance standards .
A performance standard for
gas collection systems is not appropriate because it is not technologically feasible to measure
the amount of gas available for collection, rather only to estimate how much gas is produced
.
Reasons at 9 ; Pet. Exh. 2 at 24448 .
The design, operation, and work practice standards are based on utilizing best
demonstrated technology (BDT), which USEPA has defined for municipal solid waste landfills
at 61
Fed. Reg .
9907 (Pet. Exh. 1 at 9907) as
:
1)
a well-designed and well-operated gas collection system, and
2)
a control system achieving 98 percent reduction of landfill
emissions for municipal landfills with emissions equal to or
greater than 50 Mg/yr
.
A well-designed and well-operated gas collection system is further defined as
:
1)
being capable of handling the maximum expected gas generation
rate,
5 Exhibits introduced by the Agency during the two hearings held in this matter are cited
as
"Hearing Exh. _ at

 
9
2)
having a design capable of monitoring and adjusting the operation
of the system, and
3)
being able to collect gas effectively from all areas of the landfill
that warrant control .
BDT allows for either passive or active collection systems
.
The Agency anticipates that
most systems will be active systems
.
Reasons at 16. The simplest acceptable control system
consists of an open flare . Pet. Exh. 1 at 9907 .
USEPA notes that open flares are applicable to
all affected and designated facilities regulated by the EG
.
Pet. Exh. 1 at 9907. If an owner or
operator chooses to use an energy recovery system instead of a flare system, the device
must
demonstrate either 98% NMOC reduction or an outlet NMOC concentration of 20 parts per
million by volume (ppmv) or less .
Pet. Exh. 1 at 9907
.
Alternate Control Systems and Alternate Emissions Standards
Today's regulations include provisions that allow an owner or operator to install an
alternate gas collection and control system or a system that meets an alternate emissions
standard. See Sections 220.220(d) and (e) .
The owner or operator proposing to install an
alternative system must demonstrate that the system achieves a control level equivalent to the
specified systems and must obtain approval from the Agency
.
See Section 220.220(d) .
An owner or operator seeking an alternate emissions standard, or an alternate
compliance schedule for an emissions standard, must do so through the Board's adjusted
standard procedure pursuant to Section 28.1 of the Act or a variance pursuant to Section 35 of
the Act .
Monitoring, Testing, Reporting, and Recordkeeping Requirements
As with the other major provisions of today's action, the monitoring, testing,
and
reporting requirements specified in the regulations at Sections 220 .260 through 220.290 are
derived from and closely track the provisions of the NSPS and EG .
Among the noteworthy testing provisions is the three-tiered method for calculating
NMOC emissions at Section 220.260(a)
.
The three-tiered system allows owners or operators
the option of relying on a simple default calculation of estimated emissions or progressively
more elaborate estimation procedures .
The tier 1 method produces a relatively conservative
emissions estimate. Tr. at 116 . The tier 2 and tier 3 methods produce more precise estimates,
but are more demanding of data
.
The regulations include a requirement that when estimations of gas emissions are made
via either tier 2 or tier 3, the estimates must be reported to the Agency on an annual basis .
See
Section 220.280(c)(1). BFI in PC 2 has raised the question of whether the NSPS and EG allow
for reporting NMOC emission on a five-year schedule, rather than an annual schedule
. The
Agency has responded, and the Board agrees, that the NSPS and EG require annual reporting
.
Tr. at 115-117 .

 
10
ENVIRONMENTAL AND ECONOMIC CONSIDERATIONS
Landfill gas is produced within a landfill by microorganisms under anaerobic
conditions . It consists primarily of methane and carbon dioxide, with trace amounts of
NMOCs. The variety of NMOCs found in landfill gas are large, with as many as 100 different
species occurring . Pet. Exh. 1 at 9906 .
Among these NMOCs are compounds that have
specific health and welfare effects
.
Some NMOCs are volatile organic materials (VOM) that contribute to the formation of
ozone. Ozone is implicated in a wide range of adverse health effects, including alterations
in
pulmonary functions, aggravation of pre-existing respiratory disease, damage to lung
structures, and adverse effects on blood enzymes, the central nervous system,
and endocrine
systems. Pet. Exh. 2 at 24474 .
Ozone also has deleterious effects on welfare, including
reduced plant growth, decreased crop yield, necrosis of plant tissue, and deterioration of
certain synthetic materials such as rubber
.
Pet. Exh. 2 at 24474
.
The Agency estimates that the total uncontrolled VOM emissions from the 26 affected
landfills to be 2.15 tons per day, of which 1 .49 tons per day are in the Chicago Ozone
Nonattainment Area and 0.18 tons per day are in the Metro-East Ozone Nonattainment Area
.
Tr. at 39-40; Tech. Sup. Doc. at 12 .
The Agency calculates that the gas collection and control
systems required under today's rules provide a reduction in total VOM emissions from the 26
affected landfills down to 0 .57 tons per day, for a net reduction of 1 .1 tons per day in the
Chicago Ozone Nonattainment Area and 0 .13 tons per day in the Metro-East Ozone
Nonattainment Area. Tr. at 40; Tech Sup. Doc. at 12
.
Some NMOC emissions are hazardous air pollutants (HAPs), exposure to which can
cause effects including cancer, respiratory irritation, and damage to the nervous system. Pet .
Exh. 1 at 9905. Known or suspected carcinogens identified among landfill NMOC emissions
are benzene, carbon tetrachloride, chloroform, ethylene dichloride, methylene dichloride,
perchloroethylene, trichloroethylene, vinyl chloride, and vinylidene chloride
.
Pet. Exh. 2 at
24474. These and other landfill NMOCs have also been implicated in other, non-cancer health
effects. Pet. Exh. 2 at 24474 .
Another aspect of landfill NMOC emissions is offensive odor . The NMOCs are often
malodorous and unpleasant, and thereby produce various welfare impacts
.
Pet. Exh. 2 at
24474 .
The cost of the compliance with today's regulations should be relatively small because
all but one of the likely-affected landfills are already be in substantial compliance
with the
regulations. Tr. at 112. Although the Agency anticipates that some of the landfills will
require additional monitoring or slight modifications of existing or proposed gas collection
systems, it does not believe that these costs will be large
.
Tr. at 77-79
.

 
1 1
For a facility that does not have a gas collection system in place, some perspective on
the worst case costs can be obtained from consideration of the estimated cost of removal of a
ton of NMOC. The Agency and USEPA estimate, based on nationwide figures, that the
average cost for removal of a ton of NMOC is $1,216
.6 Tr. at 114. This figure is based on
installation of a gas collection and flaring system as the control mechanism, and is corrected to
1998 costs. Tr. at 114. The Agency observes that a figure in the range of $1,000 per ton for
removal of air pollutants is on the low side of costs associated with recent air pollution control
programs. Tr. at 80. Recent ozone reduction rules have been based on removal costs
in the
range of $3,500 to $5,000 per ton, and other air rules have had removal costs close to $10,000
per ton. Tr. at 80-81
.
CHANGES FROM SECOND NOTICE
At JCAR's request, some minor changes regarding the effective date of this regulation
have been made since second notice. JCAR requested these changes to make the regulation
easier to read. Specifically, in Sections 220.210(d)(2) and 220.230(b)(2) "within 39 months of
July 31, 1998, the effective date of this Part," has been replaced with "by October 31, 2001 ."
In Section 220 .280(a)(1), "90 days after July 31, 1998, the effective date of this Part,"
has
been replaced with "October 29, 1998 ."
Lastly, in Section 220.280(b)(1), the part which
reads "within 90 days after July 31, 1998, the effective date of this Part" has been replaced
with "by October 29, 1998 ."
CONCLUSION
Based on the record developed in this matter, the Board believes that adoption of the
amendments to 35 Ill . Adm. Code as herein discussed and previously sent to first and second
notices is warranted
.
ORDER
The Board directs that the following amendments be submitted to the Secretary of State
for final notice publication in
the Illinois
Register
pursuant to Section 5-40 of the Illinois
Administrative Procedure Act
:
TITLE 35: ENVIRONMENTAL PROTECTION
SUBTITLE B: AIR POLLUTION
CHAPTER I: POLLUTION CONTROL BOARD
SUBCHAPTER a: PERMITS AND GENERAL PROVISIONS
PART 201
6 At the May 1, 1998, hearing the Agency quoted a figure of $1,147 per ton, based on 1992
costs. At the May 13, 1998, hearing the Agency revised this figure to 1998 dollars
.
Tr. at
114
.

 
12
PERMITS AND GENERAL PROVISIONS
SUBPART A: DEFINITIONS
Section
201 .101
Other Definitions
201 .102
Definitions
201 .103
Abbreviations and Units
201 .104
Incorporations by Reference
SUBPART B: GENERAL PROVISIONS
Section
201 .121
Existence of Permit No Defense
201 .122
Proof of Emissions
201 .123
Burden of Persuasion Regarding Exceptions
201 .124
Annual Report
201 .125
Severability
201 .126
Repealer
SUBPART C: PROHIBITIONS
Section
201 .141
Prohibition of Air Pollution
201 .142
Construction Permit Required
201.143
Operating Permits for New Sources
201.144
Operating Permits for Existing Sources
201.146
Exemptions from State Permit Requirements
201.147
Former Permits
201.148
Operation Without Compliance Program and Project Completion Schedule
201.149
Operation During Malfunction, Breakdown or Startups
201 .150
Circumvention
201.151
Design of Effluent Exhaust Systems
SUBPART D: PERMIT APPLICATIONS AND REVIEW PROCESS
Section
201.152
Contents of Application for Construction Permit
201 .153
Incomplete Applications
201.154
Signatures
201.155
Standards for Issuance
201.156
Conditions
201.157
Contents of Application for Operating Permit
201.158
Incomplete Applications
201 .159
Signatures

 
13
201 .160
Standards for Issuance
201 .161
Conditions
201 .162
Duration
201 .163
Joint Construction and Operating Permits
201.164
Design Criteria
201.165
Hearings
201.166
Revocation
201.167
Revisions to Permits
201 .168
Appeals from Conditions
SUBPART E: SPECIAL PROVISIONS FOR OPERATING PERMITS FOR CERTAIN
SMALLER SOURCES
Section
201 .180
Applicability
201 .181
Expiration and Renewal
201.187
Requirement for a Revised Permit
SUBPART F: CAAPP PERMITS
Section
201 .207
Applicability
201 .208
Supplemental Information
201 .209
Emissions of Hazardous Air Pollutants
201 .210
Categories of Insignificant Activities or Emission Levels
201.211
Application for Classification as an Insignificant Activity
201.212
Revisions to Lists of Insignificant Activities or Emission Levels
SUBPART G: EXPERIMENTAL PERMITS
(Reserved)
SUBPART H: COMPLIANCE PROGRAMS AND PROJECT COMPLETION SCHEDULES
Section
201.241
Contents of Compliance Program
201.242
Contents of Project Completion Schedule
201.243
Standards for Approval
201.244
Revisions
201 .245
Effects of Approval
201 .246
Records and Reports
201 .247
Submission and Approval Dates
SUBPART I: MALFUNCTIONS, BREAKDOWNS OR STARTUPS
Section

