1. TITLE 35: ENVIRONMENTAL PROTECTION
  2. SUBTITLE B: AIR POLLUTION
    1. CHAPTER I: POLLUTION CONTROL BOARD
    2. SUBCHAPTER c: EMISSIONS STANDARDS AND LIMITATIONS FOR STATIONARY SOURCES
      1. PART 215
      2. ORGANIC MATERIAL EMISSION STANDARDS AND LIMITATIONS
        1. Section 215.100 Introduction
        2. Section 215.101 Clean-up and Disposal Operations
        3. Section 215.102 Testing Methods
        4. Section 215.103 Abbreviations and Conversion Factors
        5. Section 215.104 Definitions
        6. Section 215.105 Incorporation by Reference
        7. Section 215.106 Afterburners
        8. Section 215.107 Determination of Applicability
        9. Section 215.108 Measurement of Vapor Pressures
      3. SUBPART A: GENERAL PROVISIONS
        1. Section 215.109 Monitoring for Negligibly-Reactive Compounds
      4. SUBPART B: ORGANIC EMISSIONS FROM STORAGE AND LOADING OPERATIONS
        1. Section 215.121 Storage Containers
        2. Section 215.122 Loading Operations
        3. Section 215.123 Petroleum Liquid Storage Tanks
        4. Section 215.124 External Floating Roofs
        5. Section 215.125 Compliance Dates and Geographical Areas
        6. Section 215.126 Compliance Plan
        7. Section 215.127 Emissions Testing
        8. Section 215.128 Measurement of Seal Gaps
      5. SUBPART C: ORGANIC EMISSIONS FROM MISCELLANEOUS EQUIPMENT
        1. Section 215.141 Separation Operations
        2. Section 215.142 Pumps and Compressors
        3. Section 215.143 Vapor Blowdown
        4. Section 215.144 Safety Relief Valves
      6. SUBPART E: SOLVENT CLEANING
        1. Section 215.181 Solvent Cleaning in General
        2. Section 215.182 Cold Cleaning
        3. Section 215.183 Open Top Vapor Degreasing
        4. Section 215.184 Conveyorized Degreasing
        5. Section 215.185 Compliance Plan
        6. Section 215.202 Compliance Schedules
        7. Section 215.204 Emission Limitations for Manufacturing Plants
        8. Section 215.205 Alternative Emission Limitations
        9. Section 215.206 Exemptions from Emission Limitations
        10. Section 215.207 Compliance by Aggregation of Emission Units
        11. Section 215.208 Testing Methods for Volatile Organic Material Content
        12. Section 215.209 Exemption from General Rule on Use of Organic Material
        13. Section 215.210 Alternative Compliance Schedule
        14. Section 215.211 Compliance Dates and Geographical Areas
        15. Section 215.212 Compliance Plan
        16. Section 215.213 Special Requirements for Compliance Plan
        17. Section 215.214 Roadmaster Emissions Limitations (Repealed)
        18. Section 215.215 DMI Emissions Limitations
      7. SUBPART H: SPECIAL LIMITATIONS FOR SOURCES IN MAJOR URBANIZED AREAS WHICH ARE NONATTAINMENT FOR OZONE
        1. Section 215.240 Applicability
        2. Section 215.241 External Floating Roofs
        3. Section 215.245 Flexographic and Rotogravure Printing
        4. Section 215.249 Compliance Dates
      8. SUBPART I: ADJUSTED RACT EMISSIONS LIMITATIONS
        1. Section 215.260 Applicability
        2. Section 215.261 Petition
        3. Section 215.263 Public Hearing
        4. Section 215.264 Board Action
        5. Section 215.267 Agency Petition
      9. SUBPART K: USE OF ORGANIC MATERIAL
        1. Section 215.301 Use of Organic Material
        2. Section 215.302 Alternative Standard
        3. Section 215.303 Fuel Combustion Emission Sources
        4. Section 215.304 Operations with Compliance Program
        5. Section 215.305 Viscose Exemption (Repealed)
      10. SUBPART N: VEGETABLE OIL PROCESSING
        1. Section 215.340 Hexane Extraction Soybean Crushing
        2. Section 215.342 Hexane Extraction Corn Oil Processing
        3. Section 215.344 Recordkeeping For Vegetable Oil Processes
        4. Section 215.345 Compliance Determination
        5. Section 215.346 Compliance Dates and Geographical Areas
        6. Section 215.347 Compliance Plan
      11. SUBPART P: PRINTING AND PUBLISHING
        1. Section 215.401 Flexographic and Rotogravure Printing
        2. Section 215.402 Exemptions
        3. Section 215.403 Applicability of Subpart K
        4. Section 215.404 Testing and Monitoring (Repealed)
        5. Section 215.405 Compliance Dates and Geographical Areas
        6. Section 215.406 Alternative Compliance Plan
        7. Section 215.407 Compliance Plan
        8. Section 215.408 Heatset Web Offset Lithographic Printing
        9. Section 215.409 Testing Methods for Volatile Organic Material Content
        10. Section 215.410 Emissions Testing
        11. Section 215.42  Applicability
        12. Section 215.421 General Requirements
        13. Section 215.422 Inspection Program Plan for Leaks
        14. Section 215.423 Inspection Program for Leaks
        15. Section 215.424 Repairing Leaks
        16. Section 215.425 Recordkeeping for Leaks
        17. Section 215.426 Report for Leaks
        18. Section 215.427 Alternative Program for Leaks
        19. Section 215.428 Compliance Dates
        20. Section 215.429 Compliance Plan
        21. Section 215.430 General Requirements
        22. Section 215.431 Inspection Program Plan for Leaks
        23. Section 215.432 Inspection Program for Leaks
        24. Section 215.433 Repairing Leaks
        25. Section 215.434 Recordkeeping for Leaks
        26. Section 215.435 Report for Leaks
        27. Section 215.436 Alternative Program for Leaks
        28. Section 215.437 Open-Ended Valves
        29. Section 215.438 Standards for Control Devices
        30. Section 215.439 Compliance Date
      12. SUBPART R: PETROLEUM REFINING AND RELATED
      13. INDUSTRIES; ASPHALT MATERIALS
        1. Section 215.441 Petroleum Refinery Waste Gas Disposal
        2. Section 215.442 Vacuum Producing Systems
        3. Section 215.443 Wastewater (Oil/Water) Separator
        4. Section 215.444 Process Unit Turnarounds
        5. Section 215.445 Leaks: General Requirements
        6. Section 215.446 Monitoring Program Plan for Leaks
        7. Section 215.447 Monitoring Program for Leaks
        8. Section 215.448 Recordkeeping for Leaks
        9. Section 215.449 Reporting for Leaks
        10. Section 215.450 Alternative Program for Leaks
        11. Section 215.451 Sealing Device Requirements
        12. Section 215.452 Compliance Schedule for Leaks
        13. Section 215.453 Compliance Dates and Geographical Areas
      14. SUBPART S: RUBBER AND MISCELLANEOUS PLASTIC PRODUCTS
        1. Section 215.461 Manufacture of Pneumatic Rubber Tires
        2. Section 215.462 Green Tire Spraying Operations
        3. Section 215.463 Alternative Emission Reduction Systems
        4. Section 215.464 Emissions Testing
        5. Section 215.465 Compliance Dates and Geographical Areas
        6. Section 215.466 Compliance Plan
        7. Section 215.467 Testing Methods for Volatile Organic Material Content
      15. SUBPART T: PHARMACEUTICAL MANUFACTURING
        1. Section 215.480 Applicability of Subpart T
        2. Section 215.481 Control of Reactors, Distillation Units, Crystallizers,
        3. Centrifuges and Vacuum Dryers
        4. Section 215.482 Control of Air Dryers, Production Equipment Exhaust
        5. Systems and Filters
        6. Section 215.483 Material Storage and Transfer
        7. Section 215.484 In-Process Tanks
        8. Section 215.485 Leaks
        9. Section 215.486 Other Emission Sources
        10. Section 215.487 Testing
        11. Section 215.488 Monitors for Air Pollution Control Equipment
        12. Section 215.489 Recordkeeping (Renumbered)
        13. Section 215.490 Compliance Schedule (Renumbered)
      16. SUBPART U: COKE MANUFACTURE AND BY-PRODUCT RECOVERY
        1. Section 215.500 Exceptions
        2. Section 215.510 Coke By-Product Recovery Plants
        3. Section 215.512 Coke By-Product Recovery Plant Leaks
        4. Section 215.513 Inspection Program
        5. Section 215.514 Recordkeeping Requirements
        6. Section 215.515 Reporting Requirements
        7. Section 215.516 Compliance Dates
        8. Section 215.517 Compliance Plan
      17. SUBPART V: AIR OXIDATION PROCESSES
        1. Section 215.520 Applicability
        2. Section 215.521 Definitions
        3. Section 215.525 Emission Limitations for Air Oxidation Processes
        4. Section 215.526 Testing and Monitoring
        5. Section 215.527 Compliance Date
      18. SUBPART W: AGRICULTURE
        1. Section 215.541 Pesticide Exception
      19. SUBPART X: CONSTRUCTION
        1. Section 215.561 Architectural Coatings
        2. Section 215.562 Paving Operations
        3. Section 215.563 Cutback Asphalt
      20. SUBPART Y: GASOLINE DISTRIBUTION
        1. Section 215.581 Bulk Gasoline Plants
        2. Section 215.582 Bulk Gasoline Terminals
        3. Section 215.583 Gasoline Dispensing Facilities - Storage Tank
        4. Filling Operations
        5. Section 215.584 Gasoline Delivery Vessels
        6. Section 215.586 Emissions Testing
      21. SUBPART Z: DRY CLEANERS
        1. Section 215.601 Perchloroethylene Dry Cleaners (Repealed)
        2. Section 215.602 Exemptions (Repealed)
        3. Section 215.603 Leaks (Repealed)
        4. Section 215.604 Compliance Dates and Geographical areas (Repealed)
        5. Section 215.605 Compliance Plan (Repealed)
        6. Section 215.606 Exception to Compliance Plan (Repealed)
        7. Section 215.607 Standards for Petroleum Solvent Dry Cleaners
        8. Section 215.608 Operating Practices for Petroleum Solvent Dry Cleaners
        9. Section 215.609 Program for Inspection and Repair of Leaks
        10. Section 215.610 Testing and Monitoring
        11. Section 215.611 Exemption for Petroleum Solvent Dry Cleaners
        12. Section 215.612 Compliance Dates and Geographical Areas
        13. Section 215.613 Compliance Plan
      22. Section 215.614 Testing Method for Volatile Organic Material
      23. Content of Wastes
        1. Section 215.615 Emissions Testing
      24. SUBPART AA: PAINT AND INK MANUFACTURING
        1. Section 215.620 Applicability
        2. Section 215.621 Exemption for Waterbase Material and Heatset Offset Ink
        3. Section 215.623 Permit Conditions
        4. Section 215.624 Open-top Mills, Tanks, Vats or Vessels
        5. Section 215.625 Grinding Mills
        6. Section 215.628 Leaks
        7. Section 215.630 Clean Up
        8. Section 215.636 Compliance Date
      25. SUBPART BB: POLYSTYRENE PLANTS
        1. Section 215.875 Applicability of Subpart BB
        2. Section 215.877 Emissions Limitation at Polystyrene Plants
        3. Section 215.879 Compliance Date
        4. Section 215.881 Compliance Plan
        5. Section 215.883 Special Requirements for Compliance Plan
        6. Section 215.886 Emission Testing
      26. SUBPART PP: MISCELLANEOUS FABRICATED PRODUCT MANUFACTURING PROCESSES
        1. Section 215.923 Permit Conditions
        2. Section 215.926 Control Requirements
      27. SUBPART QQ: MISCELLANEOUS FORMULATION MANUFACTURING PROCESSES
        1. Section 215.943 Permit Conditions
        2. Section 215.946 Control Requirements
      28. SUBPART RR: MISCELLANEOUS ORGANIC CHEMICAL MANUFACTURING PROCESSES
        1. Section 215.963 Permit Conditions
        2. Section 215.966 Control Requirements
      29. Apppendix A Rule Into Section Table
      30. Appendix B Section Into Rule Table
      31. Appendix C
      32. Past Compliance Dates
      33. Appendix D List of Chemicals Defining Synthetic Organic Chemical and Polymer Manufacturing
      34. Appendix E
      35. Reference Methods and Procedures
      36. Appendix F
      37. Coefficients for the Total Resource Effectiveness Index (TRE) Equation


TITLE 35: ENVIRONMENTAL PROTECTION

Back to top



SUBTITLE B: AIR POLLUTION



CHAPTER I: POLLUTION CONTROL BOARD



SUBCHAPTER c: EMISSIONS STANDARDS AND LIMITATIONS FOR STATIONARY SOURCES

 



PART 215



ORGANIC MATERIAL EMISSION STANDARDS AND LIMITATIONS

 

SUBPART A: GENERAL PROVISIONS

Section
215.100  Introduction
215.101  Clean-up and Disposal Operations
215.102  Testing Methods
215.103  Abbreviations and Conversion Factors
215.104  Definitions
215.105  Incorporation by Reference
215.106  Afterburners
215.107  Determination of Applicability
215.108  Measurement of Vapor Pressures
215.109  Monitoring for Negligibly-Reactive Compounds

 

SUBPART B: ORGANIC EMISSIONS FROM STORAGE
AND LOADING OPERATIONS

 

Section

215.121  Storage Containers
215.122  Loading Operations
215.123  Petroleum Liquid Storage Tanks
215.124  External Floating Roofs
215.125  Compliance Dates and Geographical Areas
215.126  Compliance Plan
215.127  Emissions Testing
215.128  Measurement of Seal Gaps

 

SUBPART C: ORGANIC EMISSIONS FROM
MISCELLANEOUS EQUIPMENT

 

Section

215.141  Separation Operations
215.142  Pumps and Compressors
215.143  Vapor Blowdown
215.144  Safety Relief Valves
 

SUBPART E: SOLVENT CLEANING

 

Section

215.181  Solvent Cleaning in General
215.182  Cold Cleaning
215.183  Open Top Vapor Degreasing
215.184  Conveyorized Degreasing
215.185  Compliance Plan

 

SUBPART F: COATING OPERATIONS

 

Section

215.202  Compliance Schedules
215.204  Emission Limitations for Manufacturing Plants
215.205  Alternative Emission Limitations
215.206  Exemptions from Emission Limitations
215.207  Compliance by Aggregation of Emission Units
215.208  Testing Methods for Volatile Organic Material Content
215.209  Exemption from General Rule on Use of Organic Material
215.210  Alternative Compliance Schedule
215.211  Compliance Dates and Geographical Areas
215.212  Compliance Plan
215.213  Special Requirements for Compliance Plan
215.214  Roadmaster Emissions Limitations (Repealed)
215.215  DMI Emissions Limitations

 

SUBPART H: SPECIAL LIMITATIONS FOR SOURCES IN MAJOR URBANIZED
AREAS WHICH ARE NONATTAINMENT FOR OZONE

 
Section

215.240  Applicability
215.241  External Floating Roofs
215.245  Flexographic and Rotogravure Printing
215.249  Compliance Dates

 

SUBPART I: ADJUSTED RACT EMISSIONS LIMITATIONS

 

Section

215.260  Applicability
215.261  Petition
215.263  Public Hearing
215.264  Board Action
215.267  Agency Petition

 

SUBPART K: USE OF ORGANIC MATERIAL

 

Section

215.301  Use of Organic Material
215.302  Alternative Standard
215.303  Fuel Combustion Emission Sources
215.304  Operations with Compliance Program
215.305  Viscose Exemption (Repealed)

 

SUBPART N: VEGETABLE OIL PROCESSING

 

Section

215.340  Hexane Extraction Soybean Crushing
215.342  Hexane Extraction Corn Oil Processing
215.344  Recordkeeping for Vegetable Oil Processes
215.345  Compliance Determination
215.346  Compliance Dates and Geographical Areas
215.347  Compliance Plan

 

SUBPART P: PRINTING AND PUBLISHING

 

Section

215.401  Flexographic and Rotogravure Printing
215.402  Exemptions
215.403  Applicability of Subpart K
215.404  Testing and Monitoring (Repealed)
215.405  Compliance Dates and Geographical Areas
215.406  Alternative Compliance Plan
215.407  Compliance Plan
215.408  Heatset Web Offset Lithographic Printing
215.409  Testing Methods for Volatile Organic Material Content
215.410  Emissions Testing

 

SUBPART Q: LEAKS FROM SYNTHETIC ORGANIC CHEMICAL AND POLYMER MANUFACTURING EQUIPMENT

 

Section

215.420  Applicability
215.421  General Requirements
215.422  Inspection Program Plan for Leaks
215.423  Inspection Program for Leaks
215.424  Repairing Leaks
215.425  Recordkeeping for Leaks
215.426  Report for Leaks
215.427  Alternative Program for Leaks
215.428  Compliance Dates
215.429  Compliance Plan
215.430  General Requirements
215.431  Inspection Program Plan for Leaks
215.432  Inspection Program for Leaks
215.433  Repairing Leaks
215.434  Recordkeeping for Leaks
215.435  Report for Leaks
215.436  Alternative Program for Leaks
215.437  Open-Ended Valves
215.438  Standards for Control Devices
215.439  Compliance Plan

 

SUBPART R: PETROLEUM REFINING AND RELATED
INDUSTRIES; ASPHALT MATERIALS

 

Section

215.441  Petroleum Refinery Waste Gas Disposal
215.442  Vacuum Producing Systems
215.443  Wastewater (Oil/Water) Separator
215.444  Process Unit Turnarounds
215.445  Leaks: General Requirements
215.446  Monitoring Program Plan for Leaks
215.447  Monitoring Program for Leaks
215.448  Recordkeeping for Leaks
215.449  Reporting for Leaks
215.450  Alternative Program for Leaks
215.451  Sealing Device Requirements
215.452  Compliance Schedule for Leaks
215.453  Compliance Dates and Geographical Areas

 

SUBPART S: RUBBER AND MISCELLANEOUS
PLASTIC PRODUCTS

 

Section

215.461  Manufacture of Pneumatic Rubber Tires
215.462  Green Tire Spraying Operations
215.463  Alternative Emission Reduction Systems
215.464  Emissions Testing
215.465  Compliance Dates and Geographical Areas
215.466  Compliance Plan
215.467  Testing Methods for Volatile Organic Material Content

 

SUBPART T: PHARMACEUTICAL MANUFACTURING

 

Section

215.480  Applicability of Subpart T
215.481  Control of Reactors, Distillation Units, Crystallizers, Centrifuges and Vacuum Dryers
215.482  Control of Air Dryers, Production Equipment Exhaust Systems and Filters
215.483  Material Storage and Transfer
215.484  In-Process Tanks
215.485  Leaks
215.486  Other Emission Sources
215.487  Testing
215.488  Monitors for Air Pollution Control Equipment
215.489  Recordkeeping (Renumbered)
215.490  Compliance Schedule (Renumbered)

 

SUBPART U: COKE MANUFACTURING AND BY-PRODUCT RECOVERY

 

Section

215.500  Exceptions
215.510  Coke By-Product Recovery Plants
215.512  Coke By-Product Recovery Plant Leaks
215.513  Inspection Program
215.514  Recordkeeping Requirements
215.515  Reporting Requirements
215.516  Compliance Dates
215.517  Compliance Plan

 

SUBPART V: AIR OXIDATION PROCESSES

 

Section

215.520  Applicability
215.521  Definitions
215.525  Emission Limitations for Air Oxidation Processes
215.526  Testing and Monitoring
215.527  Compliance Date

 

SUBPART W: AGRICULTURE

 

Section

215.541  Pesticide Exception

 

SUBPART X: CONSTRUCTION

 

Section

215.561  Architectural Coatings
215.562  Paving Operations
215.563  Cutback Asphalt

 

SUBPART Y: GASOLINE DISTRIBUTION

Section
 
215.581  Bulk Gasoline Plants
215.582  Bulk Gasoline Terminals
215.583  Gasoline Dispensing Facilities - Storage Tank Filling Operations
215.584  Gasoline Delivery Vessels
215.585  Gasoline Volatility Standards (Repealed)
215.586  Emissions Testing

 

SUBPART Z: DRY CLEANERS

 

Section

215.601  Perchloroethylene Dry Cleaners (Repealed)
215.602  Exemptions (Repealed)
215.603  Leaks (Repealed)
215.604  Compliance Dates and Geographical areas (Repealed)
215.605  Compliance Plan (Repealed)
215.606  Exception to Compliance Plan (Repealed)
215.607  Standards for Petroleum Solvent Dry Cleaners
215.608  Operating Practices for Petroleum Solvent Dry Cleaners
215.609  Program for Inspection and Repair of Leaks
215.610  Testing and Monitoring
215.611  Exemption for Petroleum Solvent Dry Cleaners
215.612  Compliance Dates and Geographical Areas
215.613  Compliance Plan
215.614  Testing Method for Volatile Organic Material Content of Wastes
215.615  Emissions Testing

 

SUBPART AA: PAINT AND INK MANUFACTURING

 

Section

215.620  Applicability
215.621  Exemption for Waterbase Material and Heatset Offset Ink
215.623  Permit Conditions
215.624  Open-top Mills, Tanks, Vats or Vessels
215.625  Grinding Mills
215.628  Leaks
215.630  Clean Up
215.636  Compliance Date
 

SUBPART BB: POLYSTYRENE PLANTS

 

Section

215.875  Applicability of Subpart BB
215.877  Emissions Limitation at Polystyrene Plants
215.879  Compliance Date
215.881  Compliance Plan
215.883  Special Requirements for Compliance Plan
215.886  Emissions Testing

 

SUBPART PP: MISCELLANEOUS FABRICATED PRODUCT MANUFACTURING PROCESSES

 

Section

215.920  Applicability
215.923  Permit Conditions
215.926  Control Requirements

 

SUBPART QQ: MISCELLANEOUS FORMULATION
MANUFACTURING PROCESSES

 

Section

215.940  Applicability
215.943  Permit Conditions
215.946  Control Requirements

 

SUBPART RR: MISCELLANEOUS ORGANIC CHEMICAL MANUFACTURING PROCESSES

 

Section

215.960  Applicability
215.963  Permit Conditions
215.966  Control Requirements

 

215.APPENDIX A  Rule into Section Table
215.APPENDIX B  Section into Rule Table
215.APPENDIX C  Past Compliance Dates
215.APPENDIX D  List of Chemicals Defining Synthetic Organic Chemical and Polymer Manufacturing
215.APPENDIX E  Reference Methods and Procedures
215.APPENDIX F  Coefficients for the Total Resource Effectiveness Index (TRE) Equation

 
AUTHORITY: Implementing Sections 9.1 and 10 and authorized by Section 27 of the Environmental Protection Act [415 ILCS 5/9.1, 10 and 27].
 