 
14
201 .261
Contents of Request for Permission to Operate During a Malfunction,
Breakdown or Startup
201 .262
Standards for Granting Permission to Operate During a Malfunction,
Breakdown or Startup
201 .263
Records and Reports
201 .264
Continued Operation or Startup Prior to Granting of Operating Permit
201 .265
Effect of Granting of Permission to Operate During a Malfunction, Breakdown
or Startup
SUBPART J: MONITORING AND TESTING
Section
201.281
Permit Monitoring Equipment Requirements
201 .282
Testing
201.283
Records and Reports
SUBPART K: RECORDS AND REPORTS
Section
201.301
Records
201.302
Reports
SUBPART L: CONTINUOUS MONITORING
Section
201 .401
Continuous Monitoring Requirements
201 .402
Alternative Monitoring
201 .403
Exempt Sources
201 .404
Monitoring System Malfunction
201.405
Excess Emission Reporting
201.406
Data Reduction
201.407
Retention of Information
201.408
Compliance Schedules
201 .Appendix A
Rule into Section Table Appendix BSection into Rule Table Appendix
CPast Compliance Dates
AUTHORITY: Implementing Sections 10, 39, and 39 .5 and authorized by Section 27 of the
Environmental Protection Act [415 ILCS 5/10, 27, 39, and 39 .5]
.
SOURCE: Adopted as Chapter 2 : Air Pollution, Part I: General Provisions, in R71-23, 4 PCB
191, filed and effective April 14, 1972 ; amended in R78-3 and 4, 35 PCB 75 and 243, at 3 Ill
.
Reg.30, p. 124, effective July 28, 1979; amended in R80-5, at 7 Ill . Reg. 1244, effective
January 21, 1983 ; codified at 7 Ill . Reg. 13579; amended in R82-1 (Docket A) at 10 Ill. Reg .
12628, effective July 7, 1986 ; amended in R87-38 at 13 Ill. Reg. 2066, effective February 3,

 
15
1989; amended in R89-7(A) at 13 Ill . Reg. 19444, effective December 5, 1989; amended in
R89-7(B) at 15 Ill . Reg. 17710, effective November 26, 1991 ; amended in R93-11 at 17 Ill .
Reg. 21483, effective December 7, 1993; amended in R94-12 at 18 Ill . Reg. 15002, effective
September 21, 1994 ; amended in R94-14 at 18 Ill . Reg. 15760, effective October 17, 1994 ;
amended in R96-17 at 21111 . Reg. 7878, effective June 17, 1997 ; amended in R98-28 at
111
.
Reg
. , effective
SUBPART A: DEFINITIONS
Section 201.103
Abbreviations and Units
a)
The following abbreviations have been used in this Part
:
btu or Btu
British thermal units (60°F)
gal
gallons
hp
horsepower
hr
hour
gal/mo
gallons per month
gal/yr
gallons per year
kPa
kilopascals
kPa absolute kilopascals absolute
kW
kilowatts
I
liters
Mg megagrams
m3 cubic meters
mm or M
million
MW
megawatts; one million watts
NMOC nonmethane organic compounds
psi
pounds per square inch
psia
pounds per square inch absolute
yr year
(Source: Amended at _ Ill . Reg
. , effective )
SUBPART C: PROHIBITIONS
b)
The following conversion factors have been used in this Part
:
English
Metric
1 gal
3.7851
1000 gal
3.785 mfcubic mctcrs
1 hp
0.7452 kW
1 mmbtu/hr
0.293 MW
1 psi
6.897 kPa

 
16
Section 201 .146
Exemptions from State Permit Requirements
Construction or operating permits, pursuant to Sections 201 .142, 201 .143 and 201 .144 of this
Part, are not required for the classes of equipment and activities listed below in this Section
.
The permitting exemptions in this Section do not relieve the owner or operator of any source
from any obligation to comply with any other applicable requirements, including the obligation
to obtain a permit pursuant to Sections 9 .1(d) and 39.5 of the Act, Sections 165, 173 and 502
of the Clean Air Act or any other applicable permit or registration requirements
.
a)
Air contaminant detectors or recorders, combustion controllers or combustion
shutoffs ;
b)
Air conditioning or ventilating equipment not designed to remove air
contaminants generated by or released from associated equipment ;
c)
Each fuel burning emission unit for indirect systems and for heating and
reheating furnace systems used exclusively for residential, or commercial
establishments using gas and/or fuel oil exclusively with a design heat input
capacity of less than 14.6 MW (50 mmbtu/hr)
, except that a permit shall be
required for any such emission unit with a design heat input capacity of at least
10 mmbtu/hr that was constructed, reconstructed or modified after June 9, 1989
and that is subject to 40 CFR 60, Subpart D
;
d)
Each fuel burning emission unit other than those listed in subsection (c) of this
Section for direct systems used for comfort heating purposes and indirect
heating systems with a design heat input capacity of less than 2930 kW (10
mmbtu/hr) ;
e)
Internal combustion engines or boilers (including the fuel system) of motor
vehicles, locomotives, air craft, watercraft, lifttrucks and other vehicles
powered by nonroad engines
;
f)
Bench scale laboratory equipment and laboratory equipment used exclusively for
chemical and physical analysis, including associated laboratory fume hoods,
vacuum producing devices and control devices installed primarily to address
potential accidental releases ;
Coating operations located at a source using not in excess of 18,925 1 (5,000
gal) of coating (including thinner) per year
;
g)
h)
Any emission unit acquired exclusively for domestic use, except that a permit
shall be required for any incinerator and for any fuel combustion emission unit
using solid fuel with a design heat input capacity of 14.6 MW (50 mmbtu/hr) or
more ;

 
i)
Any stationary internal combustion engine with a rated power output of less than
1118 kW (1500 horsepower), except that a permit shall be required for any
stationary gas turbine engine with a rated heat input at peak load of 10
.7
gigajoules/hr (10 mmbtu/hr) or more that is constructed, reconstructed or
modified after October 3, 1977 and that is subject to requirements of 40 CFR
60, Subpart GG ;
Rest room facilities and associated cleanup operations, and stacks or vents used
to prevent the escape of sewer gases through plumbing traps
;
j)
k)
Safety devices designed to protect life and limb, provided that a permit is not
otherwise required for the emission unit with which the safety device is
associated ;
1)
Storage tanks for liquids for retail dispensing except for storage tanks that are
subject to the requirements of 35 Ill. Adm. Code 215 .583(a)(2), 218 .583(a)(2)
or 219.583(a)(2) ;
m)
Printing operations with aggregate organic solvent usage that never exceeds
2,839 1 (750 gal) per year from all printing lines at the source, including organic
solvent from inks, dilutents, fountain solutions and cleaning materials ;
n)
Storage tanks of:
1)
Organic liquids with a capacity of less than 37,850 1 (10,000 gal),
provided the storage tank is not used to store any material listed as a
hazardous air pollutant pursuant to Section 112(b) of the Clean Air Act,
and provided the storage tank is not subject to the requirements of 35 Ill
.
Adm. Code 215.583(a)(2), 218.583(a)(2) or 219.583(a)(2) ;
2)
Any size containing exclusively soaps, detergents, surfactants, waxes,
glycerin, vegetable oils, greases, animal fats, sweetener, corn syrup,
aqueous salt solutions or aqueous caustic solutions, provided an organic
solvent has not been mixed with such materials ; or
3)
Any size containing virgin or re-refined distillate oil, hydrocarbon
condensate from natural gas pipeline or storage systems, lubricating oil
or residual fuel oils
.
o)
Threaded pipe connections, vessel manways, flanges, valves, pump seals,
pressure relief valves, pressure relief devices and pumps ;
P)
17
Sampling connections used exclusively to withdraw materials for testing and
analyses
;

 
q)
18
All storage tanks of Illinois crude oil with capacity of less than 151,400 1
(40,000 gal) located on oil field sites
;
r)
All organic material-water single or multiple compartment effluent water
separator facilities for Illinois crude oil of vapor pressure of less than 34 .5 kPa
absolute (5 psia)
;
s)
Grain-handling operations, exclusive of grain-drying operations, with an annual
grain through-put not exceeding 300,000 bushels
;
t)
Grain-drying operations with a total grain-drying capacity not exceeding 750
bushels per hour for 5% moisture extraction at manufacturer's rated capacity,
using the American Society of Agricultural Engineers Standard 248 .2, Section
9, Basis for Stating Drying Capacity of Batch and Continuous-Flow Grain
Dryers ;
u)
Portable grain-handling equipment and one-turn storage space ;
v)
Cold cleaning degreasers that are not in-line cleaning machines, where the vapor
pressure of the solvents used never exceeds 2 kPa (15 mmHg or 0 .3 psi)
measured at 38°C (100°F) or 0 .7 kPa (5 mmHg or 0.1 psi) at 20°C (68°F) ;
w)
Coin-operated dry cleaning operations
;
x)
Dry cleaning operations at a source that consume less than 30 gallons per month
of perchloroethylene
;
y)
Brazing, soldering, wave soldering or welding equipment, including associated
ventilation hoods ;
z)
Cafeterias, kitchens, and other similar facilities, including smokehouses, used
for preparing food or beverages, but not including facilities used in the
manufacturing and wholesale distribution of food, beverages, food or beverage
products, or food or beverage components
;
aa)
Equipment for carving, cutting, routing, turning, drilling, machining, sawing,
surface grinding, sanding, planing, buffing, sand blast cleaning, shot blasting,
shot peening, or polishing ceramic artwork, leather, metals (other than
beryllium), plastics, concrete, rubber, paper stock, wood or wood products,
where such equipment is either :
1)
Used for maintenance activity ;
2)
Manually operated
;

 
19
3)
Exhausted inside a building ; or
4)
Vented externally with emissions controlled by an appropriately operated
cyclonic inertial separator (cyclone), filter, electro-static precipitor or a
scrubber .
bb)
Feed mills that produce no more than 10,000 tons of feed per calendar year,
provided that a permit is not otherwise required for the source pursuant to
Section 201 .142, 201.143 or 201 .144
;
cc)
Extruders used for the extrusion of metals, minerals, plastics, rubber or wood,
excluding
:
1)
Extruders used in the manufacture of polymers ;
2)
Extruders using foaming agents or release agents that contain volatile
organic materials or Class I or II substances subject to the requirements
of Title VI of the Clean Air Act; and
3)
Extruders processing scrap material that was produced using foaming
agents containing volatile organic materials or Class I or II substances
subject to the requirements of Title VI of the Clean Air Act .
dd)
Furnaces used for melting metals, other than beryllium, with a brim full
capacity of less than 450 cubic inches by volume
;
ee)
Equipment used for the melting or application of less than 22,767 kg/yr (50,000
lbs/yr) of wax to which no organic solvent has been added ;
ff)
Equipment used for filling drums, pails or other packaging containers, excluding
aerosol cans, with soaps, detergents, surfactants, lubricating oils, waxes,
vegetable oils, greases, animal fats, glycerin, sweeteners, corn syrup, aqueous
salt solutions or aqueous caustic solutions, provided an organic solvent has not
been mixed with such materials
;
Loading and unloading systems for railcars, tank trucks, or watercraft that
handle only the following liquid materials: soaps, detergents, surfactants,
lubricating oils, waxes, glycerin, vegetable oils, greases, animal fats, sweetener,
corn syrup, aqueous salt solutions or aqueous caustic solutions, provided an
organic solvent has not been mixed with such materials
;
gg)
hh)
Equipment used for the mixing and blending of materials at ambient
temperatures to make water based adhesives, provided each material mixed or
blended contains less than 5% organic solvent by weight ;

 
jj)
pp)
qq)
3)
Coin operated .
20
ii)
Die casting machines where a metal or plastic is formed under pressure in a die
located at a source with a throughput of less than
2,000,000
lbs of metal or
plastic per year, in the aggregate, from all die casting machines
;
Air pollution control devices used exclusively with other equipment that is
exempt from permitting, as provided in this Section ;
kk)
An emission unit for which a registration system designed to identify sources
and emission units subject to emission control requirements is in place, such as
the registration system found at
35 Ill .
Adm. Code
218.586
(Gasoline
Dispensing Operations
- Motor Vehicle Fueling Operations) and
35 Ill .
Adm .
Code
218,
Subpart HH (Motor Vehicle Refinishing) ;
11)
Photographic process equipment by which an image is reproduced upon material
sensitized to radiant energy
;
mm)
Equipment used for hydraulic or hydrostatic testing ;
nn)
General vehicle maintenance and servicing activities conducted at a source,
motor vehicle repair shops, and motor vehicle body shops, but not including
:
1)
Gasoline fuel handling ; and
2)
Motor vehicle refinishing
.
oo)
Equipment using water, water and soap or detergent, or a suspension of
abrasives in water for purposes of cleaning or finishing, provided no organic
solvent has been added to the water ;
Administrative activities including, but not limited to, paper shredding, copying,
photographic activities and blueprinting machines . This does not include
incinerators ;
Laundry dryers, extractors, and tumblers processing that have been cleaned with
water solutions of bleach or detergents that are
:
1)
Located at a source and process clothing, bedding and other fabric items
used at the source, provided that any organic solvent present in such
items before processing that is retained from cleanup operations shall be
addressed as part of the VOM emissions from use of cleaning materials
;
2)
Located at a commercial laundry ; or

 
2 1
rr)
Housekeeping activities for cleaning purposes, including collecting spilled and
accumulated materials, including operation of fixed vacuum cleaning systems
specifically for such purposes, but not including use of cleaning materials that
contain organic solvent
;
ss)
Refrigeration systems, including storage tanks used in refrigeration systems, but
excluding any combustion equipment associated with such systems ;
tt)
Activities associated with the construction, on-site repair, maintenance or
dismantlement of buildings, utility lines, pipelines, wells, excavations,
earthworks and other structures that do not constitute emission units ;
uu)
Piping and storage systems for natural gas, propane and liquefied petroleum gas
;
vv)
Water treatment or storage systems, as follows :
1)
Systems for potable water or boiler feedwater
;
2)
Systems, including cooling towers, for process water, provided that such
water has not been in direct or indirect contact with process streams that
contain volatile organic material or materials listed as hazardous air
pollutants pursuant to Section 112(b) of the Clean Air Act
.
ww)
Lawn care, landscape maintenance and grounds keeping activities
;
xx)
Containers, reservoirs or tanks used exclusively in dipping operations to coat
objects with oils, waxes or greases, provided no organic solvent has been mixed
with such materials ;
yy)
Use of consumer products, including hazardous substances as that term is
defined in the Federal Hazardous Substances Act (15 U .S.C. 1261 et seq.),
where the product is used at a source in the same manner as normal consumer
use ;
zz)
Activities directly used in the diagnosis and treatment of disease, injury or other
medical condition ;
aaa)
Activities associated with the construction, repair or maintenance of roads or
other paved or open areas, including operation of street sweepers, vacuum
trucks, spray trucks and other vehicles related to the control of fugitive
emissions of such roads or other areas ;
bbb)
Storage and handling of drums or other transportable containers, where the
containers are sealed during storage and handling
;

 
22
ccc)
Activities at a source associated with the maintenance, repair or dismantlement
of an emission unit or other equipment installed at the source, not including the
shutdown of the unit or equipment, including preparation for maintenance,
repair or dismantlement, and preparation for subsequent startup, including
preparation of a shutdown vessel for entry, replacement of insulation, welding
and cutting, and steam purging of a vessel prior to startup ;
ddd)
Equipment used for corona arc discharge surface treatment of plastic with a
power rating of
5 kW
or less or equipped with an ozone destruction device ;
eee)
Equipment used to seal or cut plastic bags for commercial, industrial or
domestic use; and
fff)
Each direct-fired gas dryer used for a washing, cleaning, coating or printing
line, excluding
:
1)
Dryers with a rated heat input capacity of
2930 kW (10
mmbtu/hr) or
more ; and
2)
Dryers for which emissions other than those attributable to combustion
of fuel in the dryer, including emissions attributable to use or application
of cleaning agents, washing materials, coatings or inks or other process
materials that contain volatile organic material are not addressed as part
of the permitting of such line, if a permit is otherwise required for the
line-; and
ggg)
Municipal solid waste landfills with a maximum total design capacity of less
than
2.5
million Mg or
2.5
million m3 that are not required to install a gas
collection and control system pursuant to
35 Ill.
Adm. Code
220
or
800
through
849
or Section
9.1
of the Act .
(Source: Amended at _ Ill. Reg
.
effective )
TITLE
35
:
ENVIRONMENTAL PROTECTION
SUBTITLE B: AIR POLLUTION
CHAPTER I: POLLUTION CONTROL BOARD
SUBCHAPTER c: EMISSION STANDARDS AND LIMITATIONS
FOR STATIONARY SOURCES
PART
220
NONMETHANE ORGANIC COMPOUNDS
SUBPART A: GENERAL PROVISIONS

 
Section
220.100
Purpose
220.110
Definitions
220.120
Abbreviations
220.130
Incorporations by Reference
23
SUBPART B: MSW LANDFILLS
Section
220.200
Applicability
220.210
Compliance Requirements and Schedule
220.220
Gas Collection System Requirements
220.230
Gas Control System Requirements
220.240
Compliance Procedures for Gas Collection Systems
220.250
Operational Standards for Collection and Control Systems
220.260
Test Methods and Procedures
220.270
Monitoring of Operations
220.280
Reporting Requirements
220.290
Recordkeeping Requirements
AUTHORITY
:
Implementing and authorized By Sections 4, 9.1, 27, and 28 .5 of the
Illinois Environmental Protection Act [415 ILCS 5/4, 9 .1, 27, and 28.5] .
SOURCE
:
Adopted at
Ill. Reg
.
, effective
SUBPART A: GENERAL PROVISIONS
Section 220 .100
Purpose
This Part contains emission control requirements for municipal solid waste
(MSW) landfills in
accordance with section 111(d) and subpart B of the Clean Air Act .
Section 220.110
Definitions
The definitions in this Section apply only to the provisions of this
Part .
Unless otherwise
defined herein and unless a different meaning of a term is clear from its context,
the definitions
of terms used in this Part shall have the meanings specified by 35 Ill
. Adm. Code 201 .102,
211, and 810.103 .
"Active collection system" means a gas collection system that uses gas mover
equipment .
"Active landfill" means a landfill in which solid waste is being placed or a landfill that
is planning to accept waste in the future
.

 
24
"Commercial waste" means all types of solid waste generated by stores, offices,
restaurants, warehouses, and other nonmanufacturing activities, excluding household
and industrial wastes
.
"Controlled landfill" means any landfill at which collection and control systems are
required under this Part as a result of the NMOC emission rate . The landfill is
considered controlled at the time an application for a construction permit for a
collection and control system is submitted to the Agency in compliance with Sections
220.220 and 220 .230 of this Part
.
"Design capacity" means the maximum amount of solid waste a landfill can accept, as
indicated in terms of volume or mass, as specified in the permit(s) issued pursuant to
Section 21(d) of the Act for the source plus any in-place waste not accounted for in the
permit(s) ; if no design capacity is specified in a permit, then the design capacity shall
be calculated using good engineering practices ; or if the landfill is closed pursuant to
the applicable regulations in 35 Ill . Adm. Code.Subtitle G, the actual capacity specified
in the closure plan. If the owner or operator chooses to convert the design capacity
from volume to mass or from mass to volume to demonstrate its design capacity is less
than 2.5 million Mg or 2 .5 million m', the calculation must include a site-specific
density, which must be recalculated annually
.
"Disposal facility" means all contiguous land and structures, and improvements on the
land used for the disposal of solid waste . Portions of the disposal facility may be
separated by access roads .
"Emission rate cutoff" means the threshold annual emission rate to which a landfill
compares its estimated emission rate to determine if control under this Part is required
.
"Enclosed combustor" means an enclosed firebox . Examples include, but are not
limited to, an enclosed flare, a boiler, and an internal combustion engine
.
"Flare" means an open combustor without enclosure or shroud
.
"Gas mover equipment" means the equipment (i.e., fan, blower, compressor) used to
transport landfill gas through the header system .
"Household waste" means any solid waste (including garbage, trash, and sanitary waste
in septic tanks) derived from households (including, but not limited to, single and
multiple residences, hotels and motels, bunkhouses, ranger stations, crew quarters,
campgrounds, picnic grounds, and day-use recreation areas)
.
"Inactive landfill" means a landfill in which solid waste is no longer being placed, and
that is no longer permitted to accept waste under Section 21 of the Act or has a
federally enforceable permit condition prohibiting the acceptance of additional waste
.
If an inactive landfill is subsequently permitted to accept additional waste and additional

 
25
solid waste is placed in the landfill, the landfill is no longer inactive
.
"Industrial waste" means solid waste generated by manufacturing or industrial
processes that is not a hazardous waste regulated under Subtitle C of RCRA, 40 CFR
264 and 265 . Such waste may include, but is not limited to, waste resulting from the
following manufacturing processes: electric power generation; fertilizer/agricultural
chemicals ; food and related products/by-products; inorganic chemicals; iron and steel
manufacturing; leather and leather products ; nonferrous metals
manufacturing/foundries; organic chemicals ; plastics and resins manufacturing ; pulp
and paper industry; rubber and miscellaneous plastic products ; stone, glass, clay, and
concrete products; textile manufacturing; transportation equipment; and water
treatment. This term does not include mining waste or oil and gas waste
.
"Interior well" means any well or similar collection component located inside the
perimeter of the landfill . A perimeter well located outside the landfilled waste is not an
interior well .
"Landfill" means an area of land or an excavation in which wastes are placed for
permanent disposal, and that is not a land application unit, surface impoundment, or an
underground injection well . For the purposes of this Part, landfills include waste piles
.
"Lateral expansion" means a horizontal expansion of the waste boundaries of an
existing MSW landfill . A lateral expansion is not a modification for the purposes of
filing an amended design capacity report pursuant to Section 220 .210(a) of this Part,
unless it results in an increase in the design capacity of the landfill
.
"Modification" means an increase in the permitted volume design capacity of the
landfill by either horizontal or vertical expansion
.
"Municipal solid waste (MSW)" means household waste
.
"Municipal solid waste (MSW) landfill" means an entire disposal facility or landfill in a
contiguous geographical space where household waste is placed in or on land . An
MSW landfill may also receive other types of RCRA Subtitle D wastes such as
commercial solid waste, nonhazardous sludge, conditionally exempt small quantity
generator waste, and industrial solid waste. Portions of an MSW landfill may be
separated by access roads. An MSW landfill may be publicly or privately owned or
operated
.
"Municipal solid waste (MSW) landfill emissions" means gas generated by
decomposition of organic waste deposited in an MSW landfill or derived from the
evolution of organic compounds in the waste
.
"Nondegradable waste" means any waste that does not decompose through chemical
breakdown or microbiological activity . Examples include, but are not limited to,

 
26
concrete, municipal waste combustor ash, and metals
.
"Nonmethane organic compounds (NMOC)" means nonmethane organic compounds,
as
measured according to the provisions of Section 220.260 of this Part
.
"Passive collection system" means a gas collection system that uses solely positive
pressure within the landfill to move the gas rather than using gas mover equipment
.
"Putrescible waste" means a solid waste that contains organic matter capable of being
decomposed by microorganisms so as to cause a malodor, gases, or other offensive
conditions, or which is capable of providing food for birds and vectors . Putrescible
wastes may form a contaminated leachate from microbiological degradation, chemical
processes, and physical processes
.
Putrescible waste includes, but is not limited to,
garbage, offal, dead animals, general household waste, and commercial waste
.
All
solid wastes that do not meet the definitions of inert or chemical wastes shall be
considered putrescible wastes .
"Sludge" means any solid, semisolid, or liquid waste generated from a municipal,
commercial, or industrial wastewater treatment plant, water supply treatment plant,
or
air pollution control facility, exclusive of the treated effluent from a wastewater
treatment plant
.
"Solid waste" means a waste that is defined as an inert waste, as a putrescible waste,
as
a chemical waste or as a special waste, and which is also not defined as a hazardous
waste pursuant to 35 Ill . Adm. Code 721 .
"Sufficient density" means any number, spacing, and combination of collection system
components, including vertical wells, horizontal collectors, and surface collectors,
necessary to maintain emission and migration control as determined by measures of
performance set forth in this Part
.
"Sufficient extraction rate" means a rate sufficient to maintain a negative pressure at
all
wellheads in the collection system without causing air infiltration, including any
wellheads connected to the system as a result of expansion or excess surface emissions,
for the life of the blower
.
Section 220.120
Abbreviations
Act
Illinois Environmental Protection Act
Agency
Illinois Environmental Protection Agency
Board
Illinois Pollution Control Board
°C
degrees Celsius or centigrade
cm
centimeters
CAAPP
Clean Air Act Permit Program
°F
degrees Fahrenheit