SOURCE: Adopted as Chapter 2: Air Pollution, Rule 205: Organic Material Emission Standards and Limitations, R71-23, 4 PCB 191, filed and effective April 14, 1972; amended in R77-3, 33 PCB 357, at 3 Ill. Reg. 18, p. 41, effective May 3, 1979; amended in R78-3 and R78-4, 35 PCB 75, at 3 Ill. Reg. 30, p. 124, effective July 28, 1979; amended in R80-5 at 7 Ill. Reg. 1244, effective January 21, 1983; codified at 7 Ill. Reg. 13601 Corrected at 7 Ill. Reg. 14575; amended in R82-14 at 8 Ill. Reg. 13254, effective July 12, 1984; amended in R83-36 at 9 Ill. Reg. 9114, effective May 30, 1985; amended in R82-14 at 9 Ill. Reg. 13960, effective August 28, 1985; amended in R85-28 at 11 Ill. Reg. 3127, effective February 3, 1987; amended in R82-14 at 11 Ill. Reg. 7296, effective April 3, 1987; amended in R85-21(A) at 11 Ill. Reg. 11770, effective June 29, 1987; recodified in R86-39 at 11 Ill. Reg. 13541; amended in R82-14 and R86-12 at 11 Ill. Reg. 16706, effective September 30, 1987; amended in R85-21(B) at 11 Ill. Reg. 19117, effective November 9, 1987; amended in R86-36, R86-39, R86-40 at 11 Ill. Reg. 20829, effective December 14, 1987; amended in R82-14 and R86-37 at 12 Ill. Reg. 815, effective December 24, 1987; amended in R86-18 at 12 Ill. Reg. 7311, effective April 8, 1988; amended in R86-10 at 12 Ill. Reg. 7650, effective April 11, 1988; amended in R88-23 at 13 Ill. Reg. 10893, effective June 27, 1989; amended in R88-30(A) at 14 Ill. Reg. 3555, effective February 27, 1990; emergency amendments in R88-30A at 14 Ill. Reg. 6421, effective April 11, 1990, for a maximum of 150 days; amended in R88-19 at 14 Ill. Reg. 7596, effective May 8, 1990; amended in R89-16(A) at 14 Ill. Reg. 9173, effective May 23, 1990; amended in R88-30(B) at 15 Ill. Reg. 3309, effective February 15, 1991; amended in R88-14 at 15 Ill. Reg. 8018, effective May 14, 1991; amended in R91-7 at 15 Ill. Reg. 12217, effective August 19, 1991; amended in R91-10 at 15 Ill. Reg. 15595, effective October 11, 1991; amended in R89-7(B) at 15 Ill. Reg. 17687, effective November 26, 1991; amended in R91-9 at 16 Ill. Reg. 3132, effective February 18, 1992; amended in R91-24 at 16 Ill. Reg. 13555, effective August 24, 1992; amended in R91-30 at 16 Ill. Reg. 13849, effective August 24, 1992; amended in R98-15 at 22 Ill. Reg. 11427, effective June 19, 1998; amended in R12-24 at 37 Ill. Reg. 1683, effective January 28, 2013; expedited correction at 37 Ill. Reg. 16858, effective January 28, 2013; amended in R19-1 at 44 Ill. Reg.15032, effective September 4, 2020.
 

 

 

SUBPART A: GENERAL PROVISIONS
 



Section 215.100  Introduction
 

a)  This Part contains standards and limitations for emissions of organic material from stationary sources located in areas other than the Chicago area counties of Cook, DuPage, Kane, Lake, McHenry, and Will, the Townships of Aux Sable and Goose Lake in Grundy County, and the Township of Oswego in Kendall County, and the Metro East area counties of Madison, Monroe, and St. Clair. Standards and limitations applying in the Chicago area are set forth in 35 Ill. Adm. Code 218. Standards and limitations applying in the Metro East area are set forth in 35 Ill. Adm. Code 219.
 
1)  Notwithstanding any other provision of this Part, the provisions of this Part shall not apply to sources located in the Chicago area counties of Cook, DuPage, Kane, Lake, McHenry, and Will, the Townships of Aux Sable and Goose Lake in Grundy County, and the Township of Oswego in Kendall County, unless the provisions of 35 Ill. Adm. Code Part 218 applicable to such sources are voided or otherwise made ineffective pursuant to Section 218.100 of 35 Ill. Adm. Code Part 218.
 
2)  Notwithstanding any other provision of this Part, the provisions of this Part shall not apply to sources in the Metro East area counties of Madison, Monroe and St. Clair unless the provisions of 35 Ill. Adm. Code Part 219 applicable to such sources are voided or otherwise made ineffective pursuant to Section 219.100 of 35 Ill. Adm. Code Part 219.
 
b)  Sources subject to this Part may be subject to the following:
 
1)  Permits required under 35 Ill. Adm. Code 201;
 
2)  Air quality standards under 35 Ill. Adm. Code 243.
 
c)  This Part is divided into Subparts which are grouped as follows:
 
1)  Subpart A: General Provisions;
 
2)  Subpart B - J: Emissions from equipment and operations in common to more than one industry;
 
3)  Subparts K - M: Emissions from use of organic material;
 
4)  Subpart N - end: Special rules for various industry groups.

 
(Source: Amended at 16 Ill. Reg. 13849, effective August 24, 1992)
 
 



Section 215.101  Clean-up and Disposal Operations
 
Emission of organic material released during clean-up operations and disposal shall be included with other emissions of organic material from the related emission source or air pollution control equipment in determining total emissions.
 
(Source: Amended at 3 Ill. Reg. 30, p. 124, effective July 28, 1979)
 
 



Section 215.102  Testing Methods
 
Volatile organic material or organic material concentrations in a stream is measured by Method 18, 40 CFR 60, Appendix A, incorporated by reference in Section 215.105, Measurement of Gaseous Organic Compounds incorporated by reference in 215.105 except as follows. ASTM D-4457, incorporated by reference in Section 215.105, may be used for halogenated organic compounds. Method 25, 25A or 25B, 40 CFR 60, Appendix A, incorporated by reference in 215.105 may be substituted for Method 18 provided the source owner or operator submits calibration data and other proof that this method provides the information in the emission units of the applicable standard. The volumetric flow rate and gas velocity is determined in accordance with Methods 1, 1A, 2, 2A, 2C, 2D, 3 and 4, 40 CFR Part 60, Appendix A, incorporated by reference in 215.105. Any other alternate test method must be approved by the Agency, which shall consider data comparing the performance of the proposed alternative to the performance of the approved test method(s). If the Agency determines that such data demonstrates that the proposed alternative will achieve results equivalent to the approved test method(s), the Agency shall approve the proposed alternative.
 
(Source: Amended at 15 Ill. Reg. 8018, effective May 14, 1991)
 
 



Section 215.103  Abbreviations and Conversion Factors
 

a)  The following abbreviations are used in this Part:

 

  bbl barrels (42 gal)
  C degrees Celsius or centigrade
  cu in cubic inches
  F degrees Fahrenheit
  ft foot
  g gram
  g/mole grams per mole
  gal gallon
  hr hour
  in inch
  K degrees Kelvin
  kcal kilocalorie
  kg kilogram
  kg/hr kilograms per hour
  kPa kilopascals; one thousand newtons per square meter
  l liter
  lb pound
  lbs/hr pounds per hour
  lbs/gal pounds per gallon
  m meter
  Mg megagram, metric ton or tonne
  min minute
  MJ megajoules
  mm Hg millimeters of mercury
  ml milliliter
  ppm parts per million
  ppmv parts per million by volume
  psi pounds per square inch
  psia pounds per square inch absolute
  psig pounds per square inch guage
  scm standard cubic meters
  T English ton

 

b)  The following conversion factors have been used in this Part:

 

  English Metric
     
  1 gal 3.785 1
  1000 gal 3,785 1 or 3.785 cubic meters
  1 psia 6.897 kPa (51.71 mm Hg)
  2.205 lbs 1 kg
  1 bbl 159.01 1
  1 cu in 16.39 ml
  1 lb/gal 119,800 mg/l
  1T 0.907 mg

 

 
(Source: Amended at 12 Ill. Reg. 815, effective December 24, 1987)
 

 



Section 215.104  Definitions
 
The definitions of 35 Ill. Adm. Code 201 and 211 apply to this Part, as well as the definitions contained in this Section. When the definition contained in this Section is more specific than that found in 35 Ill. Adm. Code 201 or 211, it shall take precedence in application of this Part.
 

 "Furniture Coating Application Line": The combination of coating application equipment, flash-off area, spray booths, ovens, conveyors, and other equipment operated in a predetermined sequence for purpose of applying coating to wood furniture.
 
 "In Vacuum Service": For the purposes of Subpart Q, Sections 215.430 through 215.438 equipment that is operating at an internal pressure that is at least 5 kPa (0.73 psia) below ambient pressure.
 
 "Opaque Stains": All stains containing pigments not classified as semi-transparent stains, including stains, glazes and other opaque material to give character to wood.
 
 

(Source: Amended at 37 Ill. Reg. 1683, effective January 28, 2013)
 
 



Section 215.105  Incorporation by Reference
 
The following materials are incorporated by reference:
 

a)  American Society for Testing and Materials, 100 Barr Harbor Drive, West Conshohocken PA 19428-9555:
 
1)  ASTM D 1644-59 Method A
 
2)  ASTM D 1475-60
 
3)  ASTM D 2369-81
 
4)  ASTM D 2879-83 (Approved 1983); ASTM D 2879-86 (Approved 1986)
 
5)  ASTM D 86-82 (Approved 1982)
 
6)  ASTM E 260-73 (Approved 1973), E 168 - 67 (Reapproved 1977), E 169 - 63 (Reapproved 1981), E 20 (Approved 1985)
 
7)  ASTM D 97-66
 
8)  ASTM D 1946-67
 
9)  ASTM D 2382-76
 
10)  ASTM D 2504-83
 
11)  ASTM D 2382-83
 
12)  ASTM D-4953-89
 
13)  ASTM D-4457-85
 
b)  Federal Standard 141a, Method 4082.1.
 
c)  National Fire Codes, National Fire Protection Association, Battery March Park, Quincy, Massachusetts 02269 (1979).
 
d)  United States Environmental Protection Agency, Washington, D.C., EPA-450/2-77-026, Appendix A.
 
e)  United States Environmental Protection Agency, Washington, D.C., EPA-450/2-78-051 Appendix A and Appendix B (December 1978).
 
f)  Standards Industrial Classification Manual, published by Executive Office of the President, Office of Management and Budget, Washington, D.C., 1972.
 
g)  40 CFR 60 (1989).
 
h)  United States Environmental Protection Agency, Washington D.C., EPA-450/2-78-041.
 
i)  Elsevier Scientific Publishing Co., New York, "The Vapor Pressure of Pure Substances" (1973), Boublik, T., V. Fried and E. Hala.
 
j)  McGraw-Hill Book Company, "Perry's Chemical Engineer's Handbook" (1984).
 
k)  Chemical Rubber Publishing Company, "CRC Handbook of Chemistry and Physics" (1968-87).
 
l)  McGraw-Hill Book Company, "Lange's Handbook of Chemistry" (1985) John A. Dean, editor.
 
m)  United States Environmental Protection Agency, Washington D.C., "Control of Volatile Organic Emissions from Manufacture of Synthesized Pharmaceutical Products", (EPA-450/2-78-029).
 
BOARD NOTE: The incorporations by reference listed in this Section contain no later amendments or editions.
 

(Source: Amended at 37 Ill. Reg. 1683, effective January 28, 2013)
 
 



Section 215.106  Afterburners
 
The operation of any oil fired or natural gas fired after-burner and capture system used to comply with this Part of any section thereof is not required during the period of November 1 of any year to April 1 of the following year provided that:

 
a)  The operation of such devices is not required for purposes of occupational safety or health, or for the control of toxic substances, odor nuisances or other regulated pollutants; and
 
b)  Such devices are operated for the duration of any period for which an ozone advisory, alert or emergency has been declared pursuant to 35 Ill. Adm. Code 244.

 
(Source: Amended at 3 Ill. Reg. 30, p. 124, effective July 28, 1979)
 
 



Section 215.107  Determination of Applicability
 

a)  In determining the applicability of regulations in this Part which are qualified by "when averaged over the preceding three calendar years" the "preceding three calendar years" shall mean:
 
1)  The three years preceding the date by which compliance is required for purposes of determining initial applicability to existing sources;
 
2)  Any consecutive three year period for purposes of determining applicability to sources not previously subject to the regulation on the date by which compliance is required.
 
b)  Sources to which the regulation has been applicable at any time shall continue to be subject to the applicable limitations even if operations change so as to result in an average which is below that which initially made the regulation applicable to those sources' operations.

 
(Source: Added in R85-21(A) at 11 Ill. Reg. 11770, effective June 29, 1987)
 
 



Section 215.108  Measurement of Vapor Pressures
 

a)  Vapor Pressure of Volatile Organic Liquids
 
1)  If the volatile organic liquid consists of only a single compound, the vapor pressure shall be determined by ASTM Method D 2879-86, or the vapor pressure may be obtained from a published source such as "The Vapor Pressure of Pure Substances," "Perry's Chemical Engineer's Handbook," "CRC Handbook of Chemistry and Physics," or "Lange's Handbook of Chemistry," each source incorporated by reference at Section 215.105.
 
2)  If the volatile organic liquid is a mixture, the vapor pressure shall be determined by ASTM Method D 2879-86 or by the following equation:
 

n
Pvol= S PiXi
i=1

 
where:
 
Pvo1 = Total vapor pressure of the mixture.
 
n = Number of components in the mixture.
 
i = Subscript denoting an individual component.
 
Pi = Vapor pressure of a component determined in accordance with subsection (a)(1).
 
Xi = Mole fraction of the component in the total mixture.
 
b)  Vapor Pressure of Organic Material or Solvent
 
1)  If the organic material or solvent consists of only a single compound, the vapor pressure shall be determined by ASTM Method D2879-86, or the vapor pressure may be obtained from a published source such as "The Vapor Pressure of Pure Substances," "Perry's Chemical Engineer's Handbook," "CRC Handbook of Chemistry and Physics," or "Lange's Handbook of Chemistry," each source incorporated by reference at Section 215.105.
 
2)  If the organic material or solvent is a mixture made up of both organic material compounds and compounds which are not organic material, the vapor pressure shall be determined by the following equation:
 

n
       S PiXi
Pom= i=1
n
     S Xi
i=1

 
where:
 
Pom = Total vapor pressure of the portion of the mixture which is composed of organic material.
 
n = Number of organic material components in the mixture.
 
i = Subscript denoting an individual component.
 
Pi = Vapor pressure of an organic material component determined in accordance with subsection (b)(1).
 
Xi = Mole fraction of the organic material component of the total mixture.
 
3)  If the organic material or solvent is a mixture made up of only organic material compounds, the vapor pressure shall be determined by ASTM Method D2879-86 or by the above equation.

 

c)  Vapor Pressure of Volatile Organic Material

 

1)  If the volatile organic material consists of only a single compound, the vapor pressure shall be determined by ASTM Method D2879-86, or the vapor pressure may be obtained from a published source such as "The Vapor Pressure of Pure Substances," "Perry's Chemical Engineer's Handbook," "CRC Handbook of Chemistry and Physics," or "Lange's Handbook of Chemistry," each source incorporated by reference at Section 215.105.
 
2)  If the volatile organic material is a mixture made up of both volatile organic material compounds and compounds which are not volatile organic material, the vapor pressure shall be determined by the following equation:
 

n
       S PiXi
Pvom= i=1       
n
     S Xi
i=1

 
where:
 
Pvom = Total vapor pressure of the portion of the mixture which is composed of volatile organic material.
 
n = Number of volatile organic material components in the mixture.
 
i = Subscript denoting an individual component.
 
Pi = Vapor pressure of a volatile organic material component determined in accordance with subsection (c)(1).
 
Xi = Mole fraction of the volatile organic material component of the total mixture.
 
3)  If the volatile organic material is a mixture made up of only volatile organic material compounds, the vapor pressure shall be determined by ASTM D2879-86 or by the above equation.

 
(Source: Added at 15 Ill. Reg. 8018, effective May 14, 1991)
 
 
 



SUBPART A: GENERAL PROVISIONS

 



Section 215.109  Monitoring for Negligibly-Reactive Compounds
 
Any provision of 35 Ill. Adm. Code 211 notwithstanding, the Agency may require an owner or operator to submit monitoring or testing methods and results for any of the compounds listed at 35 Ill. Adm. Code 211.7150 as exempted from the definition of “volatile organic material” demonstrating the amount of exempted compounds in the source's emissions, as a precondition to such exemption, where direct quantification of volatile organic material emissions is not possible due to any of the following circumstances which make it necessary to quantify the exempt compound emissions in order to quantify volatile organic material emissions:
 

a)  VOMs and exempted compounds are mixed together in the same emissions;

 

b)  There are a large number of exempted compounds in the same emissions; or

 

c)  The chemical composition of the exempted compounds in the emissions is not known.

 

Board Note: Derived from the USEPA “Recommended Policy on the Control of Volatile Organic Compounds”, as amended at 56 Fed. Reg. 11418, March 18, 1991, and subsequently codified as 40 CFR 51.100(s), as added at 57 Fed. Reg. 3941 (Feb. 3, 1992). See also 35 Ill. Adm. Code 211.7150 for the basic definition of “volatile organic material.” USEPA is not bound by any state determination as to monitoring. 40 CFR 51.100(s)(4).

 
(Source: Amended at 22 Ill. Reg. 11427, effective June 19, 1998)
 

 
 



SUBPART B: ORGANIC EMISSIONS FROM STORAGE AND LOADING OPERATIONS

 



Section 215.121  Storage Containers
 
No person shall cause or allow the storage of any volatile organic liquid with a vapor pressure of 17.24 kPa (2.5 psia) or greater at 294.3 K (70 F) or any gaseous organic material in any stationary tank, reservoir or other container of more than 151 cubic meters (40,000 gal) capacity unless such tank, reservoir or other container:
 

a)  Is a pressure tank capable of withstanding the vapor pressure of such liquid or the pressure of the gas, so as to prevent vapor or gas loss to the atmosphere at all times; or,
 
b)  Is designed and equipped with one of the following vapor loss control devices:

 

1)  A floating roof which rests on the surface of the volatile organic liquid and is equipped with a closure seal or seals between the roof edge and the tank wall. Such floating roof shall not be permitted if the volatile organic liquid has a vapor pressure of 86.19 kPa (12.5 psia) or greater at 294.3   K (70   F). No person shall cause or allow the emission of air contaminants into the atmosphere from any gauging or sampling devices attached to such tanks, except during sampling or maintenance operations.

 

2)  A vapor recovery system consisting of:

 

A)  A vapor gathering system capable of collecting 85% or more of the uncontrolled volatile organic material that would be otherwise emitted to the atmosphere; and,
 
B)  A vapor disposal system capable of processing such volatile organic material so as to prevent its emission to the atmosphere. No person shall cause or allow the emission of air contaminants into the atmosphere from any gauging or sampling devices attached to such tank, reservoir or other container except during sampling.

 

3)  Other equipment or means of equal efficiency approved by the Agency according to the provisions of 35 Ill. Adm. Code 201.

 
(Source: Amended at 12 Ill. Reg. 815, effective December 24, 1987)
 
 



Section 215.122  Loading Operations
 

a)  No person shall cause or allow the discharge of more than 3.6 kg/hr (8 lbs/hr) of organic material into the atmosphere during the loading of any organic material from the aggregate loading pipes of any loading facility having through-put of greater than 151 cubic meters per day (40,000 gal/day) into any railroad tank car, tank truck or trailer unless such loading facility is equipped with submerged loading pipes, submerged fill, or a device that is equally effective in controlling emissions and is approved by the Agency according to the provisions of 35 Ill. Adm. Code 201.
 
b)  No person shall cause or allow the loading of any organic material into any stationary tank having a storage capacity of greater than 946 1 (250 gal), unless such tank is equipped with a permanent submerged loading pipe, submerged fill, or an equivalent device approved by the Agency according to the provisions of 35 Ill. Adm. Code 201 or unless such tank is a pressure tank as described in Section 215.121(a) or is fitted with a recovery system as described in Section 215.121(b)(2).
 
c)  Exception: If no odor nuisance exists the limitations of this Section shall only apply to the loading of volatile organic liquid with a vapor pressure of 17.24 kPa (2.5 psia) or greater at 294.3 ° K (70 ° F).

 
(Source: Amended at 14 Ill. Reg. 9173, effective May 23, 1990)
 
 



Section 215.123  Petroleum Liquid Storage Tanks
 

a)  The requirements of subsection (b) below shall not apply to any stationary storage tank:
 
1)  Equipped before January 1, 1979 with one of the vapor loss control devices specified in Section 215.121(b) of this Part, except Section 215.121(b)(1) of this Part;
 
2)  With a capacity of less than 151.42 cubic meters;
 
3)  With a capacity of less than 1,600 cubic meters (422,400 gallons) and used to store produced crude oil and condensate prior to custody transfer;
 
4)  With a capacity of less than 1,430 cubic meters (378,000 gallons) and used to store produced oil or condensate in crude oil gathering;
 
5)  Subject to new source performance standards for storage vessels of petroleum liquid, 40 CFR 60, incorporated by reference in Section 215.105 of this Part. The provisions of Section 111 of the Clean Air Act...relating to standards of performance for new stationary sources...are applicable in this State and are enforceable under [The Environmental Protection Act]. (Ill. Rev. Stat., ch. 111 1/2, par. 1009.1(b)).
 
6)  In which volatile petroleum liquid is not stored; or
 
7)  Which is a pressure tank as described in Section 215.121(a) of this Part.
 
b)  Subject to subsection (a) above no owner or operator of a stationary storage tank shall cause or allow the storage of any volatile pertroleum liquid in the tank unless:
 
1)  The tank is equipped with one of the vapor loss control devices specified in Section 215.121(b) of this Part;
 
2)  There are no visible holes, tears or other defects in the seal or any seal fabric or material of any floating roof;
 
3)  All openings of any floating roof deck, except stub drains, are equipped with covers, lids or seals such that:
 
A)  The cover, lid or seal is in the closed position at all times except when petroleum liquid is transferred to or from the tank;
 
B)  Automatic bleeder vents are closed at all times except when the roof is floated off or landed on the roof leg supports; and
 
C)  Rim vents, if provided, are set to open when the roof is being floated off the roof leg supports or at the manufacturer's recommended setting;
 
4)  Routine inspections of floating roof seals are conducted through roof hatches once every six months;
 
5)  A complete inspection of the cover and seal of any floating roof tank is made whenever the tank is emptied for reasons other than the transfer of petroleum liquid during the normal operation of the tank, or whenever repairs are made as a result of any semi-annual inspection or incidence of roof damage or defect; and
 
6)  A record of the results of each inspection conducted under subsection (b)(4) or (b)(5) above is maintained.
 
c)  Owners and operators of petroleum liquid storage tanks were required to have compliance schedules as summarized in Appendix C of this Part.

 
(Source: Amended at 16 Ill. Reg. 13849, effective August 24, 1992)
 
 



Section 215.124  External Floating Roofs
 

a)  In addition to meeting the requirements of Section 215.123(b), no owner or operator of a stationary storage tank equipped with an external floating roof shall cause or allow the storage of any volatile petroleum liquid in the tank unless:
 
1)  The tank has been fitted with a continuous secondary seal extending from the floating roof to the tank wall (rim mounted secondary seal) or any other device which controls volatile organic material emissions with an effectiveness equal to or greater than a rimmounted secondary seal;
 
2)  Each seal closure device meets the following requirements:
 
A)  The seal is intact and uniformly in place around the circumference of the floating roof between the floating roof and tank wall; and
 
B)  The accumulated area of gaps exceeding 0.32 centimeter (1/8 inch) in width between the secondary seal and the tank wall shall not exceed 21.2 square centimeters per meter of tank diameter (1.0 square inches per foot of tank diameter).
 
3)  Emergency roof drains are provided with slotted membrane fabric covers or equivalent covers across at least 90 percent of the area of the opening;
 
4)  Openings are equipped with projections into the tank which remain below the liquid surface at all times;
 
5)  Inspections are conducted prior to May 1 of each year to insure compliance with subsection (a);
 
6)  The secondary seal gap is measured prior to May 1 of each year;
 
7)  Records of the types of volatile petroleum liquid stored, the maximum true vapor pressure of the liquid as stored, the results of the inspections and the results of the secondary seal gap measurements are maintained and available to the Agency, upon verbal or written request, at any reasonable time for a minimum of two years after the date on which the record was made.
 
b)  Subsection (a) does not apply to any stationary storage tank equipped with an external floating roof:
 
1)  Exempted under Section 215.123(a)(2) through 215.123(a)(6);
 
2)  Of welded construction equipped with a metallic-type shoe seal having a secondary seal from the top of the shoe seal to the tank wall (shoe-mounted secondary seal);
 
3)  Of welded construction equipped with a metallic-type shoe seal, a liquid-mounted foam seal, or a liquid-mounted liquid-filled-type seal, or other closure device of equivalent control efficiency approved by the Agency in which a petroleum liquid with a true vapor pressure less than 27.6 kPa (4.0 psia) at 294.3 K (70 F) is stored; or
 
4)  Used to store crude oil.

 
(Source: Amended at 14 Ill. Reg. 9173, effective May 23, 1990)
 
 



Section 215.125  Compliance Dates and Geographical Areas
 

a)  Except as otherwise stated in subsection (b), every owner or operator of an emission source subject to Sections 215.123 or 215.124 shall comply with its standards and limitations by December 31, 1983.
 
b)  If an emission source is not located in one of the counties listed below and is also not located in any county contiguous thereto, the owner or operator of the emission source shall comply with the requirements of Sections 215.123 and 215.124 no later than December 31, 1987:
 
Cook  Macoupin
DuPage  Madison
Kane  Monroe
Lake  Saint Clair
 
(BOARD NOTE: These counties are proposed to be designated as nonattainment by the United States Environmental Protection Agency at 47 Fed. Reg. 31588, July 21, 1982).
 
c)  Notwithstanding subsection (b), if any county is designated as nonattainment by the United States Environmental Protection Agency (USEPA) at any time subsequent to the effective date of this Section, the owner or operator of an emission source located in that county or any county contiguous to that county who would otherwise be subject to the compliance date in subsection (b) shall comply with the requirements of Sections 215.123 and 215.124 within one year from the date of redesignation but in no case later than December 31, 1987.

 
(Source: Adopted at 7 Ill. Reg. 1244, effective January 21, 1983)
 
 



Section 215.126  Compliance Plan
 

a)  The owner or operator of an emission source subject to Section 215.125(a) shall submit to the Agency a compliance plan as required by 35 Ill. Adm. Code 201.241, including a project completion schedule where applicable, no later than April 21, 1983.
 
b)  The owner or operator of an emission source subject to Section 215.125(b) shall submit to the Agency a compliance plan, including a project completion schedule where applicable, no later than December 31, 1986.
 
c)  The owner or operator of an emission source subject to Section 215.125(c) shall submit a compliance plan, including a project completion schedule within 90 days after the date of redesignation, but in no case later than December 31, 1986.
 
d)  Unless the submitted compliance plan or schedule is disapproved by the Agency, the owner or operator of a facility or emission source subject to the rules specified in subsections (a), (b) or (c) may operate the emission source according to the plan and schedule as submitted.
 
e)  The plan and schedule shall meet the requirements of 35 Ill. Adm. Code 201.241 including specific interim dates as required in 35 Ill. Adm. Code 201.242.

 
(Source: Adopted at 7 Ill. Reg. 1244, effective January 21, 1983)
 
 



Section 215.127  Emissions Testing
 

a)  Any tests of organic material emissions, including tests conducted to determine control equipment efficiency, shall be conducted in accordance with the methods and procedures specified in Section 215.102.
 
b)  Upon a reasonable request by the Agency, the owner or operator of an organic material emission source required to comply with this Subpart shall conduct emissions testing, at such person's own expense, to demonstrate compliance.
 
c)  A person planning to conduct an organic material emission test to demonstrate compliance with this Subpart shall notify the Agency of that intent not less than 30 days before the planned initiation of the tests so the Agency may observe the test.

 
(Source: Added at 14 Ill. Reg. 9173, effective May 23, 1990)
 
 



Section 215.128  Measurement of Seal Gaps
 

a)  Any measurements of secondary seal gaps shall be conducted in accordance with the methods and procedures specified in 40 CFR 60, Subpart Kb incorporated by reference in Section 215.105.
 
b)  A person planning to conduct a measurement of seal gaps to demonstrate compliance with this Subpart shall notify the Agency of that intent not less than 30 days before the planned performance of the tests so the Agency may observe the test.

 
(Source: Added at 14 Ill. Reg. 9173, effective May 23, 1990)
 
 



SUBPART C: ORGANIC EMISSIONS FROM MISCELLANEOUS EQUIPMENT

 



Section 215.141  Separation Operations
 

a)  No person shall use any single or multiple compartment effluent water separator which receives effluent water containing 757 1/day (200 gal/day) or more of organic material from any equipment processing, refining, treating, storing or handling organic material unless such effluent water separator is equipped with air pollution control equipment capable of reducing by 85 percent or more the uncontrolled organic material emitted to the atmosphere. Exception: If no odor nuisance exists the limitations of this subparagraph shall not apply if the vapor pressure of the organic material is below 17.24 kPa (2.5 psia) at 294.3 K (70 F).
 
b)  Subsection (a) shall not apply to water and crude oil separation in the production of Illinois crude oil, if the vapor pressure of such crude oil is less than 34.5 kPa (5 psia).

 
(Source: Amended at 12 Ill. Reg. 815, effective December 24, 1987)
 
 



Section 215.142  Pumps and Compressors
 
No person shall cause or allow the discharge of more than 32.8 ml (2 cu in) of volatile organic liquid with vapor pressure of 17.24 kPa (2.5 psia) or greater at 294.3 K (70 F) into the atmosphere from any pump or compressor in any 15 minute period at standard conditions.
 
(Source: Amended at 12 Ill. Reg. 815, effective December 24, 1987)
 
 



Section 215.143  Vapor Blowdown
 
No person shall cause or allow the emission of organic material into the atmosphere from any vapor blowdown system or any safety relief valve, except such safety relief valves not capable of causing an excessive release, unless such emission is controlled:

 
a)  To 10 ppm equivalent methane (molecular weight 16.0) or less; or,
 
b)  By combustion in a smokeless flare; or,
 
c)  By other air pollution control equipment approved by the Agency according to the provisions of 35 Ill. Adm. Code 201.

 
 



Section 215.144  Safety Relief Valves
 
Section 215.143 shall not apply to any set of unregulated safety relief valves capable of causing excessive releases, provided the owner or operator thereof, by October 1, 1972, provides the Agency with the following:
 

a)  A historical record of each such set (or, if such records are unavailable, of similar sets which, by virtue of operation under similar circumstances, may reasonably be presumed to have the same or greater frequency of excessive releases) for a three-year period immediately preceding October 1, 1972, indicating:

 

1)  Dates on which excessive releases occurred from each such set; and,

 

2)  Duration in minutes of each such excessive release; and,

 

3)  Quantities (in pounds) of mercaptans and/or hydrogen sulfide emitted into the atmosphere during each such excessive release.

 

b)  Proof, using such three-year historical records, that no excessive release is likely to occur from any such set either alone or in combination with such excessive releases from other sets owned or operated by the same person and located within a ten-mile radius from the center point of any such set, more frequently than 3 times in any 12 month period; and,

 

c)  Accurate maintenance records pursuant to the requirements of subsection (a); and,

 

d)  Proof, at three-year intervals, using such three-year historical records, that such set conforms to the requirements of subsection (c).

 
(Source: Amended at 3 Ill. Reg. 30, p. 124, effective July 28, 1979)
 
 



SUBPART E: SOLVENT CLEANING

 



Section 215.181  Solvent Cleaning in General
 
The requirements of Sections 215.182 through 215.184 shall not apply:
 

a)  To sources whose emissions of volatile organic material do not exceed 6.8 kg (15 lbs) in any one day, nor 1.4 kg (3 lbs) in any one hour; or
 
b)  To sources used exclusively for chemical or physical analysis or determination of product quality and commercial acceptance, provided that:
 
1)  The operation of the sources is not an integral part of the production process;
 
2)  The emissions from the source do not exceed 363 kg (800 lbs) in any calendar month; and,
 
3)  The exemption is approved in writing by the Agency.

 
(Source: Amended at 3 Ill. Reg. 30, p. 124, effective July 28, 1979)
 
 



Section 215.182  Cold Cleaning
 

a)  Operating Procedures: No person shall operate a cold cleaning degreaser unless:
 
1)  Waste solvent is stored in covered containers only and not disposed of in such a manner that more than 20 percent of the waste solvent (by weight) is allowed to evaporate into the atmosphere;
 
2)  The cover of the degreaser is closed when parts are not being handled; and
 
3)  Parts are drained until dripping ceases.
 
b)  Equipment Requirements: No person shall operate a cold cleaning degreaser unless:
 
1)  The degreaser is equipped with a cover which is closed whenever parts are not being handled in the cleaner. The cover shall be designed to be easily operated with one hand or with the mechanical assistance of springs, counterweights, or a powered system if:
 
A)  The solvent vapor pressure is greater than 2 kPa (15 mmHg or 0.3 psi) measured at 38o C (100o F);
 
B)  The solvent is agitated; or
 
C)  The solvent is heated above ambient room temperature;
 
2)  The degreaser is equipped with a facility for draining cleaned parts. The drainage facility shall be constructed so that parts are enclosed under the cover while draining unless:
 
A)  The solvent vapor pressure is less than 4.3 kPa (32 mmHg or 0.6 psi) measured at 38o C (100o F); or
 
B)  An internal drainage facility cannot be fitted into the cleaning system, in which case the drainage facility may be external.
 
3)  The degreaser is equipped with one of the following control devices if the vapor pressure of the solvent is greater than 4.3 kPa (32 mmHg or 0.6 psi) measured at 38 C (100 1/4 F) or if the solvent is heated above 50o C (120o F) or its boiling point:
 
A)  A freeboard height of 7/10 of the inside width of the tank or 91 cm (36 in), whichever is less; or
 
B)  Any other equipment or system of equivalent emission control as approved by the Agency. Such a system may include a water cover, refrigerated chiller or carbon adsorber.
 
4)  A permanent conspicuous label summarizing the operating procedure is affixed to the degreaser; and
 
5)  If a solvent spray is used, the degreaser is equipped with a solid fluid stream spray, rather than a fine, atomized or shower spray.

 
 



Section 215.183  Open Top Vapor Degreasing
 

a)  Operating Requirements: No person shall operate an open top vapor degreaser unless:
 
1)  The cover of the degreaser is closed when workloads are not being processed through the degreaser;
 
2)  Solvent carryout emissions are minimized by:
 
A)  Racking parts to allow complete drainage;
 
B)  Moving parts in and out of the degreaser at less than 3.3 m/min (11 ft/min);
 
C)  Holding the parts in the vapor zone until condensation ceases;
 
D)  Tipping out any pools of solvent on the cleaned parts before removal from the vapor zone; and,
 
E)  Allowing parts to dry within the degreaser until visually dry.
 
3)  Porous or absorbent materials, such as cloth, leather, wood or rope are not degreased;
 
4)  Less than half of the degreaser's open top area is occupied with a workload;
 
5)  The degreaser is not loaded to the point where the vapor level would drop more than 10 cm (4 in) when the workload is removed from the vapor zone;
 
6)  Spraying is done below the vapor level only;
 
7)  Solvent leaks are repaired immediately;
 
8)  Waste solvent is stored in covered containers only and not disposed of in such a manner that more than 20% of the waste solvent (by weight) is allowed to evaporate into the atmosphere;
 
9)  Water is not visually detectable in solvent exiting from the water separator; and
 
10)  Exhaust ventilation exceeding 20 cubic meters per minute per square meter (65 cubic feet per minute per square foot) of degreaser open area is not used, unless necessary to meet the requirements of the Occupational Safety and Health Act (29 U.S.C. Section 651 et seq.)
 
b)  Equipment Requirements: No person shall operate an open top vapor degreaser unless:
 
1)  The degreaser is equipped with a cover designed to open and close easily without disturbing the vapor zone;
 
2)  The degreaser is equipped with the following switches:
 
A)  A device which shuts off the sump heat source if the amount of condenser coolant is not sufficient to maintain the designed vapor level; and
 
B)  A device which shuts off the spray pump if the vapor level drops more than 10 cm (4 in) below the bottom condenser coil; and
 
C)  A device which shuts off the sump heat source when the vapor level exceeds the design level.
 
3)  A permanent conspicuous label summarizing the operating procedure is affixed to the degreaser;
 
4)  The degreaser is equipped with one of the following devices:
 
A)  A freeboard height of 3/4 of the inside width of the degreaser tank or 91 cm (36 in), whichever is less; and if the degreaser opening is greater than 1 square meter (10.8 square feet), a powered or mechanically assisted cover; or
 
B)  Any other equipment or system of equivalent emission control as approved by the Agency. Such equipment or system may include a refrigerated chiller, an enclosed design or a carbon adsorption system.

 
(Source: Amended at 3 Ill. Reg. 30, p. 124, effective July 28, 1979)
 
 



Section 215.184  Conveyorized Degreasing
 

a)  Operating Requirements: No person shall operate a conveyorized degreaser unless:
 
1)  Exhaust ventilation exceeding 20 cubic meters per minute per square meter (65 cubic feet per minute per square foot) of area of loading and unloading opening is not used, unless necessary to meet the requirements of the Occupational Safety and Health Act (29 U.S.C. Section 651 et seq.)
 
2)  Solvent carryout emissions are minimized by:
 
A)  Racking parts for best drainage; and
 
B)  Maintaining the vertical conveyor speed at less than 3.3 m/min (11 ft/min);
 
3)  Waste solvent is stored in covered containers only and not disposed of in such a manner that more than 20% of the waste solvent (by weight) is allowed to evaporate into the atmosphere;
 
4)  Solvent leaks are repaired immediately;
 
5)  Water is not visually detectable in solvent exiting from the water separator; and
 
6)  Downtime covers are placed over entrances and exits of conveyorized degreasers immediately after the conveyors and exhausts are shut down and not removed until just before startup.
 
b)  Equipment Requirements: No person shall operate a conveyorized degreaser unless:
 
1)  The degreaser is equipped with a drying tunnel, rotating (tumbling) basket or other equipment sufficient to prevent cleaned parts from carrying out solvent liquid or vapor;
 
2)  The degreaser is equipped with the following switches:
 
A)  A device which shuts off the sump heat source if the amount of condenser coolant is not sufficient to maintain the designed vapor level;
 
B)  A device which shuts off the spray pump or the conveyor if the vapor level drops more than 10 cm (4 in) below the bottom condenser coil; and
 
C)  A device which shuts off the sump heat source when the vapor level exceeds the design level;
 
3)  The degreaser is equipped with openings for entrances and exits that silhouette workloads so that the average clearance between the parts and the edge of the degreaser opening is less than 10 cm (4 in) or less than 10 percent of the width of the opening;
 
4)  The degreaser is equipped with downtime covers for closing off entrances and exits when the degreaser is shut down; and
 
5)  The degreaser is equipped with one of the following control devices, if the air/vapor interface is larger than 2.0 square meters (21.6 square feet):
 
A)  A carbon adsorption system with ventilation greater than or equal to 15 cubic meters per minute per square meter (50 cubic feet per minute per square foot) of air/vapor area (when downtime covers are open, and exhausting less than 25 ppm of solvent by volume averaged over a complete adsorption cycle; or
 
B)  Any other equipment or system of equivalent emission control as approved by the Agency. Such equipment or system may include a refrigerated chiller.