 
27
hr
hours
m
meters
m3
cubic meters
Mg
megagrams
mmbtu
million British thermal units
MSW
municipal solid waste
MW
megawatt; 1 million watts
NMOC
nonmethane organic compounds
NOx
nitrogen oxides
ppm
parts per million
ppmv
parts per million by volume
RCRA
Resource Conservation and Recovery Act
SIP
State Implementation Plan
USEPA
United States Environmental Protection Agency
VOC
volatile organic compounds
VOM
volatile organic material
yr
years
Section 220 .130
Incorporations by Reference
The following materials are incorporated by reference
.
These incorporations by
reference do not include any later amendments or
editions .
a)
Section 4 of Method 2E : Determination of Landfill Gas ; Gas Production Flow
Rate, 40 CFR 60, Appendix A (61 Fed. Reg. 9929 (March 12, 1996)) .
b)
Method 25C: Determination of Nonmethane Organic Compounds (NMOC) in
MSW Landfill Gases, 40 CFR 60, Appendix A (61 Fed . Reg. 9929 (March 12,
1996)) .
c)
Compilation of Air Pollutant Emission Factors (AP-42) the Technical Support
Division of OAQPS, EPA, MD-14, Research Triangle Park, NC 27711 (1997)
.
d)
Sections 3, 3.1 .3, 4 .2, 4.3.1, and 4.4 of Method 21 of Appendix A, 40 CFR 60
(1997)
.
e)
Method 3C, Appendix A, 40 CFR 60 (1997)
.
f)
Method 3A, Appendix A, 40 CFR 60 (1997)
.
g)
Method 18, Appendix A, 40 CFR 60 (1997) .
h)
General Control Device Requirements, 40 CFR 60 .18 (1997) .
SUBPART B: MSW LANDFILLS

 
Section 220.200
Applicability
28
a)
Except as provided in subsection (b) of this Section, an owner or operator of an
MSW landfill for which construction or modification commenced before May
30, 1991, is subject to the requirements of this Subpart if the landfill has
accepted waste at any time since November 8, 1987, or has additional design
capacity available for future waste deposition .
b)
Any MSW landfill that commenced construction, reconstruction, or modification
on or after May 30, 1991, is subject to the requirements of 40 CFR 60, Subpart
WWW, in lieu of the requirements of this Part
.
Section 220.210
Compliance Requirements and Schedule
a)
Each owner or operator of an MSW landfill having a design capacity less than
2.5 million Mg by mass or 2.5 million m3 by volume shall submit an initial
design capacity report to the Agency as provided in Section 220 .280(a) of this
Subpart. The owner or operator may calculate design capacity in either Mg or
m' for comparison with the exemption values . Any density conversions shall be
documented and submitted with the report . If the landfill is subsequently
modified, then the owner or operator shall submit to the Agency an amended
design capacity report as provided for in Section 220 .280(a)(3) of this Subpart .
Submittal of an initial design capacity report and, if applicable, an amended
design capacity report shall fulfill the requirements of this Subpart
. Pursuant to
Section 220.200(b) of this Subpart, modification of an MSW landfill will subject
it to the requirements of 40 CFR 60, Subpart WWW
.
b)
An owner or operator of an MSW landfill having a design capacity equal to or
greater than 2 .5 million Mg and 2.5 million m' shall submit an initial design
capacity report and initial emissions rate report to the Agency, as provided in
Section 220.280(a) and (b) of this Subpart, and comply with either subsection
(c) or (d) of this Section .
c)
For MSW landfills with an NMOC emissions rate less than 50 Mg/yr, the
owner or operator shall
:
1)
Submit an emission rate report, as provided by Section 220 .280(b) of
this Subpart, to the Agency; and
2)
Recalculate the NMOC emission rate using the procedures specified in
Section 220.260(a) of this Subpart until such time as the calculated
NMOC emission rate is equal to or greater than 50 Mg/yr, at which time
the provisions of subsection (d) of this Section shall apply, or the landfill
is inactive .

 
d)
For MSW landfills with emissions equal to or greater than 50 Mg/yr, calculated
pursuant to Section 220 .260(a) of this Subpart, within 30 months after the date
when the first annual NMOC emission rate report equals or exceeds 50 Mg/yr,
an owner or operator shall :
1)
Install and operate
:
A)
A gas collection and control system meeting the gas collection
system and control requirements of Sections 220 .220 and 220.230
of this Subpart ; or
B)
An alternate gas collection and control system using alternate
procedures for gas collection and control, determining
compliance, monitoring, operation, testing, recordkeeping, or
reporting instead of those provided for in this Subpart, as
approved by the Agency or Board, as meeting the requirements in
Section 220.220(d) or (e), or Section 220.230(d) or (e) of this
Subpart. Such alternate system shall be effective only when
included in a federally enforceable permit or approved as a SIP
revision
.
2)
Certify compliance : Within 6 months of initial startup or upon change in
method of compliance, or by October 31, 2001, whichever is later, the
owner or operator of an MSW landfill subject to the control requirements
of this Subpart must certify compliance with the requirements of this
Subpart by submitting to the Agency the following
:
A)
A description of the gas collection and control system used
;
B)
The date the system was installed ; and
C)
A demonstration that the control system meets the requirements
of Section 220.230 of this Subpart :
i)
For active collection systems: the reduction efficiency or
ppmv must be established by a performance test using the
test methods required pursuant to Section 220.260(d) of
this Subpart; or
ii)
For open flares: compliance with the requirements of 40
CFR 60.18, incorporated by reference in Section 220 .130
of this Part, must be established
.
29
Section 220.220
Gas Collection System Requirements

 
30
a)
Each owner or operator of an MSW landfill having a design capacity equal to or
greater than 2.5 million Mg and 2.5 million m3 , and a calculated NMOC
emission rate equal to or greater than 50 Mg/yr, must install and operate a gas
collection system that meets the requirements of either subsection (b), (c), (d),
or (e) of this Section and :
1)
Handles maximum expected gas flow rate from the entire area of the
MSW landfill that warrants control pursuant to subsection (b)(1)(D) of
this Section for the period required in Section 220 .250(h) of this Subpart,
as calculated pursuant to Section 220 .240(a) of this Subpart
;
2)
Collects gas from each area, cell, or group of cells in the landfill in
which the initial solid waste has been placed for a period of
:
A)
5 years or more, if active ; or
B)
2 years or more if closed or at final grade ;
3)
Is designed to minimize off-site migration of subsurface gas
;
4)
Routes all the collected gas to a control system that complies with the
requirements in Section
220.230
of this Subpart; and
5)
Collects and treats gas in accordance with the applicable requirements of
35
Ill. Adm. Code.Subtitle G .
b)
Active Collection Systems
:
1) Active collection wells, horizontal collectors, surface collectors, or other
extraction devices shall be sited at a sufficient density throughout all gas
producing areas using the following procedures :
A)
The collection devices within the interior and along the perimeter
areas shall be designed to achieve comprehensive control of
surface gas emissions .
B)
The sites for gas collection devices, as determined in subsection
(b)(1)(A) of this Section, shall address landfill gas migration
issues and augmentation of the collection system through the use
of active or passive systems at the landfill perimeter or exterior
.
C)
Collect gas at a sufficient extraction rate, as defined at Section
220.110
of this Part
.

 
3 1
D)
The placement of gas collection devices determined in subsection
(b)(1)(A) of this Section shall control all gas producing areas,
except as provided by this subsection (b)(1)(D) .
i)
Any segregated area of asbestos or nondegradable material
may be excluded from collection, if documented as
provided under Section 220.280(f)(3) of this Subpart. The
documentation shall provide the nature, date of
deposition, location and amount of asbestos or
nondegradable material deposited in the area, and shall be
provided to the Agency upon request
.
ii)
Any nonproductive area of the landfill may be excluded
from control provided that the total of all excluded areas
can be shown to contribute less than 1 percent of the total
amount of NMOC emissions from the landfill. The
amount, location, and age of the material shall be
documented and provided to the Agency upon request . A
separate NMOC emissions estimate shall be made for each
section proposed for exclusion, and the sum of all such
sections shall be compared to the NMOC emissions
estimate for the entire landfill, as calculated pursuant to
Section 220.260 of this Subpart. Emissions from each
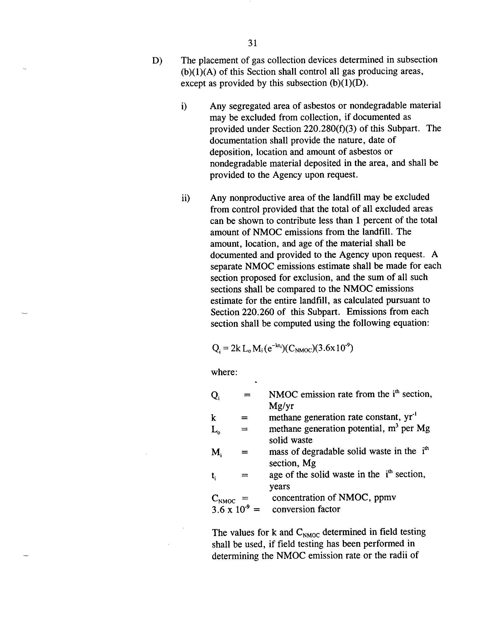
section shall be computed using the following equation :
Q; = 2k LoM ;
(e
"')(CNMOC)(3.6x 10"9)
where
:
Q
=
NMOC emission rate from the i'h section,
Mg/yr
k
=
methane generation rate constant, yr"
Lo
=
methane generation potential, m3 per Mg
solid waste
M ;
=
mass of degradable solid waste in the i' h
section, Mg
t;
=
age of the solid waste in the i" section,
years
CNMOC =
concentration of NMOC, ppmv
3.6 x 10"
9
=
conversion factor
The values for k and CNMOC determined in field testing
shall be used, if field testing has been performed in
determining the NMOC emission rate or the radii of