 
(Source: Amended at 3 Ill. Reg. 30, p. 124, effective July 28, 1979)
 
 



Section 215.185  Compliance Plan
 

a)  Solvent cleaning and degreasing were subject to certain compliance dates which are summarized in Appendix C. Compliance programs were required under 35 Ill. Adm. Code 201, Subpart H.
 
b)  Cold cleaning degreasers were not required to submit a compliance plan or project completion schedule under 35 Ill. Adm. Code 201, Subpart H.

 
(Source: Amended at 3 Ill. Reg. 30, p. 124, effective July 28, 1979)
 
 

SUBPART F: COATING OPERATIONS

 



Section 215.202  Compliance Schedules
 
Owners or operators of coating lines were required to take certain actions to achieve compliance which are set forth in Appendix C.
 
(Source: Amended at 3 Ill. Reg. 30, p. 124, effective July 28, 1979)
 
 



Section 215.204  Emission Limitations for Manufacturing Plants

 
No owner or operator of a coating line shall cause or allow the emission of volatile organic material to exceed the following limitations on coating materials, excluding water and any compounds which are specifically exempted from the definition of volatile organic material pursuant to this Part, delivered to the coating applicator:
 

a) Automobile or Light Duty Truck Manufacturing Plants

 

1) In Boone County kg/l lb/gal
  Prime coat 0.14 (1.2)
  Prime surfacer coat 0.34 (2.8)
  Top coat 0.34 (2.8)

 

(BOARD NOTE: The top coat limitation shall not apply if by December 31, 1984 a limitation of 0.43 kg/1 (3.6 lb/gal) is achieved and the top coat is applied with a transfer efficiency of not less than 55 percent and by December 31, 1986, the top coat is applied with a transfer efficiency of not less than 65 percent)

 

  Final repair coat 0.58 (4.8)

 

2) In the remaining counties kg/l lb/gal
  Prime coat 0.14 (1.2)
  Prime surfacer coat 0.34 (2.8)
  Top coat 0.34 (2.8)
  Final repair coat 0.58 (4.8)

 

b) Can Coating kg/l lb/gal

 

1) Sheet basecoat and Overvarnish 0.34 (2.8)

 

2) Exterior basecoat and overvarnish 0.34 (2.8)

 

3) Interior body spray coat 0.51 (4.2)

 

4) Exterior end coat 0.51 (4.2)

 

5) Side seam spray coat 0.66 (5.5)

 

6) End sealing compound coat 0.44 (3.7)

 

c) Paper Coating
 
kg/l lb/gal

 

1) All paper coating except as provided in subsection (c)(2) 0.35 (2.9)

 

2) Specialty High Gloss Catalyzed Coating 0.42 (3.5)

 

(BOARD NOTE: These limitations shall not apply to equipment used for both printing and paper coating)

 

d) Coil Coating 0.31 (2.6)

 

e) Fabric Coating 0.35 (2.9)

 

f) Vinyl Coating 0.45 (3.8)

 

g) Metal Furniture Coating 0.36 (3.0)

 

h) Large Appliance Coating 0.34 (2.8)

 

(BOARD NOTE: The limitation shall not apply to the use of quick-drying lacquers for repair of scratches and nicks that occur during assembly, provided that the volume of coating does not exceed 0.95 liters (1 quart) in any one eight-hour period)

 

    kg/l lb/gal
i) Magnet Wire Coating 0.20 (1.7)

 

j) Miscellaneous Metal Parts and Products Coating    

 

1) Clear coating 0.52 (4.3)

 

2) Air dried coating 0.42 (3.5)

 

3) Extreme performance coating 0.42 (3.5)

 

4) Power driven fastener coating    

 

A) Nail Coating Refer to limits in (j) (1), (2), (3) and (5)  

 

B) Staple, brad and finish nail unit fabrication bonding coating 0.64 (5.3)

 

C) Staple, brad and finish nail incremental fabrication lubricity coating 0.64 (5.3)

 

D) Staple, brad and finish nail incremental fabrication withdrawal resistance coating 0.60 (5.0)

 

E) Staple, brad and finish nail unit fabrication coating 0.64 (5.3)

 

5) All other coatings 0.36 (3.0)

 

(BOARD NOTE: The least restrictive limitation shall apply if more than one limitation pertains to a specific coating)

 

k) Heavy Off-highway Vehicle Products kg/l lb/gal

 

1) In Macoupin County    
  Extreme performance prime coat 0.42 (3.5)
  Extreme performance top coat-air dried 0.42 (3.5)
  Final repair coat-air dried 0.42 (3.5)
  High-temperature aluminum coating used at existing diesel-electric locomotive manufacturing plants 0.72 (6.0)

 

2) In the remaining counties    
  Extreme performance prime coat 0.42 (3.5)
  Extreme performance top coat-air dried 0.52 (4.3)
  Final repair coat- air dried 0.58 (4.8)

 

l) Wood Furniture Coating kg/l lb/gal

 

1) Clear topcoat 0.67 (5.6)

 

2) Opaque stain 0.56 (4.7)

 

3) Pigmented coat 0.60 (5.0)

 

4) Repair coat 0.67 (5.6)

 

5) Sealer 0.67 (5.6)

 

6) Semi-transparent stain 0.79 (6.6)

 

7) Wash coat 0.73 (6.1)

 

(BOARD NOTE: The repair coat has overall transfer efficiency of 30 percent; all others have an overall transfer efficiency of 65 percent.)

 
(Source: Amended at 22 Ill. Reg. 11427, effective June 19, 1998)
 
 



Section 215.205  Alternative Emission Limitations

 
Owners or operators of coating lines subject to Section 215.204 may comply with this Section, rather than with Section 215.204. The methods or procedures used to determine emissions of organic material under this Section shall be approved by the Agency. Emissions of volatile organic material from emission units subject to Section 215.204, are allowable, notwithstanding the limitations in Section 215.204, if:
 

a)  For those emission units subject to Section 215.204(b), the emissions are controlled by an afterburner system which provides:

 

1)  75% reduction in the overall emissions of volatile organic material from the coating line, and

 

2)  Oxidation to carbon dioxide and water of 90% of the nonmethane volatile organic material (measured as total combustible carbon) which enters the afterburner.

 

b)  For all other emission units subject to Section 215.204, the emissions are controlled by an afterburner system which provides:

 

1)  81% reduction in the overall emissions of volatile organic material from the coating line, and

 

2)  Oxidation to carbon dioxide and water of 90% of the nonmethane volatile organic material (measured at total combustible carbon) which enters the afterburner.

 

c)  The system used to control such emissions is demonstrated to have control efficiency equivalent to or greater than that provided under the applicable provision of Section 215.204 or subsection (a) or (b).

 
(Source: Amended at 22 Ill. Reg. 11427, effective June 19, 1998)
 
 



Section 215.206  Exemptions from Emission Limitations

 

a)  The limitations of this Subpart shall not apply to:

 

1)  Coating plants in which emissions of volatile organic material as limited by the operating permit will not exceed 22.7 Mg/year (25 T/year), in the absence of air pollution control equipment; or

 

2)  Coating plants in which the total coating usage does not exceed 9,463 l/yr (2,500 gal/yr); or

 

3)  Sources used exclusively for chemical or physical analysis or determination of product quality and commercial acceptance provided that:

 

A)  The operation of the source is not an integral part of the production process;

 

B)  The emissions from the source do not exceed 363 kg (800 lbs) in any calendar month; and

 

C)  The exemption is approved in writing by the Agency.

 

b)  The limitations of this Subpart shall not apply to touch-up and repair coatings used by a coating source described in Sections 215.204(b), (d), (f), (g), (i), and (j) of this Subpart; provided that the source-wide volume of such coatings does not exceed 0.95 l (1 quart) per eight-hour period or exceed 209 l/yr (55 gal/yr) for any rolling twelve-month period. Recordkeeping and reporting for touch-up and repair coatings shall be consistent with subsection (c) of this Section.

 

c)  The owner or operator of a coating line or a group of coating lines using touch-up and repair coatings that are exempted from the limitations of Sections 215.204(b), (d), (f), (g), (i), and (j) of this Subpart because of the provisions of subsection (b) of this Section shall:

 

1)  Collect and record the name, identification number, and volume of each touch-up and repair coating, as applied on each coating line, per eight-hour period and per month;

 

2)  Perform calculations on a daily basis, and maintain at the source, records of such calculations of the combined volume of touch-up and repair coatings used source-wide for each eight-hour period;

 

3)  Perform calculations on a monthly basis, and maintain at the source, records of such calculations of the combined volume of touch-up and repair coatings used source-wide for the month and the rolling twelve-month period;

 

4)  Prepare and maintain at the source an annual summary of the information required to be compiled pursuant to subsection (b) of this Section on or before January 31 of the following year;

 

5)  Maintain at the source for a minimum of three years all records required to be kept under this subsection (c) and make such records available to the Agency upon request; and

 

6)  Notify the Agency in writing if the use of touch-up and repair coatings at the source ever exceeds a volume of 0.95 l (1 quart) per eight-hour period or exceeds 209 l/yr (55 gal/yr) for any rolling twelve-month period within 30 days after any such exceedence. Such notification shall include a copy of any records of such exceedence.

 

d)  “Touch-up and repair coatings” means, for purposes of this Section, any coating used to cover minor scratches and nicks that occur during manufacturing and assembly processes.

 

e)  Notwithstanding the limitations of Section 215.204(k)(2), the John Deere Harvester-Moline Works of Deere & Company, Moline, Illinois, shall not cause or permit the emission of volatile organic material from its existing green and yellow flocoating operations to exceed a weekly average of 6.2 lb/gal.

 
(Source: Amended at 22 Ill. Reg. 11427, effective June 19, 1998)
 
 



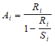
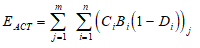
Section 215.207  Compliance by Aggregation of Emission Units

 

a)  Owners or operators of coating lines subject to Section 215.204 may comply with this Section rather than with Section 215.204. The methods or procedures used to determine emissions of volatile organic material under this Section shall be approved by the Agency in accordance with 35 Ill. Adm. Code 201. Emissions of volatile organic material form sources subject to Section 215.204 are allowable, notwithstanding the limitations in Section 215.204, if the combined actual emissions from selected coating lines at the coating plant, but not including coating lines or other emission sources constructed or modified after July 1, 1979, is less than or equal to the combined allowable emissions as determined by the following equations:

 


 


 

b)  Ai shall be determined by the following formula:

 


 

c)  As used in subsection (a) and (b), symbols mean the following:

 

EALL =  the allowable volatile organic material emissions from the coating plant in kg/day (lb/day).

 

Ai =  the allowable emission limit for a coating pursuant to Section 215.204 expressed in kg/1 (lbs/gal) of coating solids.

 

Bi =  the volume of coating solids in 1/day (gal/day)in a coating as delivered to the coating line.

 

m =  the number of coating lines included in the combined emission rate.

 

n =  the number of different coatings delivered to a coating line.

 

EACT =the actual volatile organic material emissions from the coating plant in kg/day (lbs/day).

 

Ci =  the weight of volatile organic material per volume of solids in kg/l (lb/gal) for a coating.

 

Di =  the control efficiency by which emissions of volatile organic material from a coating are reduced through the use of control equipment.

 

Ri =  the applicable volatile organic material emission limit pursuant to Section 215.204, for a coating in kg/1 (lb/gal).

 

Si =  the density of the volatile organic material in a coating in kg/1 (lb/gal).

 

d)  The owner or operator of the coating plant shall maintain records of the density of the volatile organic material in each coating, the quantity and volatile organic material and solids content of each coating applied and the line to which coating is applied, in such a manner so as to demonstrate continuing compliance with the combined allowable emissions.

 

e)  Except for emission units subject to Section 215.301 or 215.302, credits from emission units at the coating plant that are subject to this Part, other than coating lines, may be given to the extent that emissions are reduced from the allowable emission limits for such emission units contained in either this Part or any existing operating permit, whichever limit is less.

 
(Source: Amended at 22 Ill. Reg. 11427, effective June 19, 1998)
 
 



Section 215.208  Testing Methods for Volatile Organic Material Content
 

a)  The VOM content of coatings shall be determined by Method 24, 40 CFR Part 60, Appendix A, incorporated by reference in Section 215.105 except for glues and adhesive coatings, two component reactive coatings forming volatile reaction products, coatings requiring energy other than heat to initiate curing, and coatings requiring high temperature catalysis for curing, providing the person proposing testing of the material submits to the Agency proof that the Method 24 results would not be representative and proof that a proposed alternative test method gives representative, accurate test results. For printing inks, the volatile organic material content shall be determined by Method 24A, 40 CFR Part 60, Appendix A incorporated by reference in Section 215.105. Any alternate test method must be approved by the Agency which shall consider data comparing the performance of the proposed alternative to the performance of the approved test method(s). If the Agency determines that such data demonstrates that the proposed alternative will achieve results equivalent to the approved test method(s), the Agency shall approve the proposed alternative.
 
b)  Transfer efficiency shall be determined by a method, procedure or standard approved by the USEPA, under the applicable new source performance standard or until such time as USEPA has approved and published such a method, procedure or standard, by any appropriate method, procedure or standard approved by the Agency.
 

(Source: Amended at 14 Ill. Reg. 9173, effective May 23, 1990)
 
 



Section 215.209  Exemption from General Rule on Use of Organic Material
 
No coating line subject to the limitations of Section 215.204 is required to meet Sections 215.301 or 215.302 after the date by which the coating line is required to meet Section 215.204.
 
(Source: Amended at 3 Ill. Reg. 30, p. 124, effective July 28, 1979)
 
 



Section 215.210  Alternative Compliance Schedule
 
The owner or operator of coating lines subject to Section 215.204(d)(2) may in lieu of compliance with Section 215.211 demonstrate compliance through the use of a low solvent coating technology by taking the following actions:

 
a)  Submit to the Agency a compliance plan, including a project completion schedule, that meets the requirements of Section 201.241 on or before August 19, 1983; and
 
b)  Meet the following increments of progress:
 
1)  Submit to the Agency by July 1, 1984 and every six months thereafter a report describing in detail the progress made in the development, application testing, product quality, customer acceptance and United States Food and Drug Administration or government agency approval of the low solvent coating technology;
 
2)  Initiate process modifications to allow the use of low solvent coatings as soon as coatings meeting Board requirements become commercially available for production use; and
 
3)  Achieve final compliance as expeditiously as possible but no later than December 31, 1986.

 
(Source: Amended at 7 Ill. Reg. 1244, effective January 21, 1983)
 
 



Section 215.211  Compliance Dates and Geographical Areas

 

a)  Except as otherwise stated in subsection (b), every owner or operator of an emission unit subject to Section 215.204(j), (k), (l), or (m) shall comply with those subsections in accordance with the following dates:

 

1)  For Section 215.204(j) and (k)(2) Extreme performance prime coat and Final repair coat - air dried, by December 31, 1983.

 

2)  For Section 215.204(k)(l) and (m), by December 31, 1987.

 

3)  For Section 215.204(k)(2) Extreme performance top coat - air dried, in accordance with Section 215.210.

 

4)  For Section 215.204(l), by December 31, 1985.

 

b)  If an emission unit is not located in one of the nonattainment counties or counties contiguous to nonattainment counties listed below, the owner or operator of the emission unit shall comply with the requirements of Section 215.204(j), (k) or (l) no later than December 31, 1987:

 

Bond Madison
Clinton McHenry
Cook Monroe
DeKalb Montgomery
DuPage Morgan
Franklin Pope
Greene Randolph
Jackson Saline
Jersey Sangamon
Johnson St. Clair
Kane Union
Kendall Washington
Lake Will
Macoupin Williamson

 

(BOARD NOTE: Counties are designated as attainment or nonattainment for ozone by the United States Environmental Protection Agency (USEPA). The USEPA noted in its redesignation rulemaking, that it will publish a rulemaking notice on Williamson County's attainment status. (45 Fed. Reg. 21949, May 16, 1983.) Should Williamson County be redesignated as attainment prior to October 31, 1985, it and the counties contiguous to it will be considered deleted from the above list.)

 

c)  Notwithstanding subsection (b), if any county is designated as nonattainment by the USEPA at any time subsequent to the effective date of this rule, the owner or operator of an emission source located in that county or any county contiguous to that county who would otherwise be subject to the compliance date in subsection (b) shall comply with the requirements of Section 215.204(j), (k) or (l) within one year from the date of redesignation but in no case later than December 31, 1987.

 
(Source: Amended at 22 Ill. Reg. 11427, effective June 19, 1998)
 

 



Section 215.212  Compliance Plan
 

a)  The owner or operator of an emission unit subject to Section 215.211(a) (1) or (3) shall submit to the Agency a compliance plan on or before August 19, 1983.

 

b)  The owner or operator of an emission unit subject to Section 215.211(a)(4) shall submit to the Agency a compliance plan on or before October 31, 1985.

 

c)  The owner or operator of an emission unit subject to Section 215.211(b) shall submit to the Agency a compliance plan, no later than December 31, 1986.

 

d)  The owner or operator of an emission unit subject to Section 215.211(c) shall submit a compliance plan within 90 days after the date of redesignation, but in no case later than December 31, 1986.

 

e)  The owner or operator of an emission unit subject to Section 215.211(c) shall not be required to submit a compliance plan if redesignation occurs after December 31, 1986.

 

f)  The plan and schedule shall meet the requirements of 35 Ill. Adm. Code 201.

 
(Source: Amended at 22 Ill. Reg. 11427, effective June 19, 1998)
 
 



Section 215.213  Special Requirements for Compliance Plan
 
For sources subject to Sections 215.204 through 215.209, an approvable compliance plan shall include:

 
a)  A complete description of each coating line which is subject to an emission limitation in Sections 215.204 through 215.209;
 
b)  Quantification of the allowable emissions from the coating plant determined under Section 215.207 where applicable; and,
 
c)  A description of the procedures and methods used to determine the emissions of volatile organic material including a method of inventory, record keeping and emission calculation or measurement which will be used to demonstrate compliance with the allowable plantwide emission limitation.

 
(Source: Adopted at 3 Ill. Reg. 30, p. 124, effective July 28, 1979)
 
 



Section 215.214  Roadmaster Emissions Limitations (Repealed)
 
(Source: Repealed at 22 Ill. Reg. 11427, effective June 19, 1998)
 
 



Section 215.215  DMI Emissions Limitations
 
Notwithstanding the limitation of Section 215.204(j)(3), the DMI, Inc., Goodfield, Illinois plant shall not cause or permit the emission of volatile organic material from its existing dip tank and bake oven as part of the paint deck operations, to exceed a daily average of 4.2 lb/gal in the dip top coat application tank, and a 30-day rolling-average of 61 lb/day for the dip tank make-up solvent addition; DMI, Inc. shall fulfill all of the following conditions:

 
a)  DMI, Inc. shall contact at least three (3) paint vendors each year in a continuing search for a compliant coating that it can successfully use in its existing paint deck operations, including any paint vendors suggested by the Agency in a writing delivered to DMI, Inc. by certified mail;
 
b)  If any vendor provides DMI, Inc. with laboratory test results which demonstrate that DMI, Inc. may be able to use the vendor's paint in its existing paint deck operations as a substitute for the existing paint, DMI, Inc. will conduct production tests of that paint;
 
c)  DMI, Inc. will submit a report to the Agency by March 1 of each year that includes a summary of its efforts during the preceding calendar year, as those efforts relate to DMI, Inc.'s compliance with the foregoing conditions contained in subsections (a) and (b), above;
 
d)  If DMI, Inc. locates a compliant paint that it can successfully use in its existing paint deck operations, and the net annual expense of using the compliant paint is not more than ten percent (10%) greater than the then current net annual expense incurred in the existing painting process, DMI, Inc. shall convert its present paint deck operations to the use of that paint within 180 days after the final successful testing of such a paint; and
 
e)  This Section shall expire within 180 days after final successful testing of a compliant paint in accordance with subsection (d) above, or on January 1, 2000, whichever is earlier, at which time DMI, Inc. shall comply with the provisions that generally apply to VOM emissions.

 
(Source: Added at 16 Ill. Reg. 3132, effective February 18, 1992)
 
 



SUBPART H: SPECIAL LIMITATIONS FOR SOURCES IN MAJOR URBANIZED AREAS WHICH ARE NONATTAINMENT FOR OZONE

 



Section 215.240  Applicability
 
Notwithstanding any other limitations or exceptions in this Part 215, the special requirements of this Subpart shall apply to the affected sources in the following counties; Cook, DuPage, Kane, Lake, Macoupin, Madison, McHenry, Monroe, St. Clair, and Will.
 
(Source: Added in R85-21(A) at 11 Ill. Reg. 11770, effective June 29, 1987)
 
 



Section 215.241 External Floating Roofs
 
The requirements of subsection 215.124(a) shall not apply to any stationary storage tank equipped with an external floating roof:

 
a)  Exempted under Section 215.123(a)(2) through (a)(6);
 
b)  Of welded construction equipped with a metallic-type shoe seal having a secondary seal from the top of the shoe seal to the tank wall (shoe-mounted secondary seal);
 
c)  Of welded construction equipped with a metallic type shoe seal, a liquid-mounted foam seal, a liquid-mounted liquid-filled-type seal, or other closure device of equivalent control efficiency approved by the Agency in which a petroleum liquid with a true vapor pressure less than 27.6 kPa (4.0 psia) at 294.3 K (70   F) is stored; or
 
d)  Used to store crude oil with a pour point of 50 F or higher as determined by ASTM Standard D97-66 incorporated by reference in Section 215.105.

 
(Source: Amended at 14 Ill. Reg. 9173, effective May 23, 1990)
 
 



Section 215.245  Flexographic and Rotogravure Printing
 

a)  The limitations of Subpart P shall apply unless the facility's aggregate uncontrolled rotogravure and/or flexographic printing press emissions of volatile organic material are limited by operating permit conditions to 90.7 Mg (100 tons) per year or less in the absence of air pollution control equipment or whose actual emissions in the absence of air pollution control equipment would be less than or equal to 90.7 Mg (100 tons) per year when averaged over the preceding three calendar years.
 
b)  If an owner or operator of a packaging rotogravure printing press proposes to comply with the limitations of Section 215.401 pursuant to subsection (d) of that Section, then the combined capture and control system must provide an overall reduction in volatile organic material emissions of at least 65 percent.
 

(Source: Added at 11 Ill. Reg. 19117, effective November 9, 1987)
 
 



Section 215.249  Compliance Dates
 
Sources subject to this Subpart H shall comply with the applicable limitations within one year of the effective date of the subpart or by December 31, 1987, whichever is sooner.
 
(Source: Added in R85-21(A) at 11 Ill. Reg. 11770, effective June 29, 1987)
 
 



SUBPART I: ADJUSTED RACT EMISSIONS LIMITATIONS

 



Section 215.260 Applicability
 
Owners and operators of emission sources subject to Subparts PP, QQ, or RR may petition the Illinois Pollution Control Board for an Adjusted Reasonably Available Control Technology (RACT) Emissions Limitation for such emission sources. Owners and operators of emissions sources which are in existence on the effective date of this Subpart shall submit to the Illinois Pollution Control Board a Notice of Intent to Petition for an Adjusted RACT Emissions Limitation within 60 days after the effective date of this Subpart. Petitions for an Adjusted RACT Emissions Limitation shall be filed within 120 days after the effective date of this Subpart or at the time a construction permit is applied for from the Agency for the emission source, or 60 days after the time an emission source meets the applicability criteria set forth in such Subparts. For the purposes of this Subpart, uncontrolled volatile organic material emissions are the emissions of volatile organic material which would result if no air pollution control equipment were used.
 
(Source: Added at 12 Ill. Reg. 7311, effective April 8, 1988)
 
 



Section 215.261  Petition
 
A petition for an Adjusted RACT Emission Limitation shall contain:

 
a)  A specific proposal of, and support for, an Adjusted RACT Emissions Limitation which would apply to the emission source that is the subject of the petition as well as a showing at a hearing held pursuant to Section 28,1 of the Environmental protection Act (Act) that the application of the applicable limits of Section 215.926(a)(1) and (2), 215.946(a)(1) or 215.966(a)(1) would be technically infeasible or economically unreasonable for that emission source.
 
b)  Information on the technical feasibility of reducing emissions of volatile organic material from the emission source including, but not limited to:
 
1)  A complete description of the operations of the emission source.
 
2)  A discussion of all available compliance strategies for achieving the emissions reduction prescribed by the applicable section and the technical feasibility of each compliance strategy.
 
3)  Comparisons of the nature and quantity of uncontrolled emissions to:
 
A)  Emissions reductions which would be achieved pursuant to the applicable Section for each compliance strategy listed in Section 215.261(b)(2); and
 
B)  Emissions reduction which would be achieved pursuant to the proposed Adjusted RACT Emissions Limitation.
 
4)  The basis for determining that the proposed method of emissions reduction is RACT for the that emission source and all information supporting that determination.
 
c)  Information on the economic reasonableness of reducing emissions of volatile organic material from the emission source including, but not limited to:
 
1)  A comparison of the relative costs of achieving the emissions reduction pursuant to Section 215.926(a)(9) and (2), 215.946(a)(1) or 215.966(a)(1) and pursuant to the proposed Adjusted RACT Emissions Limitation including for each compliance strategy:
 
A)  Capital costs;
 
B)  Operating costs;
 
C)  Any economic benefits, such as material recovery; and
 
D)  Other costs and benefits.
 
2)  An evaluation of the cost effectiveness in terms of annualized net cost per ton of volatile organic material reduction for each compliance strategy. Volatile organic material reduction is the amount of uncontrolled volatile organic material emissions less the amount of volatile organic material emissions after controls.
 
3)  An evaluation of the effects of the cost of achieving emissions reduction in relation to:
 
A)  The annualized capital and operating budgets of the emission source over the most recent five-year period; and
 
B)  Such other costs and economic information as the petitioner believes may assist the Board in reaching a decision.
 
4)  A discussion of other factors the petitioner may consider relevant such as:
 
A)  Age of facility;
 
B)  Quantity of emissions;
 
C)  Nature of emissions;
 
D)  Severity of existing air quality problems;
 
E)  Extent of controls present;
 
F)  Comparability to standard industry practice in related industries;
 
G)  Cross media impacts; or
 
H)  Potential for operational modifications
 
5)  The basis for determining that the proposed method of emissions reduction is RACT for the emission source and all information supporting that determination.

 
(Source: Added at 12 Ill. Reg. 7311, effective April 8, 1988)
 
 



Section 215.263  Public Hearing
 
In a public hearing before the Board noticed and held pursuant to the requirements of Section 28.1 of th Act, the petitioner for an Adjusted RACT Emissions Limitation shall prove:

a)  That the emissions limitation prescribed pursuant to Section 215.926(a)(1) and (2), 215.946(a)(1) or 215.966(a)(1) does not constitute RACT for the specific emission source; and
 
b)  That compliance with the proposed Adjusted RACT Emissions Limitation:
 
1)  Is RACT for that emission source based on the information provided in the petition and at the hearing addressing subject described in Sections 215.261 and
 
2)  Will not cause or contribute to an increase in emissions so as to prevent or interfere with the State's attainment of the air quality standards set forth in 35 Ill. Adm. Code 243.123 and 243.125.

 
(Source: Added at 12 Ill. Reg. 7311, effective April 8, 1988)
 
 



Section 215.264  Board Action
 
The Board shall issue and maintain opinions and orders pursuant to the requirements of Section 28.1 of the Act. In addition, the Board shall publish a list of its determinations in accordance with Section 28.1 of the Act. If an owner or operator of an emission source meets the requirements of Sections 215.261 and 215.263 the Board may establish an Adjusted RACT Emissions Limitation. Such Adjusted RACT Emissions Limitation:

 
a)  Shall substitute for that limitation otherwise prescribed by Section 215.926(a)(1) and (2), 215.946(a)(1) or 215.966(a)(1) and
 
b)  Shall require compliance by a date certain as established by the Board for an existing source or prior to the operation of a new emission source.

 
(Source: Added at 12 Ill. Reg. 7311, effective April 8, 1988)
 
 



Section 215.267  Agency Petition
 
The Agency may petition the Board for an Adjusted RACT Emission Limitation for an emission source subject to this Subpart at any time after the effective date of this Subpart. The provisions of Sections 215.261, 215.263, and 215.264 shall apply to such petitions.
 
(Source: Added at 12 Ill. Reg. 7311, effective April 8, 1988)
 
 



SUBPART K: USE OF ORGANIC MATERIAL

 



Section 215.301  Use of Organic Material
 
No person shall cause or allow the discharge of more than 3.6 kg/hr (8 lbs/hr) of organic material into the atmosphere from any emission source, except as provided in Sections 215.302, 215.303, 215.304 and the following exception: If no odor nuisance exists the limitation of this Subpart shall apply only to photochemically reactive material.
 
(Source: Amended at 3 Ill. Reg. 30, p. 124, effective July 28, 1979)
 
 



Section 215.302  Alternative Standard
 
Emissions of organic material in excess of those permitted by Section 215.301 are allowable if such emissions are controlled by one of the following methods:

 
a)  Flame, thermal or catalytic incineration so as either to reduce such emissions to 10 ppm equivalent methane (molecular weight 16) or less, or to convert 85 percent of the hydrocarbons to carbon dioxide and water; or,
 
b)  A vapor recovery system which adsorbs and/or condenses at least 85 percent of the total uncontrolled organic material that would otherwise be emitted to the atmosphere; or,
 
c)  Any other air pollution control equipment approved by the Agency capable of reducing by 85 percent or more the uncontrolled organic material that would be otherwise emitted to the atmosphere.

 
(Source: Amended at 3 Ill. Reg. 30, p. 124, effective July 28, 1979)
 
 



Section 215.303  Fuel Combustion Emission Sources
 
The provisions of Sections 215.301 and 215.302 shall not apply to fuel combustion emission sources.
 
(Source: Amended at 3 Ill. Reg. 30, p. 124, effective July 28, 1979)
 
 



Section 215.304  Operations with Compliance Program
 
The provisions of Section 215.301 and 215.302 shall not apply to any owner, operator, user or manufacturer of paint, varnish, lacquer, coatings or printing ink whose compliance program and project completion schedule, as required by 35 Ill. Adm. Code 201, provides for the reduction of organic material used in such process to 20 percent or less of total volume by May 30, 1975.
 
(Source: Amended at 3 Ill. Reg. 30, p. 124, effective July 28, 1979)
 
 



Section 215.305  Viscose Exemption (Repealed)
 
(Source: Repealed at 9 Ill. Reg. 13960, effective August 28, 1985)
 
 



SUBPART N: VEGETABLE OIL PROCESSING

 



Section 215.340  Hexane Extraction Soybean Crushing
 
The owner or operator of a hexane extraction soybean crushing source, which would emit volatile organic material in excess of 100 tons per year in the absence of pollution control equipment or enforceable operating permit limitation, shall not cause or allow emissions to exceed:

 
a)  0.0026 lbs of volatile organic material per pound of conventional soybean crush, and
 
b)  0.0052 lbs of volatile organic material per pound of specialty soybean crush.

 
(Source: Added at 8 Ill. Reg. 13254, effective July 12, 1984)
 
 



Section 215.342  Hexane Extraction Corn Oil Processing
 
The owner or operator of a hexane extraction corn oil source, which would emit volatile organic material in excess of 100 tons per year in the absence of control equipment or enforceable operating permit limitation, shall not cause or allow emissions to exceed more than 2.2 gals of volatile organic material per ton of raw corn germ processed.
 
(Source: Added at 8 Ill. Reg. 13254, effective July 12, 1984)
 
 



Section 215.344  Recordkeeping For Vegetable Oil Processes
 

a)  The owner or operator of sources subject to Section 215.340 and 215.342 shall maintain daily records of solvent storage inventory, and conventional and specialty soybean crush or raw corn germ. Each day the total decrease in solvent storage inventory, and total conventional and specialty soybean crush or raw corn germ for the previous 180 days shall be calculated.
 
b)  The Agency shall have access to records required under this Section upon reasonable notice.
 

(Source: Added at 8 Ill. Reg. 13254, effective July 12, 1984)
 
 



Section 215.345  Compliance Determination
 

a)  Each day, the owner or operator of sources subject to Section 215.340 shall calculate the sum of:
 
1)  total conventional soybean crush for the previous 180 days, in pounds, multiplied by 0.0026, plus
 
2)  total specialty soybean crush for the previous 180 days, in pounds, multiplied by 0.0052.
 
b)  Each day, the owner or operator of sources subject to Section 215.342 shall calculate the sum of the total raw corn germ processed for the previous 180 days, in tons multiplied by 2.2.
 
c)  If such sum is less than the total decrease in solvent storage inventory over the previous 180 days, then the provisions of Section 215.340 or 215.342, whichever is applicable, shall be deemed to have been exceeded.

 
(Source: Added at 8 Ill. Reg. 13254, effective July 12, 1984)
 
 



Section 215.346  Compliance Dates and Geographical Areas
 

a)  Except as otherwise stated in subsection (b), every owner or operator of an emission source subject to Sections 215.340 through 215.345 shall comply with the standards and limitations of those Sections by December 31, 1985.
 
b)  If an emission source is not located in one of the counties listed below, the owner or operator of the emission source shall comply with the requirements of Sections 215.340 through 215.345 no later than December 31, 1987:
 

Bond Madison
Clinton McHenry
Cook Monroe
DeKalb Montgomery
DuPage Morgan
Franklin Pope
Greene Randolph
Jackson Saline
Jersey Sangamon
Johnson St. Clair
Kane Union
Kendall Washington
Lake Will
Macoupin Williamson

 

(BOARD NOTE: The USEPA noted in its redesignation rulemaking, that it will publish a rulemaking notice on Williamson County's attainment status. (45 Fed. Reg. 21949, May 16, 1983) Should Williamson County be re-designated as attainment prior to December 31, 1984, it and the counties contiguous to it will be considered deleted from the above list.)
 
c)  Notwithstanding subsection (b), if any county is redesignated as nonattainment by the USEPA at any time subsequent to the effective date of this Section, the owner or operator of an emission source located in that county or any county contiguous to that county who would otherwise by subject to the compliance date in subsection (b) shall comply with the requirements of Sections 215.340 through 215.345 within one year from the date of redesignation but in no case later than December 31, 1987.

 
(Source: Added at 8 Ill. Reg. 13254, effective July 12, 1984)
 
 



Section 215.347  Compliance Plan
 

a)  The owner or operator of an emission source subject to Section 215.346(a) or (b) shall submit to the Agency a compliance plan, no later than December 31, 1984.
 
b)  The owner or operator of an emission source subject to Section 215.346(c) shall submit a compliance plan within 90 days after the date of redesignation, but in no case later than December 31, 1986.
 
c)  The owner or operator of an emission source subject to Section 215.346(c) shall not be required to submit a compliance plan if redesignation occurs after December 31, 1986.
 
d)  The plan and schedule shall meet the requirements of 35 Ill. Adm. Code 201, Subpart H.
 

(Source: Added at 8 Ill. Reg. 13254, effective July 12, 1984)
 
 



SUBPART P: PRINTING AND PUBLISHING

 



Section 215.401  Flexographic and Rotogravure Printing
 
No owner or operator of a packaging rotogravure, publication rotogravure or flexographic printing press subject to this rule and employing solvent-containing ink may cause or allow the operation of such press unless:

 
a)  The volatile fraction of ink as it is applied to the substrate contains 25 percent or less by volume of organic solvent and 75 percent or more by volume of water; or
 
b)  The volatile fraction of an ink as it is applied to the substrate, less water, is 40 percent or less by volume; or
 
c)  The owner or operator installs and operates:
 
1)  A carbon adsorption system which reduces the volatile organic emissions from the capture system by at least 90 percent by weight; or
 
2)  An afterburning system which oxidizes at least 90 percent of the captured nonmethane volatile organic materials (measured as total combustible carbon) to carbon dioxide and water; or
 
3)  An alternative volatile organic material emission reduction system demonstrated to have at least a 90 percent overall reduction efficiency and approved by the Agency; and
 
d)  A capture system is used in conjunction with any of the emission control systems in subsection (c). The design and operation of the capture system must be consistent with good engineering practice and shall provide, in combination with the control equipment, an overall reduction in volatile organic material emissions of at least:
 
1)  75 percent where a publication rotogravure process is employed; or
 
2)  65 percent or the maximum reduction achievable using good engineering design where a packaging rotogravure process is employed; or
 
3)  60 percent where a flexographic printing process is employed.

 
(Source: Added at 7 Ill. Reg. 1244, effective January 21, 1983)
 
 



Section 215.402  Exemptions
 
The limitations of this Subpart shall not apply to any facility whose aggregate uncontrolled rotogravure and/or flexographic printing press emissions of volatile organic material are limited by operating permit conditions to 907 Mg (1000 tons) per year or less in the absence of air pollution control equipment or whose actual emissions in the absence of air pollution control equipment would be less than or equal to 907 Mg (1000 tons) per year when averaged over the preceding three calendar years.
 
(Source: Added at 7 Ill. Reg. 1244, effective January 21, 1983)
 
 



Section 215.403  Applicability of Subpart K
 
Upon achieving compliance with this Subpart, the emission source is not required to meet Subpart K. Emission sources exempted from this Subpart are subject to Subpart K. Roto- gravure or flexographic equipment used for both roll printing and paper coating are subject to this Subpart.
 
(Source: Added at 7 Ill. Reg. 1244, effective January 21, 1983)
 
 



Section 215.404  Testing and Monitoring (Repealed)
 
(Source: Repealed at 14 Ill. Reg. 9173, effective May 23, 1990)
 
 



Section 215.405  Compliance Dates and Geographical Areas
 

a)  Except as otherwise stated in subsection (b), every owner or operator of an emission source subject to:
 
1)  Section 215.401 shall comply with its standards and limitations by December 31, 1983; and
 
2)  Section 215.408 shall comply with its standards and limitations by December 31, 1987.
 
b)  If an emission source subject to Section 215.401 is not located in one of the counties listed below and is also not located in any county contiguous thereto, the owner or operator of the emission source shall comply with the requirements of this Subpart no later than December 31, 1987:
 
       Cook      Macoupin
DuPage    Madison
Kane      Monroe
Lake      St. Clair
 
c)  Notwithstanding subsection (b), if any county is designated as nonattainment by the USEPA at any time subsequent to the effective date of this Subpart, the owner or operator of an emission source located in that county or any county contiguous to that county who would otherwise be subject to the compliance date in subsection (b) comply with the requirements of this Subpart within one year from the date of redesignation but in no case later than December 31, 1987.

 
(Source: Amended at 11 Ill. Reg. 16706, effective September 30, 1987)
 
 



Section 215.406  Alternative Compliance Plan
 
The owner or operator of an emission source subject to this Subpart may in lieu of compliance with Sections 215.405 and 215.407 demonstrate compliance through the use of a low solvent ink program by taking the following actions:

 
a)  Submit to the Agency a compliance plan, including a compliance completion schedule, by December 31, 1983 which demonstrates:
 
1)  Substantial emission reductions early in the compliance schedule;
 
2)  Greater reductions in emissions than would have occurred without a low solvent ink program; and
 
3)  Final compliance as expeditiously as possible but no later than December 31, 1987; and
 
b)  Certify to the Agency that:
 
1)  A low solvent ink compliance strategy is not technically available which would enable the emission source to achieve compliance by the date specified in Section 215.405; and
 
2)  An unreasonable economic burden would be incurred if the owner or operator were required to demonstrate compliance by the date specified in Section 215.405; and
 
c)  Agree to install one of the control alternatives specified in Section 215.401(c) by June 31, 1986 if the specified low-solvent ink strategy fails to achieve scheduled reductions by December 31, 1985.