 
32
influence (the distance from the well center to a point in
the landfill where the pressure gradient applied by the
blower or compressor approaches zero)
.
If field testing
has not been performed, the default values for k, L o
, and
Cr,MOC
provided in Section 220 .260(a)(1) of this Subpart
shall be used. The mass of nondegradable solid waste
contained within the given section may be subtracted from
the total mass of the section when estimating emissions,
provided the nature, location, age and amount of the
nondegradable material is documented
.
2)
The gas collection devices shall be constructed using the following
equipment or procedures :
A)
The landfill gas extraction components shall be constructed of
polyvinyl chloride (PVC),
high
density polyethylene (HDPE)
pipe, fiberglass, stainless steel, or other nonporous corrosion
resistant material of suitable dimensions to convey projected
amounts of gases; withstand installation, static, and settlement
forces; and withstand planned overburden or traffic loads
. The
collection system shall extend as necessary to comply with
emission and migration standards
.
Collection devices, such as
wells and horizontal collectors, shall be perforated to allow gas
entry without head loss sufficient to impair performance across
the intended extent of control . Perforations shall be situated with
regard to the need to prevent excessive air infiltration
.
B)
Vertical wells shall be placed so as not to endanger underlying
liners and shall address the occurrence of water within the
landfill. Holes and trenches constructed for piped wells and
horizontal collectors shall be of sufficient cross-section so as to
allow for their proper construction and completion including, for
example, centering of pipes and placement of gravel backfill
.
Collection devices shall be designed so as not to allow indirect
short circuiting of air into the cover, refuse into the collection
system or gas into the air. Any gravel used around pipe
perforations should be of a dimension so as not to penetrate or
block perforations
.
C)
Collection devices may be connected to the collection header
pipes below or above the landfill surface
. The connector
assembly shall include a positive closing throttle valve, any
necessary seals and couplings, access couplings and at least one
sampling port . The collection devices shall be constructed of
PVC, HDPE, fiberglass, stainless steel, or other nonporous

 
c)
Passive Collection Systems
:
1)
A passive collection system shall be installed with liners on the bottom
and all sides in all areas in which gas is to be collected . The liners shall
meet all requirements specified in 35 Ill . Adm. Code 811.306 .
2)
The collection and control system shall either conform with the
specifications for active collection systems in subsection (a) of this
Section or the owner or operator must obtain the Agency's approval for
alternate provisions as provided for in subsection (d) of this Section
.
d)
Alternate Collection Systems
:
e)
Alternate Emissions Standard :
33
material of suitable thickness
.
3)
The landfill gas shall be conveyed to a gas control system through the
collection header pipe(s) . The gas mover equipment shall be sized to
handle the maximum gas generation
flow
rate expected for the period of
intended use pursuant to Section 220 .250(h) of this Subpart using the
following procedures
:
A)
For existing gas collection systems, the
flow
data shall be used to
project the maximum
flow
rate. If no
flow
data exists, the
procedures in subsection (b)(3)(B) of this Section shall be used
.
B)
For new gas collection systems, the maximum
flow
rate shall be
in accordance with Section 220 .240(a) of this Subpart .
An owner or operator seeking to install an alternate gas collection system shall
demonstrate to the Agency that such collection system is capable of capturing
the maximum expected gas
flow
rate from the entire area of the MSW landfill,
for the period required in Section 220 .250(h) of this Subpart, as calculated
pursuant to Section 220 .240(a) of this Subpart, and in an equivalent manner to
that required by this Section. Any alternate gas collection system must be
approved by the Agency. Such alternate shall be effective only when included
in a federally enforceable permit or approved as a SIP revision . The alternate
shall include any alternate procedures for collection, control, compliance,
monitoring, operation, testing, reporting, and recordkeeping that are
appropriate
.
Pursuant to Section 28.1 of the Act [415 ILCS 5/28 .1], and in accordance with
35 Ill. Adm. Code 106, Subpart G, provisions for adjusted standards, adjusted
standards for alternate emissions standards or alternate emissions standards with

 
34
an alternate compliance schedule shall be granted by the Board, to the extent
consistent with federal law. An owner or operator seeking an alternate
emissions standard or an alternate emissions standard with an alternate
compliance schedule must demonstrate to the Board that, with respect to the
MSW landfill, the control requirements meet one or more of the criteria listed in
this subsection (e) pursuant to 40 CFR 60.24(f). Any such request must be
approved by the Board. Such alternate shall be effective only when included in
a federally enforceable permit or approved as a SIP revision. Any alternate
shall include any procedures for collection, control, compliance, monitoring,
operation, testing, reporting and recordkeeping that are appropriate and a
demonstration that the control requirements, as contained in this Subpart, as
they apply to the MSW landfill, meet one or more of the following criteria
:
1)
Unreasonable cost of control resulting from plant age, location, or basic
process design ;
2)
Physical impossibility of installing necessary control equipment ; or
3)
Other factors specific to the MSW landfill that support an alternate
emissions standard or alternate emissions standard with final compliance
date .
Section 220.230
Gas Control System Requirements
Each owner and operator of an MSW landfill subject to the control requirements of this
Subpart must install and operate a gas collection system that routes all the collected gas to a
gas control system that complies with the requirements in subsection (f) and either install a gas
control system, as described in either subsection (a), (b), or (c) of this Section, or obtain
approval of and install an alternate gas control system pursuant to subsection (d) or (e) of this
Section .
a)
An open flare designed and operated in accordance with 40 CFR 60 .18,
incorporated by reference in Section 220 .130 of this Part .
b)
A control system designed and operated to reduce NMOC by 98 weight-percent,
or, when an enclosed combustion device is used for control, to either reduce
NMOC by 98 weight-percent or reduce the outlet NMOC concentration to less
than 20 ppmv, dry basis as hexane at 3 percent oxygen. The reduction
efficiency or ppmv must be established by an initial performance test required
pursuant to Section 220.210(d)(2), using the test methods required under Section
220.260(d) of this Subpart :
1)
If a boiler or process heater is used as the control device, the landfill gas
stream shall be introduced into the flame zone
.

 
3 5
2)
The control device shall be operated within the parameter ranges
established during the initial or most recent performance test . The
operating parameters to be monitored are specified in Section 220 .270 of
this Subpart. The initial performance test must be performed within 6
months after startup or by October 31, 2001, whichever is later
.
c)
A treatment system that processes the collected gas for subsequent sale or use
.
All emissions from any atmospheric vent from the gas treatment system shall be
subject to the requirements of subsection (b) of this Section
.
d)
An alternate gas control system approved by the Agency
.
An owner or operator
seeking to install an alternate gas control system shall demonstrate to the
Agency that such collection system is capable of control equivalent to subsection
(b) of this Section. Such alternate shall be effective only when included in a
federally enforceable permit or approved as a SIP revision
.
The alternate shall
include any alternate procedures for collection, control, compliance,
monitoring, operation, testing, reporting, and recordkeeping that are
appropriate .
e)
Pursuant to Section 28 .1 of the Act [415 ILCS 5/28.1], and in accordance with
35 Ill. Adm. Code 106, Subpart G, provisions for adjusted standards, adjusted
standards for alternate emissions standards or alternate emissions standards with
an alternate compliance schedule shall be granted by the Board, to the extent
consistent with federal law. An owner or operator seeking an alternate
emissions standard or an alternate emissions standard with an alternate
compliance schedule must demonstrate to the Board that, with respect to the
MSW landfill, the control requirements meet one or more of the criteria listed in
this subsection (e), pursuant to 40 CFR 60 .24(f). Any such request must be
approved by the Board. Such alternate shall be effective only when included in
a federally enforceable permit or approved as a SIP revision
.
Any alternate
shall include any procedures for collection, control, compliance, monitoring,
operation, testing, reporting, and recordkeeping that are appropriate and a
demonstration that the control requirements as contained in this Subpart, as they
apply to the MSW landfill, meet one or more of the following criteria :
1)
Unreasonable cost of control resulting from plant age, location, or basic
process design;
2)
Physical impossibility of installing necessary control equipment ; or
3)
Other factors specific to the MSW landfill that support an alternate
emissions standard or alternate emissions standard with final compliance
date
.
f)
Gas control systems must be operated in accordance with a permit issued

 
36
pursuant to the applicable requirements of 35 Ill. Adm. Code .Subtitle G .
Section 220.240
Compliance Procedures for Gas Collection Systems
a)
The methods specified in subsections (a)(1) through (a)(6) of this Section shall
be used to determine whether the gas collection system is in compliance with
Section 220.220 of this Subpart .
1)
To calculate the maximum expected gas generation flow rate from the
MSW landfill, one of the following equations shall be used
.
The k and
L
n
kinetic factors shall be those published in the Compilation of Air
Pollutant Emission Factors (AP-42) incorporated by reference in Section
220.130 of this Part, or other site-specific emission factors approved by
the Agency. If k has been determined as specified in Section
220.260(a)(4) of this Subpart, the value of k determined from the test
shall be used . A value of no more than 15 years shall be used for the
intended use period of the gas mover equipment, the variable t
.
The
active life of the landfill is the age of the landfill plus the estimated
number of years until closure .
A)
For sites with unknown year-to-year solid waste acceptance rate
:
Qm
= 2L0R(e
k`
-ekt)
where :
Qm
=
maximum expected gas generation flow rate, m 3/yr
L
p
=
methane generation potential, m 3 per Mg solid
waste
R
=
average annual acceptance rate, Mg/yr
k
=
methane generation rate constant,
yr'
t
=
age in years of the landfill at equipment installation
plus time the owner or operator intends to use the
gas mover equipment or active life of the landfill,
whichever is less. If the equipment is installed
after closure, t in years is the age of the landfill at
installation
c
=
time since closure, years (for an active landfill c =
0 and e-"=1)
B)
For sites with known year-to-year solid waste acceptance rates :
n
Qm
=1 2 kLo M; (e
kl')

 
where
:
Q
m
=
maximum expected gas generation flow rate, m
3/yr
k
=
methane generation rate constant, yr'
Lo
=
methane generation potential, m 3 per Mg solid
waste
M ;
=
mass of solid waste in the i' section, Mg
t;
=
age of the i`h section, yr
C)
If a collection and control system has been installed, actual flow
data may be used to project the maximum expected gas generation
flow rate instead of, or in conjunction with, the equations in
subsections (a)(1)(A) and (a)(1)(B) of this Section. If the landfill
is still accepting waste, the actual measured flow data will not
equal the maximum expected gas generation rate, so calculations
made using the equations in subsection (a)(1)(A) or (a)(1)(B) of
this Section or other methods shall be used to predict the
maximum gas generation rate over the intended period of use of
the gas control system equipment
.
2)
For the purpose of determining the sufficient number of gas collectors,
the owner or operator shall design a system of vertical wells, horizontal
collectors, or other type of collection device, capable of controlling and
extracting gas from all portions of the landfill sufficient to meet the
operational and performance standards of Sections 220 .220 through
220.250. Such design must be approved by the Agency as part of an air
construction permit or a CAAPP permit, if the gas collection system was
installed prior to July 31, 1998 .
3)
For the purpose of demonstrating whether the gas collection system flow
rate of an active collection system is sufficient, the owner or operator
shall measure gauge pressure in the gas collection header at each
individual well monthly . If positive pressure exists, action shall be
initiated to correct the exceedence within 5 calendar days, except for the
three conditions allowed under Section 220 .250(b) of this Subpart . If
negative pressure cannot be achieved without excess air infiltration
within 15 calendar days after the first measurement, the gas collection
system shall be expanded to correct the exceedence within 120 days after
the initial measurement of positive pressure . Any attempted corrective
measure must not cause exceedences of other operational or performance
standards. An alternate timeline for correcting the exceedence may be
submitted to the Agency for approval
.
37

 
38
4)
Owners or operators are not required to expand the system, as required
in subsection (a)(3) of this Section, during the first 180 days after gas
collection system startup
.
5)
For purposes
of
identifying whether excess air infiltration into the
landfill is occurring, the owner or operator shall monitor each well on a
monthly basis for temperature and nitrogen or oxygen, as provided in
Section 220.250(c) of this Subpart. If a well exceeds one of these
operating parameters, action shall be initiated to correct the exceedence
within 5 calendar days . If correction of the exceedence cannot be
achieved within 15 calendar days after the first measurement, the gas
collection system shall be expanded to correct the exceedence within 120
days after the initial exceedence. An alternate timeline for correcting the
exceedence may be submitted to the Agency for approval
.
6)
An owner or operator using a collection system that does not conform to
the specifications provided in Section 220.220(b) or (c) of this Subpart
shall provide information satisfactory to the Agency, as specified in
Section 220.220(d) of this Subpart, demonstrating that off-site migration
is being controlled
.
b)
To comply with the operational standards in Section 220 .250(a) of this Subpart,
each owner or operator of a controlled landfill shall install each well or design
component as specified in a construction permit issued by the Agency. Each
well shall be installed no later than 60 days after the date on which the initial
solid waste has been in place for a period of :
1)
5 years or more if active; or
2)
2 years or more if closed or at final grade
.
c)
The following procedures shall be used for compliance with the surface methane
operational standard as provided in Section 220.250(d) .of this Subpart .
1)
After installation of the collection system, the owner or operator shall
monitor surface concentrations of methane along the entire perimeter of
the collection area and along a pattern that traverses the landfill at 30-
meter intervals (or site-specific established spacing) for each collection
area on a quarterly basis using an organic vapor analyzer, flame
ionization detector, or other portable monitor meeting the specifications
provided in subsection (d) of this Section .
2)
The background concentration shall be determined by moving the probe
inlet upwind and downwind outside the boundary of the landfill at a
distance of at least 30 meters from the perimeter wells
.