 
(Source: Added at 7 Ill. Reg. 1244, effective January 21, 1983)
 
 



Section 215.407  Compliance Plan
 

a)  The owner or operator of an emission source subject to Section 215.405(a)(1) shall submit to the Agency a compliance plan, pursuant to 35 Ill. Adm. Code 201, Subpart H, including a project completion schedule where applicable, no later than April 21, 1983.
 
b)  The owner or operator of an emission source subject to Section 215.405(b) shall submit to the Agency a compliance plan, including a project completion schedule where applicable, no later than December 31, 1986.
 
c)  The owner or operator of an emission source subject to Section 215.405(c) shall submit a compliance plan, including a project completion schedule within 90 days after the date of redesignation, but in no case later than December 31, 1986.
 
d)  Unless the submitted compliance plan or schedule is disapproved by the Agency, the owner or operator of a facility or emission source subject to the rules specified in subsections (a), (b) or (c) may operate the emission source according to the plan and schedule as submitted.
 
e)  The plan and schedule shall meet the requirements of 35 Ill. Adm. Code 201, Subpart H, including specific interim dates as required in 35 Ill. Adm. Code 201.242.
 

(Source: Amended at 11 Ill. Reg. 16706, effective September 30, 1987)
 
 



Section 215.408  Heatset Web Offset Lithographic Printing
 

a)  No owner or operator of a heatset web offset lithographic printing facility, located in Cook, DuPage, Kane, Lake, Macoupin, Madison, McHenry, Monroe, St. Clair or Will County, emitting over 100 tons/year of organic material, in the absence of pollution control equipment, may cause or allow the operation of a heatset web offset press unless:
 
1)  An incinerator system is installed and operated that oxidizes at least 90 percent of the organic materials (measured as total combustible carbon) in the dryer exhaust airstream to carbon dioxide and water; or
 
2)  The fountain solution contains no more than eight (8) percent, by weight, of volatile organic material and a condensation recovery system is installed and operated that removes at least 75 percent of the non-isopropyl alcohol organic materials from the dryer exhaust airstream.
 
b)  No owner or operator of a heatset web offset lithographic printing facility, located in a county other than Cook, DuPage, Kane, Lake, Macoupin, Madison, McHenry, Monroe, St. Clair or Will County, emitting over 100 tons/year of organic material, in the absence of pollution control equipment, may cause or allow the operation of a heatset web offset press unless the fountain solution contains no more than eight (8) percent, by weight, of volatile organic material.

 
(Source: Added at 11 Ill. Reg. 16706, effective September 30, 1987)
 
 



Section 215.409  Testing Methods for Volatile Organic Material Content
 
The volatile organic material content of fountain solution and all coatings shall be determined by Method 24, 40 CFR 60, Appendix A, incorporated by reference in Section 215.105. The volatile organic material content of printing inks shall be determined by Method 24A, 40 CFR Part 60, Appendix A, incorporated by reference in Section 215.105. Any alternate test method must be approved by the Agency, which shall consider data comparing the performance of the proposed alternative to the performance of the approved test method(s). If the Agency determines that such data demonstrates that the proposed alternative will achieve results equivalent to the approved test method(s), the Agency shall approve the proposed alternative.
 
(Source: Added at 14 Ill. Reg. 9173, effective May 23, 1990)
 
 



Section 215.410 Emissions Testing
 

a)  Any tests of volatile organic material emissions, including tests conducted to determine control equipment efficiency or control device destruction efficiency, shall be conducted in accordance with the methods and procedures specified in Section 215.102.
 
b)  Upon a reasonable request by the Agency, the owner or operator of a volatile organic material emission source required to comply with the limits of this Subpart shall conduct emissions testing, at his own expense, to demonstrate compliance.
 
c)  A person planning to conduct a volatile organic material emissions test to demonstrate compliance with this Subpart shall notify the Agency of that intent not less than 30 days before the planned initiation of the tests so the Agency may observe the test.

 
(Source: Added at 14 Ill. Reg. 9173, effective May 23, 1990)
 
 

SUBPART Q: LEAKS FROM SYNTHETIC ORGANIC CHEMICAL AND POLYMER MANUFACTURING EQUIPMENT

 



Section 215.42   Applicability
 
The provisions of Sections 215.421 through 215.429 of this subpart shall apply to all plants in the State of Illinois which manufacture synthetic organic chemicals and polymers, except those located in any of the following counties: Will, McHenry, Cook, DuPage, Lake, Kane, Madison, St. Clair, Macoupin, and Monroe. The provisions of Section 215.430 through 215.439 shall apply to the counties specifically enumerated above. In addition, if any county is redesignated as non-attainment by the USEPA subsequent to December 31, 1987, the owner or operator of a plant located in that county shall comply with the requirements of Sections 215.430 through 215.439 upon the effective date of the redesignation.
 
(Source: Amended at 13 Ill. Reg. 10893, effective June 27, 1989)
 
 



Section 215.421  General Requirements
 

a)  The owner or operator of a plant which has more than 1,500 components in gas or light liquid service, which components are used to manufacture the synthetic organic chemicals or polymers listed in Appendix D, shall conduct leak inspection and repair programs in accordance with this Subpart for that component containing more than 10 percent volatile organic material as determined by ASTM method E-260, E-168, and E-169, incorporated by reference in Section 215.105. The provisions of this Subpart are not applicable if the products listed in Appendix D are made from natural fatty acids for the production of hexadecyl alcohol.
 
b)  A component shall be considered to be leaking if the volatile organic material concentration exceeds 10,000 parts per million ppm when measured at a distance of 0 centimeters cm from the component as determined by Method 21, 40 CFR Part 60, Appendix A, incorporated by reference in Section 215.105.

 
(Source: Amended at 14 Ill. Reg. 9173, effective May 23, 1990)
 
 



Section 215.422  Inspection Program Plan for Leaks
 
The owner or operator of a synthetic organic chemical or polymer manufacturing plant subject to Section 215.421 shall prepare an inspection program plan which contains, at a minimum:

 
a)  An identification of all components and the period in which each will be monitored pursuant to Section 215.423;
 
b)  The format for the monitoring log required by Section 215.424;
 
c)  A description of the monitoring equipment to be used pursuant to Section 215.423; and
 
d)  A description of the methods to be used to identify all pipeline valves, pressure relief valves in gaseous service, all leaking components, and the ball and plug valves and pumps exempted under Section 215.423(h) such that they are obvious and can be located by both plant personnel performing monitoring and Agency personnel performing inspections.

 
(Source: Former Section 215.422 recodified to Section 215.423, new Section 215.422 recodified from Section 215.421 at 11 Ill. Reg. 13541, effective August 4, 1987)
 
 



Section 215.423  Inspection Program for Leaks
 
The owner or operator of a synthetic organic chemical or polymer manufacturing plant subject to Section 215.420 shall, for the purposes of detecting leaks, conduct a component inspection program consistent with the following provisions.

 
a)  Test annually those components operated near extreme temperature or pressure such that they would be unsafe to routinely monitor, and those components located more than two meters above or away from permanent worker access structures or surfaces;
 
b)  Test all other pressure relief valves in gaseous service, pump seals, pipelines valves, process drains and compressor seals not earlier than March 1 or later than June 1 of each year;
 
c)  If more than 2 percent of the components tested pursuant to subsection (b) are found to leak, again test all pressure relief valves in gaseous service, pipeline valves in gaseous service and compressor seals by methods and procedures approved by the Agency not earlier than June 1 or later than September 1 of each year;
 
d)  Observe visually all pump seals weekly;
 
e)  Test immediately any pump seal from which liquids are observed dripping;
 
f)  Test any relief valve within 24 hours after it has vented to the atmosphere; and
g)  Test immediately after repair any component that was found leaking.
 
h)  Ball and plug valves, inaccessible valves, storage tank valves, pumps equipped with mechanical seals, pressure relief devices connected to an operating flare header or vapor recovery device are exempt from the monitoring requirements in this Section.

 
(Source: Former Section 215.423 recodified to Section 215.424, new Section 215.423 recodified from Section 215.422 at 11 Ill. Reg. 13541, effective August 4, 1987)
 
 



Section 215.424  Repairing Leaks
 
All leaking components must be repaired and retested as soon as practicable but no later than 21 days after the leak is found unless the leaking component cannot be repaired until the process united is shutdown or the repair part is received. Records of repairing and retesting must be maintained in accordance with Sections 215.424 and 215.425.
 
(Source: Former Section 215.424 recodified to Section 215.425, new Section 215.424 recodified from Section 215.423 at 11 Ill. Reg. 13541, effective August 4, 1987)
 
 



Section 215.425  Recordkeeping for Leaks
 

a)  The owner or operator of a synthetic organic chemical or polymer manufacturing plant shall maintain a leaking components monitoring log which shall contain, at a minimum, the following information:
 
1)  The name of the process unit where the component is located;
 
2)  The type of component (e.g., valve, seal);
 
3)  The identification number of the component;
 
4)  The date on which a leaking component is discovered;
 
5)  The date on which a leaking component is repaired;
 
6)  The date and instrument reading of the recheck procedure after a leaking component is repaired;
 
7)  A record of the calibration of the monitoring instrument;
 
8)  The identification number of leaking components which cannot be repaired until process unit shutdown; and
 
9)  The total number of components inspected and the total number of components found leaking during that monitoring period.
 
b)  Copies of the monitoring log shall be retained by the owner or operator for a minimum of two years after the date on which the record was made or the report prepared.
 
c)  Copies of the monitoring log shall be made available to the Agency, upon verbal or written request, at any reasonable time.

 
(Source: Former Section 215.425 recodified to Section 215.426, new Section 215.425 recodified from Section 215.424 at 11 Ill. Reg. 13541, effective August 4, 1987)
 
 



Section 215.426  Report for Leaks
 
The owner or operator of a synthetic organic chemical or polymer manufacturing plant subject to Section 215.420 shall:

 
a)  Submit a report to the Agency prior to the 1st day of July and October listing all leaking components identified pursuant to Section 215.423 but not repaired within 21 days, all leaking components awaiting process unit shutdown, the total number of components inspected and the total number of components found leaking;
 
b)  Submit a signed statement with the report attesting that all monitoring and repairs were performed as required under Sections 215.421 through 215.427.

 
(Source: Former Section 215.426 recodified to Section 215.427, new Section 215.426 at 11 Ill. Reg. 13541, effective August 4, 1987)
 
 



Section 215.427  Alternative Program for Leaks
 
The Agency shall approve an alternative program of monitoring, recordkeeping, and/or reporting to that prescribed in Sections 215.421 through 215.426, upon a demonstration by the owner or operator of such plant that the alternative program will provide plant personnel and Agency personnel with an equivalent ability to identify and repair leaking components. The owner or operator operator utilizing an alternative monitoring program shall submit to the Agency an alternative monitoring program plan consistent with the provisions of Section 215.422.
 
(Source: Former Section 215.427 recodified to Section 215.428, new Section 215.427 recodified from Section 215.426 at 11 Ill. Reg. 13541, effective August 4, 1987)
 
 



Section 215.428  Compliance Dates
 
Every owner or operator of a synthetic organic chemical or polymer manufacturing plant subject to Sections 215.421 through 215.427 shall comply with the standards and limitations of those Sections beginning December 31, 1987.
 
(Source: Amended at 11 Ill. Reg. 20829, effective December 14, 1987)
 
 



Section 215.429  Compliance Plan
 

a)  The owner or operator of a synthetic organic chemical or polymer manufacturing plant subject to Section 215.428 shall submit to the Agency a compliance plan, no later than December 31, 1987.
 
b)  The plan and schedule shall meet the requirements of 35 Ill. Adm. Code 201.

 
(Source: Amended at 11 Ill. Reg. 20829, effective December 14, 1987)
 
 



Section 215.430  General Requirements
 
The owner or operator of a plant which processes more than 3660 mg/yr (4033 tons/year) gaseous and light liquid volatile organic material, and whose components are used to manufacture the synthetic organic chemicals or polymers listed in Appendix D, shall comply with Sections 215.430 to 215.439. The provisions of Sections 215.430 to 215.439 are applicable to components containing 10 percent or more by weight volatile organic material as determined by ASTM method E-168, E-169 and E-260, incorporated by reference in Section 215.105. Those components that are not process unit components are exempt from Sections 215.430 to 215.439. A component shall be considered to be leaking if the volatile organic material is equal to, or is greater than 10,000 ppmv as methane or hexane as determined by USEPA Reference Method 21, as specified at 40 CFR 60, Appendix A, incorporated by reference in Section 215.105, indication of liquids dripping, or indication by a sensor that a seal or barrier fluid system has failed. The provisions of this Subpart are not applicable if the equipment components are used to produce heavy liquid chemicals only from heavy liquid feed or raw materials.
 
(Source: Amended at 13 Ill. Reg. 10893, effective June 27, 1989)
 
 



Section 215.431  Inspection Program Plan for Leaks
 
The owner or operator of a synthetic organic chemical or polymer manufacturing plant subject to Section 215.430 shall prepare an inspection program plan which contains, at a minimum:

 
a)  An identification of all components and the period in which each will be monitored pursuant to Section 215.432.
 
b)  The format for the monitoring log required by Section 215.434.
 
c)  A description of the monitoring equipment to be used when complying with Section 215.432, and
 
d)  A description of the methods to be used to identify all pipeline valves, pressure relief valves in gaseous service, all leaking components, and components exempted under Section 215.432(i) such that they are obvious and can be located by both plant personnel performing monitoring and Agency personnel performing inspections.
 

(Source: Added at 11 Ill. Reg. 20829, effective December 14, 1987)
 
 



Section 215.432  Inspection Program for Leaks
 
The owner or operator of a synthetic organic chemical or polymer manufacturing plant subject to Section 215.430 through 215.439, shall for the purpose of detecting leaks, conduct a component inspection program utilizing the test methods specified in USEPA Reference Method 21, 40 CFR 60, Appendix A (1986), incorporated by reference in Section 215.105, consistent with the following provisions:

 
a)  Test annually those components operated near extreme temperature or pressure such that they would be unsafe to routinely monitor, and those components located more than two meters above permanent worker access structures or surfaces;
 
b)  Test quarterly all other pressure relief valves in gas service, pumps in light liquid service, valves in light liquid service and in gas service, and compressors.
 
c)  If less than or equal to 2 percent of the valves in light liquid service and in gas service tested pursuant to subsection (b) are found not to leak for 5 consecutive quarters, no leak tests shall be required for three consecutive quarters. Thereafter, leak tests shall resume for the next quarter. If that test shows less than or equal to 2 percent of the valves in light liquid service and in gas service are leaking, then no tests are required for thenext 3 quarters. If more than 2 percent are leaking, then tests are required for the next 5 quarters.
 
d)  Observe visually all pump seals weekly.
 
e)  Test immediately any pump seal in light liquid service from which liquids are observed dripping.
 
f)  Test any relief valve within 24 hours after it has vented to the atmosphere.
g)  Routine instrument monitoring of valves which are not externally regulated, flanges, and components in heavy liquid service, is not required. However, any valve which is not externally regulated, flange, or component in heavy liquid service that is found to be leaking on the basis of sight, smell or sound shall be repaired as soon as practicable but no later than 30 days after the leak is found.
 
h)  Test immediately after repair any component that was found leaking.
 
i)  Within 1 hour of its detection, a weatherproof, readily visible tag, in bright colors such as red or yellow, bearing an identification number and the date on which the leak was detected must be affixed on the leaking component and remain in place until the leaking component is repaired.
 
j)  Any component that is in vacuum service or any pressure relief devices connected to an operating flare header or to a vapor recovery devices is exempt from the monitoring requirements in this Section.

 
(Source: Amended at 13 Ill. Reg. 10893, effective June 27, 1989)
 
 



Section 215.433  Repairing Leaks
 
All leaking components must be repaired and retested as soon as practicable but no later than 15 days after the leak is found unless the leaking component cannot be repaired until the process unit is shut down. Records of repairing and retesting must be maintained in accordance with Section 215.434 and 215.435.
 
(Source: Added at 11 Ill. Reg. 20829, effective December 14, 1987)
 
 



Section 215.434  Recordkeeping for Leaks
 

a)  The owner or operator of a synthetic organic chemical or polymer manufacturing plant shall maintain a leaking components monitoring log which shall contain, at a minimum, the following information:
 
1)  The name of the process unit where the component is located;
 
2)  The type of component (e.g., valve, seal);
 
3)  The identification number of the component;
 
4)  The date on which a leaking component is discovered;
 
5)  The date on which a leaking component is repaired;
 
6)  The date and instrument reading of the recheck procedure after a leaking component is repaired;
7)  A record of the calibration of the monitoring instrument;
 
8)  The identification number of leaking components which cannot be repaired until process unit shutdown; and
 
9)  The total number of valves in light liquid service and in gas service inspected; the total number and the percentage of these valves found leaking during the monitoring period.
 
b)  Copies of the monitoring log shall be retained by the owner or operator for a minimum of two years after the date on which the record was made or the report was prepared.
 
c)  Copies of the monitoring log shall be made available to the Agency upon verbal or written request prior to or at the time of inspection pursuant to Section 4(d) of the Environmental Protection Act (Act) (Ill. Rev. Stat. 1985, ch. 111 1/2, pars. 1001 et seq., at any reasonable time.
 

(Source: Added at 11 Ill. Reg. 20829, effective December 14, 1987)
 
 



Section 215.435  Report for Leaks
 
The owner or operator of a synthetic organic chemical or polymer manufacturing plant subject to Section 215.430 through 215.439 shall:

 
a)  Submit quarterly reports to the Agency on or before March 31, June 30, September 30, and December 31 of each year, listing all leaking components identified pursuant to Section 215.432 but not repaired within 15 days, all leaking components awaiting process unit shutdown, the total number of components inspected, the type of components inspected, and the total number of components found leaking, the total number of valves in light liquid service and in gas service inspected and the number and percentage of valves in light liquid service and in gas service found leaking.
 
B)  Submit a signed statement with the report attesting that all monitoring and repairs were performed as required under Section 215.430 through 215.436.

 
(Source: Amended at 13 Ill. Reg. 10893, effective June 27, 1989)
 
 



Section 215.436 Alternative Program for Leaks
 
The Agency shall approve an alternative program of monitoring, recordkeeping, or reporting to that prescribed in Sections 215.430 through 215.438, upon a demonstration by the owner or operator of such plant that the alternative program will provide plant personnel and Agency personnel with an ability equivalent to the monitoring, recordkeeping or reporting requirements of this Part to identify and repair leaking components. The owner or operator utilizing an alternative monitoring program shall submit to the Agency an alternative monitoring program plan consistent with the provisions of Section 215.431.
 
(Source: Added at 11 Ill. Reg. 20829, effective December 14, 1987)
 
 



Section 215.437  Open-Ended Valves
 

a)  Each open-ended valve shall be equipped with a cap, blind flange, plug, or a second valve, except during operations requiring fluid flow through the open-ended valve.
 
b)  Each open-ended valve equipped with a second valve shall be operated in a manner such that the valve on the process fluid end is closed before the second valve is closed.
 
c)  Components which are open-ended valves and which serve as a sampling connection shall be controlled such that:
 
1)  A closed purge system or closed vent system shall return purged process fluid to the process line with no detectable volatile organic material emissions to the atmosphere, or
 
2)  A closed purge system or closed vent system shall collect and recycle purged process fluid to the process line with no detectable volatile organic material emissions to the atmosphere, or
3)  Purged process fluid shall be transported to a control device that complies with the requirements of Section 215.438.
 
d)  In-situ sampling systems are exempt from subsection (c).

 
(Source: Amended at 13 Ill. Reg. 10893, effective June 27, 1989)
 
 



Section 215.438  Standards for Control Devices
 
Control devices used to comply with Section 215.437(c) shall comply with following:

 
a)  If the control device is a vapor recovery system (for example, condensers and adsorbers) it shall be designed and operated to recover the volatile organic material emissions vented to it with an efficiency of 95 percent or greater.
 
b)  If the control device is an enclosed combustion device, it shall be designed and operated to reduce the volatile organic material emissions vented to it with an efficiency of 95 percent or greater, or to provide a minimum residence time of 0.75 seconds at a minimum temperature of 816 ° C.
 
c)  If the control device is a flare, it shall:
 
1)  Be designed for and operated with no visible emissions as determined by USEPA Reference Method 22, 40 CFR 60, Appendix A, 1986 incorporated by reference in Section 215.105, except for periods not to exceed a total of 5 minutes during and 2 consecutive hours.
 
2)  Be operated with a pilot flame present at all times and shall be monitored with a thermocouple or any other equivalent device to detect the presence of the pilot flame.
 
3)  Be steam-assisted, air assisted, or nonassisted.
 
4)  Be used only with the net heating value of the gas being combusted being 11.2 MJ/scm (300 Btu/scf) or greater if the flare is steam-assisted or air-assisted; or with the net heating value of the gas being combusted being 7.45 MJ/scm or greater if the flare is nonassisted. The net heating value of the gas being combusted shall be calculated using the following equation:

                 
n

Hr=K å CiHi
i=1

 

Where:
 
Hr = Net heating value of the sample, MJ/scm: where the net enthalpy per mole of offgas is based on combustion at 250 C and 760 mm Hg, but the standard temperature for determining the value corresponding to one mole is 200 C.
 
K = Constant,
1.740 x 10-7 (1/ppm)(gmole/scm)(MJ/kcal)

where

standard temperature for (g mole/scm) is 20°C.

 
Ci =  Concentration of sample component i, in ppm, as measured by USEPA Reference Method 18, 40 CFR 60, Appendix A (1986), and ASTM D 2504-83, both incorporated by reference in Section 215.105.
 
Hi =  Net heat of combustion of sample component i, kcal/g mole. The heats of combustion may be determined using ASTM D 2382-83, incorporated by reference in Section 215.105, if published values are not available or cannot be calculated.
 
5)  Steam-assisted and nonassisted flares shall be designed and operated with an exit velocity, as determined by dividing the volumetric flowrate (in units of standard temperature and pressure), as determined by USEPA Reference Method 2 or 2A, 40 CFR 60, Appendix A (1986) incorporated by reference in Section 215.105, as appropriate; by the unobstructed (free) cross sectional area of the flare tip, less than 18 m/sec (60 ft/sec.).
 
6)  Air-assisted flares shall be designed and operated with an exit velocity less than the maximum permitted velocity, Vmax, as determined by the following equation:
 

Vmax = 8.706 + 0.7084(Hr)

 
Vmax = Maximum permitted velocity, m/sec.
8.706 = Constant.
0.7084 = Constant.
Hr = The net heating value as determined in subsection (c)(4) of this section.
 
d)  If the control device is a closed container, it shall be designed and operated to reduce the volatile organic material emissions, vented from purged process fluid after transfer, to no detectable volatile organic material emissions as determined by USEPA Reference Method 21 as specified at 40 CFR 60, Appendix A (1986), incorporated by reference in Section 215.105. For purposes of this Section, the phrase "after transfer" shall refer to the time at which the entire amount of purged process fluid resulting from a flushing or clearing of the sample line enters the closed container or containers including the final container(s) prior to disposal.
 
e)  The owner or operator of a control device shall monitor the control device to ensure that it is operated and maintained in conformance with the manufacturer's specifications, modified to the particular process design.
 
f)  The control device shall be operated at all times when emissions may be vented to it.

 
(Source: Former Section 215.438 renumbered to Section 215.439, new Section 215.438 adopted at 13 Ill. Reg. 10893, effective June 27, 1989)
 
 



Section 215.439  Compliance Date
 
The owner or operator of a synthetic organic chemical or polymer manufacturing plant subject to Sections 215.430 through 215.439 shall comply with the standards and limitations of those Sections no later than December 31, 1987.
 
(Source: Former Section 215.439 renumbered from Section 215.438 and amended at 13 Ill. Reg. 10893, effective June 27, 1989)
 
 



SUBPART R: PETROLEUM REFINING AND RELATED



INDUSTRIES; ASPHALT MATERIALS

 
 



Section 215.441  Petroleum Refinery Waste Gas Disposal
 

a)  Except as provided in subsections (b) or (c), no person shall cause or allow the discharge of organic materials in excess of 100 ppm equivalent methane (molecular weight 16.0) into the atmosphere from:
 
1)  Any catalyst regenerator of a petroleum cracking system; or
 
2)  Any petroleum fluid coker; or
 
3)  Any other waste gas stream from any petroleum or petrochemical manufacturing process.
 
b)  Exception. Existing sources subject to subsection (a)(3) may, alternatively, at their election, comply with the organic material emission limitations imposed by Section 215.301 or 215.302; provided, however, that there shall be no increase in emissions from such sources above the level of emissions in existence on May 3, 1979.
 
c)  New Sources. Sources subject to subsection (a)(3), construction of which commenced on or after January 1, 1977, may, at their election, comply with the following emission limitations:
 
1)  A maximum of eight pounds per hour of organic material; or
 
2)  Emission of organic material in excess of the limitation of subsection (c)(1) is allowable is such emissions are controlled by air pollution control methods or equipment approved by the Agency capable of reducing by 85 percent or more the uncontrolled organic material that would otherwise be emitted to the atmosphere.
 

(Source: Amended 3 Ill. Reg. 30, p. 124, effective July 29, 1979)
 
 



Section 215.442 Vacuum Producing Systems
 
No owner or operator of a petroleum refinery shall cause or allow the operation of any vacuum producing system unless the condensers, hot wells and accumulators of any such system are equipped with vapor loss control equipment including, but not limited to, piping, valves, flame arrestors and hot well covers to vent any volatile organic material with a vapor pressure of 10.34 kPa (1.5 psia) or greater at 294.3 K (70 F) to a heater, fire box, flare, refinery fuel gas system or other equipment or system of equal emission control as approved by the Agency. This Section shall not apply to vacuum producing systems on lube units.
 
(Source: Amended at 12 Ill. Reg. 815, effective December 24, 1987)
 
 



Section 215.443  Wastewater (Oil/Water) Separator
 
No owner or operator of a petroleum refinery shall operate any wastewater (oil/water) separator at a petroleum refinery unless the separator is equipped with air pollution control equipment capable of reducing by 85 percent or more the uncontrolled organic material emitted to the atmosphere. If no odor nuisance exists, the limitation of this Section shall not apply if the vapor pressure of the organic material is below 10.34 kPa (1.5 psia) at 204.3 K (70 F) at all times.
 
(Source: Amended at 12 Ill. Reg. 815, effective December 24, 1987)
 
 



Section 215.444  Process Unit Turnarounds
 

a)  No owner or operator of a petroleum refinery shall cause or allow a refinery process unit turnaround except in compliance with an operating procedure as approved by the Agency.
 
b)  Unless a procedure is already on file with the Agency as part of an approved operating permit no later than November 1, 1979, the owner or operator of a petroleum refinery shall submit to the Agency for approval a detailed procedure for reducing emissions of volatile organic material during refinery process unit turnarounds from organic material with a vapor pressure of 10.34 kPa (1.5 psia) or greater at 294.3 K (70 F). The Agency shall not approve the procedure unless it provides for:
 
1)  Depressurization of the refinery process unit or vessel to a flare, refinery fuel gas system or other equipment or system of equal emission control, as approved by the Agency, until the internal pressure from the vessel or unit is less than 5.0 psig before allowing the vessel to be vented to the atmosphere;
 
2)  Recordkeeping of the following items:
 
A)  Each date that a refinery unit or vessel is shut down; and
 
B)  The total estimated quantity of volatile organic material emitted to the atmosphere and the duration of the emission in hours.

 
(Source: Amended at 12 Ill. Reg. 815, effective December 24, 1987)
 
 



Section 215.445  Leaks: General Requirements
 

a)  The owner or operator of a petroleum refinery shall:
 
1)  Develop a monitoring program plan consistent with the provisions of Section 215.446;
 
2)  Conduct a monitoring program consistent with the provisions of Section 215.447;
 
3)  Conduct all tests for leaks in accordance with Method 21, 40 CFR 60, Appendix A, incorporated by reference in Section 215.105.
 
4)  Record all leaking components which have a volatile organic material concentration exceeding 10,000 ppm consistent with the provisions of Section 215.448;
 
5)  Identify each component consistent with the monitoring program plan submitted pursuant to Section 215.446;
 
6)  Repair and retest the leaking components as soon as possible within 22 days after the leak is found, but no later than June 1 for the purposes of Section 215.447(a)(1), unless the leaking components cannot be repaired until the unit is shut down for turnaround; and
 
7)  Report to the Agency consistent with the provisions of Section 215.449.
 
b)  A component shall be considered to be leaking if the volatile organic material concentration exceeds 10,000 ppm when measured at a distance of 0 cm from the component as determined by Method 21, 40 C.F.R. 60, Appendix A, incorporated by reference in Section 215.105.

 
(Source: Amended at 14 Ill. Reg. 9173, effective May 23, 1990)
 
 



Section 215.446  Monitoring Program Plan for Leaks
 
The owner or operator of a petroleum refinery shall prepare a monitoring program plan which contains, at a minimum:

 
a)  An identification of all refinery components and the period in which each will be monitored pursuant to Section 215.447;
 
b)  The format for the monitoring log required by Section 215.448;
 
c)  A description of the monitoring equipment to be used pursuant to Section 215.447; and
 
d)  A description of the methods to be used to identify all pipeline valves, pressure relief valves in gaseous service and all leaking components such that they are obvious to both refinery personnel performing monitoring and Agency personnel performing inspections.

 
(Source: Amended at 7 Ill. Reg. 1244, effective January 21, 1983)
 
 



Section 215.447  Monitoring Program for Leaks
 

a)  The owner or operator of a petroleum refinery subject to Section 215.445 shall, for the purpose of detecting leaks, conduct a component monitoring program consistent with the following provisions:
 
1)  Test all pressure relief valves in gaseous service, pump seals, pipeline valves, process drains and compressor seals by methods and procedures approved by the Agency not earlier than March 1 or later than June 1 of each year;
 
2)  Again test all pressure relief valves in gaseous service, pipeline valves in gaseous service and compressor seals by methods and procedures approved by the Agency not earlier than June 1 or later than August 1 of each year;
 
3)  Observe visually all pump seals weekly;
 
4)  Test immediately any pump seal from which liquids are observed dripping;
 
5)  Test any relief valve within 24 hours after it has vented to the atmosphere; and
 
6)  Test immediately after repair any component that was found leaking.
 
b)  Inaccessible valves, storage tank valves and pressure relief devices connected to an operating flare header or vapor recovery device are exempt from the monitoring requirements in Subsection (a).
 
c)  The Agency may require more frequent monitoring than would otherwise be required by Subsection (a) for components which are demonstrated to have a history of leaking.

 
(Source: Amended at 7 Ill. Reg. 1244, effective January 21, 1983)
 
 



Section 215.448  Recordkeeping for Leaks
 

a)  The owner or operator of a petroleum refinery shall maintain a leaking components monitoring log which shall contain, at a minimum, the following information:
 
1)  The name of the process unit where the component is located;
 
2)  The type of component (e.g., valve, seal);
 
3)  The identification number of the component;
 
4)  The date on which a leaking component is discovered;
 
5)  The date on which a leaking component is repaired;
 
6)  The date and instrument reading of the recheck procedure after a leaking component is repaired;
 
7)  A record of the calibration of the monitoring instrument;
 
8)  The identification number of leaking components which cannot be repaired until turn-around; and
 
9)  The total number of components inspected and the total number of components found leaking during that monitoring period.
 
b)  Copies of the monitoring log shall be retained by the owner or operator for a minimum of two years after the date on which the record was made or the report prepared.
 
c)  Copies of the monitoring log shall be made available to the Agency, upon verbal or written request, at any reasonable time.
 

(Source: Amended at 7 Ill. Reg. 1244, effective January 21,1983)
 
 



Section 215.449  Reporting for Leaks
 
The owner or operator of a petroleum refinery shall:

 
a)  Submit a report to the Agency prior to the 1st day of both July and September listing all leaking components identified pursuant to Section 215.447 but not repaired within 22 days, all leaking components awaiting unit turnaround, the total number of components inspected and the total number of components found leaking;
 
b)  Submit a signed statement with the report attesting that all monitoring and repairs were performed as required under Sections 215.445 through 215.448.

 
(Source: Amended at 7 Ill. Reg. 1244, effective January 21, 1983)
 
 



Section 215.450  Alternative Program for Leaks
 
The Agency may approve an alternative program of monitoring, recordkeeping, and/or reporting to that prescribed in Sections 215.446 through 215.449, upon a demonstration by the owner or operator of a petroleum refinery that the alternative program will provide refinery and Agency personnel with an equivalent ability to identify and repair leaking components. The owner or operator utilizing an alternative monitoring program shall submit to the Agency an alternative monitoring program plan consistent with the provisions of Section 215.446.
 
(Source: Amended at 7 Ill. Reg. 1244, effective January 21, 1983)
 
 



Section 215.451  Sealing Device Requirements
 
Except for safety pressure relief valves, no owner or operator of a petroleum refinery shall install or operate a valve at the end of a pipe or line containing volatile organic materials unless the pipe or line is sealed with a second valve, blind flange, plug, cap or other sealing device. The sealing device may be removed only when a sample is being taken or during maintenance operations.
 
(Source: Amended at 7 Ill. Reg. 1244, effective January 21, 1983)
 
 



Section 215.452  Compliance Schedule for Leaks
 
The owner or operator of a petroleum refinery shall adhere to the increments of progress contained in the following schedule:

 
a)  Submit to the Agency a monitoring program plan consistent with Section 215.446 prior to June 1, 1983.
 
b)  Submit the first monitoring report pursuant to Section 215.449 to the Agency prior to July 1, 1983.

 
(Source: Amended at 7 Ill. Reg. 1244, effective January 21, 1983)
 
 



Section 215.453  Compliance Dates and Geographical Areas
 

a)  Except as otherwise stated in subsection (b), every owner or operator of an emission source subject to Sections 215.445 through 215.451 shall comply with those standards and limitations in accordance with Section 215.452.
 
b)  If an emission source is not located in one of the counties listed below and is also not located in any county contiguous thereto, the owner or operator of the emission source shall comply with the requirements of Sections 215.445 through 215.451 no later than December 31, 1987:
 

Cook Macoupin
DuPage Madison
Kane Monroe
Lake Saint Clair

 

(BOARD NOTE: These counties are proposed to be designated as nonattainment by the USEPA, at 47 Fed. Reg. 31588, July 21, 1982)
 
c)  Notwithstanding subsection (b), if any county is designated as nonattainment by the USEPA at any time subsequent to the effective date of this Section, the owner or operator of an emission source located in that county or any county contiguous to that county who would otherwise be subject to the compliance date in subsection (b) shall comply with the requirements of Sections 215.445 through 215.451 within one year from the date of redesignation but in no case later than December 31, 1987.

 
(Source: Amended at 7 Ill. Reg. 1244, effective January 21, 1983)
 
 



SUBPART S: RUBBER AND MISCELLANEOUS PLASTIC PRODUCTS

 



Section 215.461  Manufacture of Pneumatic Rubber Tires
 
The owner or operator of an undertread cementing, treadend cementing or bead dipping operation at a pneumatic rubber tire manufacturing facility shall install and operate:

 
a)  A capture system, with minimum capture efficiency of 65 percent by weight of volatile organic material for treadend cementing or bead dipping operations and a capture system with a minimum capture efficiency of 55.5 percent by weight of volatile organic material for undertread cementing; and
 
b)  A control device that meets the requirements of one of the following:
 
1)  A carbon adsorption system designed and operated in a manner such that there is at least a 90 percent removal of volatile organic material by weight from the gases ducted to the control device;
 
2)  An afterburning system that oxidizes at least 90 percent of the captured nonmethane volatile organic materials (VOM measured as total combustible carbon) to carbon dioxide and water; and
 
3)  An alternative volatile organic material emission reduction system demonstrated to have at least a 90 percent overall reduction efficiency and approved by the Agency.

 
(Source: Added at 7 Ill. Reg. 1244, effective January 21, 1983)
 
 



Section 215.462  Green Tire Spraying Operations
 
The owner or operator of a green tire spraying operation at a pneumatic rubber tire manufacturing facility shall:

 
a)  Install and operate:
 
1)  A capture system with a minimum capture efficiency of 90 percent by weight of volatile organic material; and
 
2)  A control device that meets the requirements of one of the following:
 
A)  A carbon adsorption system designed and operated in a manner such that there is at least 90 percent removal of volatile organic material by weight from the bases ducted to the control device;
 
B)  An afterburning system that oxidizes at least 90 percent of the captured non-methane volatile organic material (measured as total combustible carbon) to carbon dioxide and water; or
 
C)  An alternative volatile organic material emission reduction system demonstrated to have at least a 90 percent overall reduction efficiency and approved by the Agency.
 
b)  Substitute for the normal solvent-based mold release compound water-based sprays containing:
 
1)  No more than five percent by volume of volatile organic material as applied for the inside of tires;
 
2)  No more than ten percent by volume of volatile organic material as applied for the outside of tires.

 
(Source: Added at 7 Ill. Reg. 1244, effective January 21, 1983)
 
 



Section 215.463  Alternative Emission Reduction Systems
 
In lieu of complying with Section 215.461 or 215.462, the owner or operator of an emission source may utilize an alternative volatile organic emission reduction system, including an alternative production process, which is demon-strated to be equivalent to Section 215.461 or 215.462 on the basis of emissions of volatile organic matter. A treadend cementing operation shall be considered equivalent to Section 215.461 or 215.462 for the purposes of this Section if the total volatile organic emission from such operation is 10 grams or less per tire.
 
(Source: Added at 7 Ill. Reg. 1244, effective January 21, 1983)
 
 



Section 215.464  Emissions Testing
 

a)  Any tests of volatile organic material emissions, including tests conducted to determine control equipment efficiency or control device destruction efficiency, shall be conducted in accordance with the methods and procedures specified in Section 215.102.
 
b)  Upon a reasonable request by the Agency, the owner or operator of a volatile organic material emission source required to comply with a limit of Sections 215.461 through 215.464 shall conduct emissions testing, at such person's own expense, to demonstrate compliance.
 
c)  A person planning to conduct a volatile organic material emission test to demonstrate compliance shall notify the Agency of that intent not less than 30 days before the planned initiation of the tests so the Agency may observe the test.

 
(Source: Amended at 14 Ill. Reg. 9173, effective May 23, 1990)
 
 



Section 215.465  Compliance Dates and Geographical Areas
 

a)  Except as otherwise stated in subsection (b), every owner or operator of an emission source subject to Sections 215.461 through 215.464 shall comply with the standards and limitations of this Part by December 31, 1983.
 
b)  If an emission source is not located in one of the counties listed below and is also not located in any county contiguous thereto, the owner or operator of the emission source shall comply with the requirements of Sections 215.461 through 215.464 no later than December 31, 1987:
 

Cook Macoupin
DuPage Madison
Kane Monroe
Lake Saint Clair

 

 
(BOARD NOTE: These counties are proposed to be designated as nonattainment by the USEPA at 47 Fed. Reg. 31588, July 21, 1982)
 
c)  Notwithstanding subsection (b), if any county is designated as nonattainment by the USEPA at any time subsequent to the effective date of this Section, the owner or operator of an emission source located in that county or any county contiguous to that county who would otherwise be subject to the compliance date in subsection (b) shall comply with the requirements of Sections 215.461 through 215.464 within one year from the date of redesignation but in no case later than December 31, 1987.

 
(Source: Added at 7 Ill. Reg. 1244, effective January 21, 1983)
 
 



Section 215.466  Compliance Plan
 

a)  The owner or operator of an emission source subject to Section 215.465(a) shall submit to the Agency a compliance plan, pursuant to 35 Ill. Adm. Code 201, Subpart H, including a project completion schedule where applicable, no later than April 21, 1983.
 
b)  The owner or operator of an emission source subject to Section 215.465(b) shall submit to the Agency a compliance plan, including a project completion schedule where applicable, no later than December 31, 1986.
 
c)  The owner or operator of an emission source subject to Section 215.465(c) shall submit a compliance plan, including a project completion schedule within 90 days after the date of redesignation, but in no case later than December 31, 1986.
 
d)  Unless the submitted compliance plan or schedule is disapproved by the Agency, the owner or operator of a facility or emission source subject to the rules specified in subsections (a), (b) or (c) may operate the emission source according to the plan and schedule as submitted.
 
e)  The plan and schedule shall meet the requirements of 35 Ill. Adm. Code 201, Subpart H, including specific interim dates as required in 35 Ill. Adm. Code 201.242.
 

(Source: Added at 7 Ill. Reg. 1244, effective January 21, 1983)
 
 



Section 215.467  Testing Methods for Volatile Organic Material Content
 
The volatile organic material content for all VOM emitting materials except printing inks shall be determined by Method 24, 40 CFR 60, Appendix A, incorporated by reference in Section 215.105. Any alternate test method must be approved by the Agency, which shall consider data comparing the performance of the proposed alternative to the performance of the approved test method(s). If the Agency determines that such data demonstrates that the proposed alternative will achieve results equivalent to the approved test method(s), the Agency shall approved the proposed alternative.
 