 
39
3)
Surface emission monitoring shall be performed in accordance with
section 4 .3.1 of Method 21 of Appendix A, 40 CFR 60, incorporated by
reference in Section 220.130 of this Part, except that the probe inlet shall
be placed within 5 to 10 cm of the ground . Monitoring shall be
performed during typical meteorological conditions
.
4)
Any reading of 500 ppm or more above background at any location shall
be recorded as a monitored exceedence and the actions specified in
subsections (c)(4)(A) through (c)(4)(E) of this Section shall be taken. As
long as the actions specified below are taken, the exceedence is not a
violation of the operational requirements of Section 220.250(d) of this
Subpart .
A)
The location of each monitored exceedence shall be marked and
the location recorded .
B)
Cover maintenance or adjustments to the vacuum of the adjacent
wells to increase the gas collection in the vicinity of each
exceedence shall be made and the location shall be remonitored
within 10 calendar days after detecting the exceedence
.
C)
If the remonitoring of the location shows a second exceedence,
additional corrective action shall be taken and the location shall
be monitored again within 10 days after the second exceedence
.
If the remonitoring shows a third exceedence for the same
location, the action specified in subsection (c)(4)(E) of this
Section shall be taken. No further monitoring of that location is
required until the action specified in subsection (c)(4)(E)
of this
Section has been taken .
D)
If the remonitoring of the location does not show an exceedence,
as specified by subsection (c)(4)(B) or (c)(4)(C), the location shall
be remonitored 1 month from the initial exceedence . If the 1
month remonitoring shows a concentration less than 500 ppm
above background, no further monitoring of that location is
required until the next quarterly monitoring period. If the 1
month remonitoring shows an exceedence, the actions specified in
subsection (c)(4)(C) or (c)(4)(E) of this Section, as appropriate,
shall be taken .
E)
For any location where there are three monitored exceedences
within a quarterly period, a new well or other collection device
shall be installed within 120 calendar days after the initial
exceedence. An alternate remedy to the exceedence, such as

 
40
upgrading the blower, header pipes, or control device, and a
corresponding timeline for installation may be submitted to the
Agency for approval .
5)
The owner or operator shall implement a program to monitor for cover
integrity and implement cover repairs as necessary on a monthly basis
.
d)
The following instrumentation specifications and procedures for surface
emission monitoring devices apply to the monitoring required by subsection(c)
of this Section
:
1)
The portable analyzer shall meet the instrument specifications provided
in Section 3, Method 21, Appendix A, 40 CFR 60, incorporated by
reference in Section 220 .130 of this Part, except that methane shall
replace all references to VOC
.
2)
The calibration gas shall be methane, diluted to a nominal concentration
of 500 ppm in air .
3)
To meet the performance evaluation requirements in Section 3
.1 .3,
Method 21, Appendix A, 40 CFR 60, incorporated by reference in
Section 220.130 of this Part, the instrument evaluation procedures of
Section 4.4 of Method 21, Appendix A, 40 CFR 60, incorporated by
reference in Section 220.130 of this Part, shall be used .
4)
The calibration procedures provided in Section 4 .2, Method 21,
Appendix A, 40 CFR 60, incorporated by reference in Section 220 .130
of this Part, shall be followed immediately before commencing a surface
monitoring survey .
e)
The MSW landfill owners or operators are required to comply with the
provisions of this Subpart at all times, except during periods of start-up,
shutdown, or malfunction, provided that the duration of start-up, shutdown, or
malfunction must not exceed 5 days for collection systems and must not exceed
1 hour for treatment or control devices
.
Section 220.250
Operational Standards for Collection and Control Systems
Each owner or operator of an MSW landfill with a gas collection and control system shall
:
a)
Operate the collection system such that gas is collected from each area, cell, or
group of cells in the MSW landfill in which the initial solid waste has been in
place for
:
1)
5 years or more if active ; or

 
4 1
2)
2 years or more if closed or at final grade .
b)
Operate the collection system with negative pressure at each wellhead except
under the following conditions
:
1)
A fire or increased well temperature . The owner or operator shall
record instances when positive pressure occurs in efforts to avoid a fire
.
These records shall be submitted with the annual reports as provided in
Section 220 .280(e)(1) of this Subpart
.
2)
Use of a geomembrane or synthetic cover . The owner or operator shall
develop pressure limits associated with such a cover that must be
approved by the Agency
.
3)
A decommissioned well . A well may experience a static positive
pressure after shut down to accommodate for declining flows . All design
changes shall be approved by the Agency .
c)
Operate each interior wellhead in the collection system with a landfill gas
temperature less than 55°C (131°F) and with either a nitrogen level less than 20
percent or an oxygen level less than 5 percent. The owner or operator may
establish a higher operating temperature, nitrogen, or oxygen value at a
particular well. A higher operating value demonstration that provides
supporting data to show that the elevated parameter does not cause fires or
significantly inhibit anaerobic decomposition by killing methagens must be
approved by the Agency before such higher operating value may be used .
Operating values shall be determined as follows :
1)
The nitrogen level shall be determined using Method 3C, Appendix A,
40 CFR 60, incorporated by reference in Section 220 .130 of this Part .
2)
The oxygen level shall be determined by an oxygen meter using Method
3A, Appendix A, 40 CFR 60, incorporated by reference in Section
220.130 of this Part, except that
:
A)
The span shall be set so that the regulatory limit is between 20
and 50 percent of the span ;
B)
A data recorder is not required ;
C)
Only two calibration gases are required, a zero and span, and
ambient air may be used as the span ;
D)
A calibration error check is not required ; and

 
g)
42
E)
The allowable sample bias, zero drift, and calibration drift are
plus or minus 10 percent .
d)
Operate the collection system so that the methane concentration is less than 500
ppm above background at the surface of the landfill . To determine if this level
is exceeded, the owner or operator shall conduct surface testing around the
perimeter of the collection area and along a pattern that traverses the landfill at
30-meter intervals and where visual observations indicate elevated
concentrations of landfill gas, such as distressed vegetation and cracks or seeps
in the cover. An initial surface monitoring design plan shall be developed and
included as part of the operating permit application (e .g., a CAAPP permit
application) that includes a topographical map with the monitoring route and the
rationale for any site-specific deviations from the 30-meter intervals . Areas
with steep slopes or other dangerous areas may be excluded from the surface
testing. The monitoring plan shall be updated as necessary . Updated copies
must be sent to the Agency and kept on-site at the MSW landfill
.
e)
Operate the gas collection and control system such that all collected gases are
vented to a control system designed and operated in compliance with Sections
220.230, 220.250, and 220 .270 of this Subpart . In the event the collection or
control system is inoperable, the gas mover system shall be shut down and all
valves in the collection and control system contributing to venting of the gas to
the atmosphere shall be closed within 1 hour .
f)
Operate the gas collection and control or treatment system at all times, except
during shutdown or malfunction, provided that the duration of start-up,
shutdown, or malfunction must not exceed 5 days for collection systems and
must not exceed 1 hour for treatment or control devices
.
If monitoring demonstrates that the operational requirements in subsection (b),
(c), or (d) of this Section are not met, take corrective action as specified in
Section 220.240(a)(3), (a)(5), or (c)(4) of this Subpart. If such corrective
actions are taken as specified in Section 220 .240(a)(3), (a)(5), or (c)(4) of this
Subpart, the monitored exceedence is not a violation of the operational
requirements in this Section
.
h)
The collection and control system may be capped or removed provided
:
1)
The landfill is no longer accepting solid waste
;
2)
A system removal report has been submitted to the Agency, as provided
in Section 220.280(d) of this Subpart ;
3)
The collection and control system has been operating a minimum of 15

 
years
;
4)
The calculated NMOC gas produced by the landfill is less than 50 Mg/yr
on three successive test dates, pursuant to the procedures specified in
Section 220.260(b) of this Subpart. The test dates shall be no less than
90 days apart, and no more than 180 days apart ; and
5)
The system is not required to satisfy any applicable requirement of 35
Ill. Adm. Code .Subtitle G
.
43
Section 220.260
Test Methods and Procedures
a)
The landfill owner or operator shall calculate the NMOC emission rate using
the equation provided in either subsection (a)(1)(A) or subsection (a)(1)(B) of
this Section and make a determination that the emission rate is less than 50
Mg/yr, pursuant to subsection (a)(2), (a)(3), (a)(4), or (e), or install a gas
collection and control system pursuant to Sections 220 .220 and 220.230 of this
Subpart. However, both equations may be used if the actual year-to-year solid
waste acceptance rate is known pursuant to subsection (a)(1)(A) of this Section,
for part of the life of the landfill and the actual year-to-year solid waste
acceptance rate is unknown, pursuant to subsection
(a)(1)(B) of this Section, for
part of the life of the landfill . If the NMOC emission rate calculated in this
subsection is less than 50 Mg/yr, then the landfill owner shall submit an
emission rate report as provided in Section 220 .280(b) of this Subpart, and shall
recalculate the NMOC mass emission rate as required under Section 220 .210(c)
of this Subpart .
1)
The values to be used in both equations are 0.05/yr for k, 170 m' per Mg
for Ln, and 4,000 ppmv as hexane for the
CNMOC .
A)
The following equation shall be used if the actual year-to-year
solid waste acceptance rate is known :
n
MNMOC
= X2kLoM i(e
k
`i)(CNMOC)(3 .6x 10 9)
i=
where :
MNMOC
=
Total NMOC emission rate from the landfill,
Mg/yr
k
methane generation rate constant, yr"'
Ln
=
methane generation potential, m' per Mg solid
waste

 
44
M ;
=
mass of solid waste in the
i
h section, Mg
t;
=
age of the solid waste in the i'h section, years
CNMOC =
concentration of NMOC, ppmv as hexane
3.6 x 10-9 =
conversion factor
The mass of nondegradable solid waste may be subtracted from
the total mass of solid waste in a particular section of the landfill
when calculating the value for M; if documentation of the nature
and amount of such wastes is maintained .
B)
The following equation shall be used if the actual year-to-year
solid waste acceptance rate is unknown :
MNMOC = 2L0 R(e
k0
- e'")(CNMOC)(3.6 x 10-)
where :
MNMOC =
Total NMOC emission rate from the landfill,
Mg/yr
L0
=
methane generation potential, m' per Mg solid
waste
R
=
average annual acceptance rate, Mg/yr
k
=
methane generation rate constant, year'
t
=
age of landfill, years
CNMOC
=
concentration of NMOC, ppmv as hexane
c
=
time since closure, years (for active landfill c = 0
and e"k` = 1)
3.6 x 10-9 =
conversion factor
The mass of nondegradable solid waste may be subtracted from
the average annual acceptance rate when calculating a value for
R, if documentation of the nature and amount of such wastes is
maintained
.
2)
Tier 1 . The landfill owner or operator shall calculate the NMOC mass
emission rate using the equations provided in subsection (a)(1)(A) or
(a)(1)(B) of this Section. The owner or operator shall compare the
calculated NMOC mass emission rate to the standard of 50 Mg/yr using
the default values for the NMOC mass emission rate and the methane
generation rate constant .
3)
Tier 2. The landfill owner or operator shall calculate the NMOC mass
emission rate using the equations provided in subsection (a)(1)(A) or
(a)(1)(B) of this Section using the average NMOC concentration from the
collected samples instead of the default value in the equations provided

 
MNMOC
where :
45
in subsection (a)(1) of this Section. The landfill owner or operator shall
determine the NMOC concentration using the following sampling
procedure: The landfill owner or operator shall install at least 2 sample
probes per hectare of landfill surface that has retained waste for at least 2
years. If the landfill is larger than 25 hectares in area, only 50 samples
are required. The sample probes should be located to avoid known areas
of nondegradable solid waste . The owner or operator shall collect and
analyze one sample of landfill gas from each probe to determine the
NMOC concentration using Method 25C or Method 18 of Appendix A,
40 CFR 60, incorporated by reference in Section 220 .130 of this Part. If
using Method 18, the minimum list of compounds to be tested shall be
those published in the Compilation of Air Pollutant Emission Factors
(AP-42), incorporated by reference in Section 220 .130 of this Part. If
composite sampling is used, equal volumes shall be taken from each
sample probe. If more than the required number of samples are taken,
all samples shall be used in the analysis. Divide the NMOC
concentration from Method 25C by 6 to convert from CNMOC as carbon to
CNMOC
as hexane. The owner or operator shall retest the site-specific
NMOC concentration every 5 years using the methods specified in this
Section
4)
Tier 3. The landfill owner or operator shall estimate the NMOC mass
emission rate using equations in subsection (a)(1)(A) or (a)(1)(B) of this
Section and using a site-specific methane generation rate constant k, and
the site-specific NMOC concentration as determined in subsection (a)(3)
of this Section instead of the default values provided in subsection (a)(1)
of this Section. The site-specific methane generation rate constant shall
be determined using the procedures provided in Method 2E, Appendix
A, 40 CFR 60, incorporated by reference in Section 220 .130 of this
Part. The calculation of the methane generation rate constant is
performed only once, and the value obtained is used in all subsequent
annual NMOC emission rate calculations . In addition, pursuant to
subsection (a)(3) of this Section, the owner or operator shall retest the
site-specific NMOC concentration every 5 years using the methods
specified in that subsection .
b)
After the installation of a collection and control system in compliance with
Sections 220.220 and 220 .230 of this Subpart, the owner or operator shall
calculate the NMOC emission rate for purposes of determining when the system
can be removed as provided in Section 220 .250(h) of this Subpart, using the
following equation :
1.89 x 103
QLFG
CNMOC

 
MNMOC
QLFG
CNMOC
46
mass emission rate of NMOC (Mg/yr)
flow rate of landfill gas (m'/minute)
NMOC concentration (ppmv as hexane)
1)
The flow rate of landfill gas (Q LFG) shall be determined by measuring the
total landfill gas flow rate at the common header pipe that leads to the
control device using a gas flow measuring device calibrated according to
the provisions of Section 4 of Method 2E, Appendix A, 40 CFR 60,
incorporated by reference in Section 220.130 of this Part
.
2)
The average NMOC concentration
(CNMOC)
shall be determined by
collecting and analyzing landfill gas sampled from the common header
pipe before the gas moving or condensate removal equipment using the
procedures in Method 25C or Method 18, Appendix A, 40 CFR 60,
incorporated by reference in Section 220.130 of this Part. If using
Method 18, the minimum list of compounds to be tested shall be those
published in the Compilation of Air Pollutant Emission Factors (AP-42),
incorporated by reference in Section 220 .130 of this Part. The sample
location on the common header pipe shall be before any condensate
removal or other gas refining units. The landfill owner or operator shall
divide the NMOC concentration from Method 25C by 6 to convert
CNMOc
as carbon to CNMOC as hexane
.
c)
If the gas collection system complies with the provisions in Section 220.220 of
this Subpart and is already installed, the owner or operator shall estimate the
NMOC emission rate using the procedures provided in subsection (b) of this
Section. For areas of the landfill where the owner or operator has not been
required to install a well yet, he/she may select an appropriate method from
subsection (a) of this Section to estimate emissions
.
d)
For the performance test required in Section 220 .210(d)(2) of this Subpart,
Method 25C or Method 18, Appendix A, 40 CFR 60, incorporated by reference
in Section 220.130 of this Part, shall be used to determine compliance with 98
weight-percent efficiency or the 20 ppmv outlet concentration level, unless
another method to demonstrate compliance has been approved by the Agency as
provided by Section 220.230(d) of this Subpart . If using Method 18, the
minimum list of compounds to be tested shall be those published in the
Compilation of Air Pollutant Emission Factors (AP-42), incorporated by
reference in Section 220 .130 of this Part. The following equation shall be used
to calculate efficiency
:
Control efficiency = (NMOC ;,, -NMOCO„J/(NMOC;,,)
where :

 
Section 220.270
47
NMOC ;~
=
mass of NMOC entering control device
NMOC O„t
=
mass of NMOC exiting control device
e)
The owner or operator may use other methods to determine the NMOC
concentration, site-specific k, or landfill gas flow rate, as an alternate to the
methods required in subsection (a)(3) and (a)(4) of this Section, if the method
has been approved by the Agency, as provided for in Section 220 .220(d) or
Section 220.230(d) of this Subpart .
f)
The owner or operator may use the procedures described in AP-42, Compilation
of Air Pollutant Emission Factors, incorporated by reference in Section 220 .130
of this Part, to estimate emissions pursuant to the annual emission report
required in 35 Ill. Adm. Code 210.302(a). The most recent values for k, L o ,
and NMOC concentration reported in AP-42 shall be used to calculate
emissions. To determine applicability of or compliance with the requirements
of this Part, the owner or operator must use the tiered emission estimates
provided in subsections (a)(1) through (a)(4) of this Section .
g)
Testing :
1)
Upon a request by the Agency, the owner or operator of an MSW
landfill shall at his own expense demonstrate compliance with the
applicable requirements of this Subpart using the appropriate test
method .
2)
An owner or operator planning to conduct a test to demonstrate
compliance with this Subpart shall notify the Agency of that intent not
less than 30 days before the planned initiation of the tests so that the
Agency may observe the test
.
Monitoring of Operations
a)
Active gas collection systems. Each owner or operator of an active gas
collection system shall install a sampling port and a thermometer, other
temperature measuring device, or an access port for temperature measurements
at each wellhead and
:
1)
Measure the gauge pressure in the gas collection header on a monthly
basis, as provided in Section 220.240(a)(3) of this Subpart; and
2)
Monitor the temperature and nitrogen or oxygen concentration in the
landfill gas on a monthly basis, as provided in Section 220.240(a)(5) of
this Subpart
.

 
48
b)
Enclosed combustors. Each owner or operator of an enclosed combustor shall
calibrate, maintain, and operate according to the manufacturer's specifications,
the following equipment
:
1)
A temperature monitoring device equipped with a continuous recorder
and having a minimum accuracy of plus or minus 1 percent of the
temperature being measured, expressed in degrees Celsius, or plus or
minus 0.5°C, whichever is greater .
A temperature monitoring device is
not required for boilers or process heaters with design heat input
capacity greater than 44 MW .
2)
A device that records flow to or bypass of the control device .
The
owner or operator shall either
:
A)
Install, calibrate, and maintain a gas flow rate measuring device
that shall record the flow to the control device every 15 minutes ;
or
B)
Secure the bypass line valve in the closed position with a car-seal
or a lock-and-key type configuration
.
A visual inspection of the
seal or closure mechanism shall be performed at least once every
month to ensure that the valve is maintained in the closed position
and that the gas flow is not diverted through the bypass line
.
c)
Open flare . Each owner or operator of an open flare shall install, calibrate,
maintain, and operate according to the manufacturer's specifications the
following equipment
:
1)
A heat sensing device, such as an ultraviolet beam sensor or
thermocouple, at the pilot light or the flame itself to indicate the
continuous presence of a flame
.
2)
A device that records flow to or bypass of the flare. The owner or
operator shall either
:
A)
Install, calibrate, and maintain a gas flow rate measuring device
that shall record the flow to the control device at least every 15
minutes; or
B)
Secure the bypass line valve in the closed position with a car-seal
or lock-and-key type configuration . A visual inspection of the
seal or closure mechanism shall be performed at least once every
month to ensure that the valve is maintained in the closed position
and that the gas flow is not diverted through the bypass line .

 
d)
Each owner or operator seeking to install a collection or control system that
does not meet the specifications in Section 220 .220(b) or (c) of this Subpart,
shall provide information satisfactory to the Agency as provided in Sections
220.220(d) and 220 .230(d) of this Subpart, describing the design and operation
of the collection system, the operating parameters that would indicate proper
performance, and appropriate monitoring procedures
.
e)
Each owner or operator shall monitor surface concentrations of methane
according to the instrument specifications and procedures provided in Section
220.240(c) and (d) of this Subpart . Any inactive landfill that has no monitored
exceedences of the operational standard in three consecutive quarterly
monitoring periods must resume annual monitoring. Any methane reading of
500 ppm or more above the background detected during the annual monitoring
returns the monitoring frequency for that landfill to quarterly
.
Section 220.280
Reporting Requirements
49
a)
Each owner and operator shall submit a design capacity report to the Agency
.
1)
The initial design capacity report shall be submitted no later October 29,
1998 .
2)
The initial design capacity report shall contain the following information
:
A)
A map or plot of the landfill providing the size and location of the
landfill and identifying all areas where solid waste may be
landfilled according to the provisions of the State or RCRA
construction or operating permit .
B)
The maximum design capacity of the landfill . If the maximum
design capacity is specified in a State construction or RCRA
permit, a copy of the permit specifying the maximum design
capacity of the landfill shall be provided. If the maximum design
capacity of the landfill is not specified in a permit, the maximum
design capacity shall be calculated using good engineering
practices. The calculations shall be provided, along with the
relevant parameters (e .g., depth of solid waste, solid waste
acceptance rate, and compaction practices, as applicable), as part
of the report. The Agency may request other reasonable
information as may be necessary to verify the maximum design
capacity of the landfill .
3)
An amended design capacity report shall be submitted to the Agency
providing notification of an increase in the design capacity of the landfill
within 90 days after an increase in the maximum design capacity of the

 
50
landfill to or above 2.5 million Mg and 2.5 million m'. This increase in
design capacity may result from an increase in the permitted volume or
an increase in the density of the landfill as documented in the annual
recalculation required in Section 220.290 (f) of this Subpart
.
b)
Each owner and operator with a total design capacity equal to or greater than
2.5 million Mg and 2 .5 million m3 shall submit an NMOC emission rate report
to the Agency initially and by June 1 annually thereafter, except as provided for
in subsections (b)(1) and (b)(4) of this Section. The Agency may request such
additional information as may be necessary to verify the reported NMOC
emission rate. The NMOC emission rate report shall contain an annual or 5-year
estimate of the NMOC emission rate calculated using the formula and
procedures in Section 220.260(a) of this Subpart, as applicable . The annual
NMOC emission rate report required by this subsection must be submitted with
the annual emissions report required pursuant to 35 Ill. Adm. Code 201 .302(a) .
1)
The initial NMOC emission rate report may be combined with the initial
design capacity report required in subsection (a) of this Section. The first
NMOC emission report shall be filed with the Agency by October 29,
1998. Subsequent NMOC emission reports shall be filed with the
Agency by June 1 of the subsequent year, except as provided for in
subsection (b)(2) of this Section .
2)
Using Tier 1, if the estimated NMOC emission rate as reported in the
annual report to the Agency is less than 50 Mg/yr in each of the next 5
consecutive years, the owner or operator may elect to submit an estimate
of the NMOC emission rate for the next 5-year period in lieu of the
annual report. This estimate shall include the current amount of solid
waste in-place and the estimated waste acceptance rate for each year of
the 5 years for which an NMOC emission rate is estimated . All data and
calculations upon which this estimate is based shall be provided to the
Agency . This estimate shall be revised at least once every 5 years . If
the actual waste acceptance rate exceeds the estimated waste acceptance
rate in any year reported in the 5-year estimate, a revised 5-year estimate
shall be submitted to the Agency. The revised estimate shall cover the 5-
year period beginning with the year in which the actual waste acceptance
rate exceeded the estimated waste acceptance rate
.
3)
The NMOC emission rate report shall include all the data, calculations,
sample reports and measurements used to estimate the annual or 5-year
emissions
.
4)
All owners and operators of MSW landfills with a total design capacity
of 2.5 million Mg and 2.5 million m' are required to submit an annual
emissions report pursuant to 35 Ill . Adm. Code 201 .302(a). MSW

 
5 1
landfills that have installed a gas collection and control system that meets
the requirements of this Subpart are not required to submit an annual
NMOC emission rate report but are required to submit an annual
emissions report pursuant to 35 III . Adm. Code 201 .302(a) . Further,
owners or operators filing a 5-year estimate of NMOC emissions
pursuant to subsection (b)(2) of this Section may use a 5-year estimate
for NMOC, so long as they file an annual emission report and meet the
requirements of subsection (b)(2) of this Section
.
c)
Each owner or operator subject to the provisions of Section 220 .220(a) of this
Subpart shall submit an application for a construction permit containing the
information listed in subsection (c)(3) of this Section to the Agency within 1
year after the first report, required under subsection (b) of this Section, in which
the emission rate exceeds 50 Mg/yr, except as follows :
1)
If the owner or operator elects to recalculate the NMOC emission rate
after Tier 2 NMOC sampling and analysis as provided in Section
220.260(a)(3) of this Subpart and the resulting rate is less than 50
Mg/yr, annual periodic reporting shall be resumed, using the Tier 2
determined site-specific NMOC concentration, until the calculated
emission rate is equal to or greater than 50 Mg/yr or the landfill is
inactive. The revised NMOC emission rate report, with the recalculated
emission rate based on NMOC sampling and analysis, shall be submitted
within 1 year after the first calculated exceedence of 50 Mg/yr
.
2)
If the owner or operator elects to recalculate the NMOC emission rate
after determining a site-specific methane generation rate constant k, as
provided in Tier 3 in Section 220.260(a)(4) of this Subpart, and the
resulting emission rate is less than 50 Mg/yr, annual periodic reporting
shall be resumed or the landfill is inactive. The resulting site-specific
methane generation rate constant k shall be used in the emission rate
calculation until such time as the emission rate calculation results in an
exceedence . The revised NMOC emission rate report based on the
provisions of Section 220.260(a)(4) of this Subpart and the resulting site-
specific methane generation rate constant k shall be submitted to the
Agency within 1 year after the first calculated emission rate exceeding 50
Mg/yr .
3)
In addition to the information required by 35 Ill . Adm. Code 201.152,
the following shall be included in the construction permit application for
the collection system required pursuant to Section 220 .280(c) of this
Subpart: depths of refuse, refuse gas generation rates and flow
characteristics, cover properties, gas system expandibility, leachate and
condensate management, accessibility, compatibility with filling
operations, integration with closed landfill end use, air intrusion control,

 
52
corrosion resistance, fill settlement, and resistance to the refuse
decomposition heat
.
d)
Each owner or operator of a controlled landfill shall submit the information
required by this subsection (d) to the Agency 30 days prior to removal or
cessation of operation of the control equipment . The Agency may request such
additional information as may be necessary to verify that all of the conditions
for removal of equipment in accordance with Section 220 .250(h) of this Subpart
have been met
.
1)
Certification that the operation of the collection and control system is no
longer required pursuant to 35 III . Adm. Code .Subtitle G ;
2)
Documentation demonstrating that the 15-year minimum control period
has expired ; and
3)
Dated copies of the 3 successive NMOC emission rate reports, as
provided for in Section 220.250(h) of this Subpart, demonstrating that
the landfill is no longer producing 50 Mg/yr or greater of NMOC,
pursuant to Section 220 .260(b) of this Section .
e)
Each owner or operator of a landfill shall submit to the Agency annual reports
of the recorded information in subsections (e)(1) through (e)(6) of this Section .
The initial annual report shall be submitted within 180 days after installation and
start-up of the collection and control system, and may be included with the
report of the initial performance test required pursuant to Section 220.210(d)(2)
of this Subpart. For enclosed combustion devices and flares, reportable
exceedences are defined under Section 220.290(c) of this Subpart
.
1)
Value and length of time for exceedence of applicable parameters
monitored under Section 220.270(a), (b), (c), and (d) of this Subpart .
2)
Description and duration of all periods when the gas stream is diverted
from the control device through a bypass line or the indication of bypass
flow as specified under Section 220 .270 of this Subpart
.
3)
Description and duration of all periods when the control device was not
operating for a period exceeding 1 hour and length of time the control
device was not operating
.
4)
All periods when the collection system was not operating in excess of 5
days
.
5)
The location of each exceedence of the 500 ppm methane concentration,
as provided in Section 220 .250(d) of this Subpart, and the concentration

 
53
recorded at each location for which an exceedence was recorded in the
previous month
.
6)
The date of installation and the location of each well or collection system
expansion added pursuant to subsections (a)(3), (b), and (c)(4) of Section
220.240 of this Subpart
.
f)
Each owner or operator shall include the following information with the initial
performance test report and any subsequent performance tests required pursuant
to Section 220 .210(d)(2) of this Subpart .
1)
A diagram of the collection system showing collection system positioning
including all wells, horizontal collectors, surface collectors, or other gas
extraction devices, including the locations of any areas excluded from
collection and the proposed sites for the future collection system
expansion ;
2)
The data upon which the sufficient density of wells, horizontal
collectors, surface collectors, or other gas extraction devices and the gas
mover equipment sizing are based ;
3)
The documentation of the presence of asbestos or nondegradable material
for each area from which collection wells have been excluded based on
the presence of asbestos or nondegradable material
;
4) The sum of gas generation flow rates for all areas from which collection
wells have been excluded based on nonproductivity and the calculations
of gas generation flow rate for each excluded area ;
5)
Provisions for increasing gas mover equipment capacity with increased
gas generation flow rate, if the present gas mover equipment is
inadequate to move the maximum flow rate expected over the life of the
landfill ; and
6)
The provisions for the control of off-site migration of gas
.
Section 220.290
Recordkeeping Requirements
Each owner or operator of an MSW landfill shall keep for at least 5 years, unless another time
period is specified in this Section, up-to-date, readily accessible, on-site records of the
following
:
a)
For the life of the landfill, the design capacity report in which the landfill
became equal to or greater than 2 .5 million Mg and 2 .5 million m3, the current
amount of solid waste in-place, and the year-by-year waste acceptance rate .

 
54
Off-site records may be maintained if they are retrievable within 4 hours
.
Either paper copy or electronic formats are acceptable
.
b)
For the life of the control equipment, the data listed in subsections
(b)(1)
through (b)(4) of this Section as measured during the initial performance test or
compliance determination. Records of the control device vendor specifications
shall be maintained until removal
.
1)
Active collection systems :
A)
The maximum expected gas generation flow rate as calculated in
Section 220.240(a) of this Subpart . The owner or operator may
use another method to determine the maximum gas generation
flow rate, if the method has been approved by the Agency .
B)
The density of wells, horizontal collectors, surface collectors, or
other gas extraction devices determined using the procedures
specified in Section 220 .220(b)(1)(A) of this Subpart .
2)
Enclosed combustion device other than a boiler or process heater with a
design heat input capacity greater 44 MW
:
A)
The combustion temperature measured at least every 15 minutes
and averaged over the same time period as the performance test
.
B)
The percent reduction of NMOC determined as specified in
Section 220.230(b) of this Subpart achieved by the control
device
.
3)
Boilers or process heaters of any size : a description of the location at
which the collected gas vent stream is introduced into the boiler or
process heater over the same time period as the performance testing
.
4)
Open flare : the flare type (i .e., steam-assisted, air-assisted, or
nonassisted), all visible emission readings, heat content determination,
flow rate or bypass flow rate measurements, and exit velocity
determinations made during the performance test as specified in 40 CFR
60.18, incorporated by reference in Section 220 .130 of this Part
;
continuous records of the flare pilot flame or flare flame monitoring and
records of all periods of operations during which the flare pilot flame or
the flare flame is absent
.
c)
Continuous records of the equipment operating parameters specified to be
monitored in Section 220.270 of this Subpart as well as up-to-date, readily
accessible records for periods of operation during which the parameter

 
55
boundaries established during the most recent performance test are exceeded
.
1)
The following constitute exceedences that shall be recorded and reported
under Section 220.280(e) of this Subpart :
A)
For enclosed combustors, except for boilers and process heaters
with design heat input of 44 MW (150 mmbtu/hr) or greater, all
3-hour periods of operation during which the average combustion
temperature was more than 28°C (82°F) below the average
combustion temperature during the most recent performance test
at which compliance with Section 220 .230(b) of this Subpart was
determined .
B)
For boilers or process heaters, whenever there is a change in the
location at which the vent stream is introduced into the flame
zone, as required pursuant to subsection (b)(2)(A) of this Section .
2)
Continuous records of the indication of flow to the control device or the
indication of bypass flow or records of monthly inspections of car-seals
or lock-and-key configurations used to seal bypass lines, specified
pursuant to Section 220.270 of this Subpart
.
3)
For boilers or process heaters with a design heat input capacity of 44
MW or greater, records of all periods of operation of boiler or process
heater. (Examples of such records include records of steam use, fuel
use, or monitoring data collected pursuant to State, local, or federal
regulatory requirements .)
4)
For open flares, records of the flame or flare pilot flame monitoring
specified under Section 220 .270(c) of this Subpart, and all periods of
operation in which the flare pilot flame or the flare flame is absent .
d)
For the life of the collection system, a plot map showing each existing and
planned collector in the system and providing a unique identification location
label for each collector, including
:
1)
The location of all newly installed collectors as specified under Section
220.240(b) of this Part
.
2)
The nature, date of deposition, amount, and location of asbestos-
containing or nondegradable waste excluded from collection, as provided
in Section 220 .220(b)(1)(D)(i) of this Subpart, as well as any
nonproductive areas excluded from collection, as provided in Section
220.220(b)(1)(D)(ii) of this Subpart
.

 
e)
All collection and control system exceedences of the operational standards in
Section 220.250 of this Subpart, the reading the subsequent month whether or
not the second reading is an exceedence, and the location of each exceedence
.
0
56
Owners or operators who convert design capacity from volume to mass or mass
to volume to demonstrate that landfill design capacity is less than 2 .5 million
Mg or 2.5 million m3 , as provided in the definition of "design capacity", shall
keep records of the annual recalculation of site-specific density, design capacity,
and the supporting documentation .
IT IS SO ORDERED
.
Board Member J. Theodore Meyer dissented .
I, Dorothy M. Gunn, Clerk of the Illinois Pollution Control Board, hereby certify that
the above opinion and order was adopted on the 17th day of June 1998 by a vote of 5-1
.
Dorothy M . Gunn, Clerk
Illinois Pollution Control Board

Back to top