(Source: Added at 14 Ill. Reg. 9173, effective May 23, 1990)
 

 



SUBPART T: PHARMACEUTICAL MANUFACTURING

 



Section 215.480  Applicability of Subpart T
 

a)  The rules of this Subpart, except for Sections 215.483 through 215.485, apply to all emission sources of volatile organic material, including but not limited to reactors, distillation units, dryers, storage tanks for volatile organic liquids, equipment for the transfer of volatile organic liquids, filters, crystallizers, washers, laboratory hoods, pharmaceutical coating operations, mixing operations and centrifuges used in manufacturing, including packaging, of pharmaceuticals, and emitting more than 6.8 kg/day (15 lbs/day) of volatile organic material and more than 2268 kg/year (2.5 tons/year) of volatile organic material. If an emission source emits less than 2,268 kg/year (2.5 tons/year) of volatile organic material, the requirements of this Subpart, except for Sections 215.483 through 215.485, still apply to the emission source if volatile organic material emissions from the emission source exceed 45.4 kg/day (100 lbs/day).
 
b)  Notwithstanding subsection (a), the air suspension coater/dryer, fluid bed dryers, tunnel dryers and Accelacotas located in Libertyville Township, Lake County, Illinois shall be exempt from the rules of this Subpart, except for Sections 215.483 through 215.485, if emissions of volatile organic material not vented to air pollution control equipment do not exceed the following levels: for the air suspension coater/dryer: 2268 kg/year (2.5 tons per year); for each fluid bed dryer: 4535 kg per year (5.0 tons per year); and for each tunnel driver: 6803 kg per year (7.5 tons per year); and for each Accelacota: 6803 kg per year (7.5 tons per year).
 
c)  Sections 215.483 through 215.485 apply to a plant having one or more emission sources that:
 
1)  are used to manufacture pharmaceuticals; and
 
2)  emit more than 6.8 kg/day (15 lbs/day) of volatile organic material and more than 2268 kg/year (2.5 tons/year) of volatile organic material, or, if less than 2.5 tons/year, these sections still apply if emissions from one or more emission sources exceed 45.4 kg/day (100 lbs/day).
 
d)  No person shall violate any condition in a permit when the condition results in exclusion of an emission source from this Subpart.
 
e)  Emissions subject to this Subpart shall be controlled at all times, consistent with the requirements set forth in this Subpart.
 
f)  Control devices required pursuant to Section 215.483 shall be operated at all times.
 
g)  If a pharmaceutical manufacturing emission source becomes subject to the provisions of Section 215.481, 215.482 or 215.486 on or after the compliance date specified in Section 215.490(a), the requirements of such section shall continue to apply to the emission source even if there is a reduction in emissions as to be below the applicability criteria of this Section.
 
h)  Determinations of daily and/or annual emissions
 
1)  Determinations of daily and/or annual emissions for purposes of this Section shall be made using:
 
A)  data on the hourly emission rate or the emission per unit of throughput, and
 
B)  ppropriate daily and annual data from records of emission source operation or material throughput, or material consumption.
 
2)  In the absence of representative test data pursuant to Section 215.487 for the hourly emission rate or emission rate per unit of throughput, such items shall be determined using engineering calculations, including the methods described in Appendix B of "Control of Volatile Organic Emissions from Manufacture of Synthesized Pharmaceutical Products", incorporated by reference at Section 215.105.
 
3)  This subsection shall not affect the Agency's authority to require emissions tests to be performed pursuant to Section 215.487.

 
(Source: Amended at 15 Ill. Reg. 8018, effective May 14, 1991)
 
 



Section 215.481  Control of Reactors, Distillation Units, Crystallizers,



Centrifuges and Vacuum Dryers

 

a)  The owner or operator shall equip all reactors, distillation units, crystallizers, centrifuges and vacuum dryers that are used to manufacture pharmaceuticals with surface condensers or other air pollution control equipment listed in subsection (a)(2).
 
1)  If a surface condenser is used, it shall be operated such that the condenser outlet gas temperature does not exceed:
 
A)  248.2 K (-13 F) when condensing volatile organic material of vapor pressure greater than 40.0 kPa (5.8 psi) at 294.3 K (70 F); or
 
B)  258.2 K (5 F) when condensing volatile organic material of vapor pressure greater than 20.0 kPa (2.9 psi) at 294.3 K (70 F); or
 
C)  273.2 K (32 F) when condensing volatile organic material of vapor pressure greater than 10.0 kPa (1.5 psi) at 294.3 K (70 F); or
 
D)  283.2 K (50 F) when condensing volatile organic material of vapor pressure greater than 7.0 kPa (1.0 psi) at 294.3 K (70 F); or
 
E)  298.2 K (77 F) when condensing volatile organic material of vapor pressure greater than 3.45 kPa (0.5 psi) at 294.3 K (70 F).
 
2)  If a scrubber, carbon adsorber, thermal incinerator, catalytic incinerator or other air pollution control equipment other than a surface condenser is used, such equipment shall provide a reduction in the emissions of volatile organic material of 90 percent or more.
 
b)  The owner or operator shall enclose all centrifuges used to manufacture pharmaceuticals and that have an exposed volatile organic liquid surface, where the volatile organic material in the volatile organic liquid has a vapor pressure of 3.45 kPa (0.5 psi) or more at 294.3 K (70 F), except as production, sampling, maintenance or inspection procedures require operator access.

 
(Source: Amended at 15 Ill. Reg. 8018, effective May 14, 1991)
 
 



Section 215.482  Control of Air Dryers, Production Equipment Exhaust



Systems and Filters

 

a)  The owner or operator of an air dryer or production equipment exhaust system used to manufacture pharmaceuticals shall control the emissions of volatile organic material from such emission sources by air pollution control equipment which reduces by 90 percent or more the volatile organic material that would otherwise be emitted into the atmosphere.
 
b)  The owner or operator shall enclose all rotary vacuum filters and other filters used to manufacture pharmaceuticals and that have an exposed volatile organic liquid surface, where the volatile organic material in the volatile organic liquid has a vapor pressure of 3.45 kPa (0.5 psi) or more at 294.3 K (70 F), except as production, sampling, maintenance or inspection procedures require operator access.

 
(Source: Amended at 15 Ill. Reg. 8018, effective May 14, 1991)
 
 



Section 215.483  Material Storage and Transfer
 
The owner or operator of a pharmaceutical manufacturing plant shall:

 
a)  Provide a vapor balance system that is at least 90.0 percent effective in reducing volatile organic material emissions from truck or railcar deliveries to storage tanks with capacities equal to or greater than 7.57m (2,000 gallons) that store volatile organic liquids with vapor pressures greater than 28.0 kPa (4.1 psi) at 294.3 K (70 F); and
 
b)  Install, operate and maintain pressure/vacuum conservation vents set at 0.2 kPa (0.03 psi) or greater on all storage tanks that store volatile organic liquids with vapor pressures greater than 10 kPa (1.5 psi) at 294.3 K (70 F).

 
(Source: Amended at 15 Ill. Reg. 8018, effective May 14, 1991)
 



Section 215.484  In-Process Tanks
 
The owner or operator shall install covers on all in-process tanks used to manufacture pharmaceuticals and containing a volatile organic liquid at any time. These covers must remain closed, except as production, sampling, maintenance, or inspection procedures require operator access.
 
(Source: Amended at 15 Ill. Reg. 8018, effective May 14, 1991)
 
 



Section 215.485  Leaks
 
The owner or operator of a pharmaceutical manufacturing plant shall repair any component from which a leak of volatile organic liquid can be observed. The repair shall be completed as soon as practicable but no later than 15 days after the leak is found unless the leaking component cannot be repaired until the process unit is shut down, and the leaking component must then be repaired before the unit is restarted.
 
(Source: Added at 15 Ill. Reg. 8018, effective May 14, 1991)
 
 
 



Section 215.486  Other Emission Sources
 
The owner or operator of a washer, laboratory hood, tablet coating operation, mixing operation, or any other process emission source not subject to Section 215.481 through 215.485 of this Subpart, and used to manufacture pharmaceuticals shall control the emissions of volatile organic material from such emission sources by:

 
a)  Air pollution control equipment which reduces by 81 percent or more the volatile organic material that would otherwise be emitted to the atmosphere, or
 
b)  A surface condenser which captures all the volatile organic material which would otherwise be emitted to the atmosphere and which meets the requirements of Section 215.481(a) of this Subpart.

 
(Source: Amended at 15 Ill. Reg. 8018, effective May 14, 1991)
 
 



Section 215.487  Testing
 

a)  Upon reasonable request by the Agency, the owner or operator of any volatile organic material emission source subject to this Subpart or exempted from this Subpart by provisions of Section 215.480(a), (b) or (c) shall, at his own expense, demonstrate compliance to the Agency by methods or procedures listed in Section 215.487(c); and
 
b)  A person planning to conduct a volatile organic material emissions test to demonstrate compliance with or determine applicability of provisions of this Subpart shall notify the Agency of that intent to test not less than 30 calendar days prior to the planned initiation of the test.
 
c)  Test procedures to determine compliance with and applicability of this Subpart are in 40 CFR Part 60, Appendix A, incorporated by reference at Section 215.105, and shall be used as delineated below:
 
1)  40 CFR 60, Appendix A, Methods 18, 25 or 25A, as appropriate to the conditions at the site, shall be used to determine VOM concentration. Method selection shall be based on consideration of the diversity of organic species present and their total concentration and on consideration of the potential presence of interfering gases. Except as indicated in subsections (c)(1)(A) and (c)(1)(B), the test shall consist of three separate runs, each lasting a minimum of 60 minutes, unless the Agency determines that process variables dictate shorter sampling times.
 
A)  When the method is to be used to determine the efficiency of a fixed-bed carbon adsorption system with a common exhaust stack for all the individual adsorber vessels, the test shall consist of three separate runs, each coinciding with one or more complete sequences through the adsorption cycles of all the individual adsorber vessels.
 
B)  When the method is to be used to determine the efficiency of a fixed-bed carbon adsorption system with individual exhaust stacks for each adsorber vessel, each adsorber vessel shall be tested individually. The test for each adsorber vessel shall consist of three separate runs. Each run shall coincide with one or more complete adsorption cycles.
 
2)  40 CFR Part 60, Appendix A, Method 1 or 1A shall be used for sample and velocity traverses.
 
3)  40 CFR Part 60, Appendix A, Method 2, 2A, 2C or 2D shall be used for velocity and volumetric flow rates.
 
4)  40 CFR Part 60, Appendix A, Method 3 shall be used for gas analysis.
 
5)  40 CFR Part 60, Appendix A, Method 4 shall be used for stack gas moisture.
 
6)  40 CFR Part 60, Appendix A, Methods 2, 2A, 2C, 2D, 3 and 4 shall be performed, as applicable, at least twice during each test run.
 
d)  This section shall not affect the authority of the U.S. Environmental Protection Agency under Section 114 of the Clean Air Act.

 
(Source: Amended at 15 Ill. Reg. 8018, effective May 14, 1991)
 
 



Section 215.488  Monitors for Air Pollution Control Equipment
 

a)  At a minimum, continuous monitors for the following parameters shall be installed on air pollution control equipment subject to this Subpart:
 
1)  Destruction device combustion temperature;
 
2)  Temperature rise across a catalytic afterburner bed;
 
3)  Breakthrough of volatile organic material on a carbon adsorption unit;
 
4)  Outlet gas temperature of a refrigerated condenser;
 
5)  Temperature of a non-refrigerated condenser coolant supply system.
 
b)  Each monitor shall be equipped with a recording device.
 
c)  Each monitor shall be calibrated quarterly.
 
d)  Each monitor shall operate at all times while the associated control equipment is operating.
 

(Source: Amended at 15 Ill. Reg. 8018, effective May 14, 1991)
 
 



Section 215.489  Recordkeeping (Renumbered)
 

a)  The owner or operator of a pharmaceutical manufacturing plant shall maintain the following records:
 
1)  The parameters listed in Section 215.488 shall be recorded.
 
2)  For sources subject to Section 215.482, the vapor pressure of the volatile organic material being controlled shall be recorded for every process.
 
b)  For any leak subject to Section 215.485 which cannot be readily repaired within one hour after detection, the following records shall be kept:
 
1)  The name of the leaking equipment.
 
2)  The date and time the leak is detected.
 
3)  The action taken to repair the leak.
 
4)  The date and time the leak is repaired.
 
c)  The following records shall be kept for emission sources subject to Section 215.484 which contain volatile organic liquid:
 
1)  For maintenance and inspection:
 
A)  The date and time each cover is opened.
 
B)  The length of time the cover remains open.
 
C)  The reason why the cover is opened.
 
2)  For production and sampling, written procedures or manufacturing directions specifying the circumstances under which covers may be opened and the procedures for opening covers.
 
d)  For each emission source used in manufacture of pharmaceuticals for which the owner or operator of a pharmaceutical manufacturing plant claims emission standards are not applicable because the emissions are below the applicability cutoff in Section 215.480(a) or (b), the owner or operator shall:
 
1)  Maintain a demonstration, including detailed engineering calculations, of the maximum daily and annual emissions for each such emission source showing that the emissions are below the applicability cutoffs in Section 215.480(a) or (b), as appropriate, for the current and prior calendar years;
 
2)  Maintain operating records for each emission source to identify whether the cutoffs in Section 215.480(a) or (b), as appropriate, are ever exceeded; and
 
3)  Provide written notification to the Agency within 30 days of a determination that such an emissions source has exceeded the applicability cutoff of Section 215.480(a) or (b), as appropriate.
 
e)  Records required under this section shall be maintained by the owner or operator for a minimum of two years after the date on which they are made.
 
f)  Copies of the records shall be made available to the Agency upon verbal or written request.

 
(Source: Renumbered to Section 215.490, and added at 15 Ill. Reg. 8018, effective May 14, 1991)
 
 



Section 215.490  Compliance Schedule (Renumbered)
 

a)  The owner or operator of an emission source subject to this Subpart, the construction or modification of which has commenced prior to (the effective date of these amendments), must complete on-site construction, modification or installation of the emission control and/or process equipment or complete any necessary production process changes so as to operate in compliance with this Subpart by April 30, 1991.
 
b)  The owner and operator of any emission source subject to this Subpart, the construction or modification of which has not commenced prior to (the effective date of these amendments), shall construct such source so that it will operate in compliance with this Subpart.
 

(Source: Renumbered from Section 215.489 and amended at 15 Ill. Reg. 8018, effective May 14, 1991)
 
 



SUBPART U: COKE MANUFACTURE AND BY-PRODUCT RECOVERY

 



Section 215.500  Exceptions
 
The provisions of Subpart K shall not apply to coke by-product recovery plant.
 
(Source: Added at 9 Ill. Reg. 13960, effective August 28, 1985)
 
 



Section 215.510  Coke By-Product Recovery Plants
 
The owner or operator of a coke by-product recovery plant shall reduce the uncontrolled emissions of volatile organic materials by at least 85 percent from the following sources, as defined:

 
a)  Tar decanter, which is a rectangular vessel used to separate tar and flushing liquor by means of gravity;
 
b)  Light oil sump, which receives wastewater from process equipment from the light oil recovery portion of a coke by-product recovery plant;
 
c)  Light oil condensor/separator, which is a device used to condense or separate light oil from which the non-condensable constituents are vented; and
 
d)  Tar condensate sump, which receives water condensate streams from the tar recovery process equipment.

(Source: Added at 9 Ill. Reg. 13960, effective August 28, 1985)
 
 



Section 215.512  Coke By-Product Recovery Plant Leaks
 

a)  The owner or operator of a coke by-product recovery plant shall conduct a visual inspection program designed to detect, identify, and facilitate repair of leaks from components in light oil liquid service. Components servicing coke oven gas lines, operating flare headers or vapor recovery devices (including pressure relief devices) are exempt from the inspection program.
 
b)  In conducting such a program, the owner or operator of a coke by-product recovery plant shall:
 
1)  Develop and conduct a weekly inspection program consistent with the provisions of Section 215.513.
 
2)  Record all visible leaking components in light oil liquid service and identify each component observed leaking consistent with the provisions of Section 215.513.
 
3)  Repair the leaking components as soon as practicable, but no later than 21 days after the leak is discovered unless the leaking component cannot be required until the unit is shut down or until parts needed to correct the leak are available.
 

(Source: Added at 9 Ill. Reg. 13960, effective August 28, 1985)
 
 



Section 215.513  Inspection Program
 
The owner or operator shall prepare and conduct an inspection program which, at a minimum, shall require the owner or operator to:

 
a)  Observe visually for leaks from all components subject to Section 215.512 on a weekly basis;
 
b)  Identify all leaking components so that they are obvious and can be located by plant personnel performing visual inspections and Agency personnel performing inspections; and
 
c)  Record in the monitoring log, the information for each leaking component as required by the provisions of Sections 215.514

 
(Source: Added at 9 Ill. Reg. 13960, effective August 28, 1985)
 
 



Section 215.514  Recordkeeping Requirements
 

a)  The owner or operator of a coke by-product recovery plant shall maintain a monitoring log that shall contain, at a minimum, the following information for each component found leaking:
 
1)  The name of the process unit where the observed leaking component is located;
 
2)  Identification of the type of component (e.g., valve, seal);
 
3)  he date on which the leaking component is first observed;
 
4)  The date on which a leaking component is repaired;
 
5)  Identification of the type of leaking components which cannot be repaired until unit shutdown; and
 
6)  Identification of component leaks which are not repaired within 21 days after discovery because of the unavailability of replacement parts, including the date the repair part was ordered and the date the repair part was received.
 
b)  The monitoring log shall be retained by the owner or operator for a minimum of two years after the date on which the record was made.
 
c)  Copies of the monitoring log shall be made available to the Agency upon verbal or written request at a reasonable time.

 
(Source: Added at 9 Ill. Reg. 13960, effective August 28, 1985)
 
 



Section 215.515  Reporting Requirements
 
The owner or operator of a coke by-product recovery plant shall submit to the Agency, prior to the first day of May and August of each year, a signed statement attesting that all monitoring and repairs were performed as required under Section 215.512.
 
(Source: Added at 9 Ill. Reg. 13960, effective August 28, 1985)
 
 



Section 215.516  Compliance Dates
 
The owner or operator of an emission source subject to:

 
a)  Section 215.510 shall comply with the Section by December 31, 1986;
 
b)  Sections 215.512 through 215.514 shall comply with those Sections by December 31, 1985.

 
(Source: Added at 9 Ill. Reg. 13960, effective August 28, 1985)
 
 



Section 215.517  Compliance Plan
 
The owner or operator of a facility or emission source subject to this Subpart shall submit to the Agency, a compliance plan and project completion schedule for:

 
a)  Section 215.510 by August 31, 1986;
 
b)  Section 215.514 by October 31, 1985.
 

(Source: Added at 9 Ill. Reg. 13960, effective August 28, 1985)
 
 



SUBPART V: AIR OXIDATION PROCESSES

 



Section 215.520  Applicability
 
This Subpart applies to plants using air oxidation processes which are located in any of the following counties: Will, McHenry, Cook, DuPage, Lake, Kane, Madison, St. Clair, Macoupin and Monroe.
 
(Source: Added at 11 Ill. Reg. 20829, effective December 14, 1987)
 
 



Section 215.521  Definitions
 
In addition to the definitions of 35 Ill. Adm. Code 211, the following definitions apply to this Subpart:
 

  "Air Oxidation Process": any unit process including ammoxidation and oxychlorination which uses air or a combination of air and oxygen as an oxidant in combination with one or more organic reactants to produce one or more organic compounds.
   
  "Cost Effectiveness": the annual expense for cost of control of a given process stream divided by the reduction in emissions of organic material of thatstream.
   
  "Flow (F)": Vent stream flowrate (scm/min) at a standard temperature of 20 C.
   
  "Full Operating Flowrate": Maximum operating capacity of the facility.
   
  "Hourly Emissions (E)": Hourly emissions reported in kg/hr measured at full operating flowrate.
   
  "Net Heating Value (H)": Vent stream net heating value (MJ/scm), where the net enthalpy per mole of offgas is based on combustion at 25 C and 760 mm Hg, but the standard temperature for determining the volume corresponding to one mole is 20 C, as in the definition of "Flow."
   
  "Process vent Stream": an emission stream resulting from an air oxidation process.
   
  "Total Resource Effectiveness Index (TRE)": Cost effectiveness in dollars per megagram of controlling any gaseous stream vented to the atmosphere from an air oxidation process divided by $1600/Mg, using the criteria and methods set forth in this Subpart and Appendices E and F.

 

 
(Source: Added at 11 Ill. Reg. 20829, effective December 14, 1987)
 
 



Section 215.525  Emission Limitations for Air Oxidation Processes
 

a)  No person shall cause or allow the emission of volatile organic material (VOM) from any process vent stream unless the process vent stream is vented to a combustion device which is designed and operated either:
 
1)  To reduce the volatile organic emissions vented to it with an efficiency of at least ninety eight percent (98%) by weight; or
 
2)  To emit volatile organic material at a concentration less than twenty parts per million by volume, dry basis.
 
b)  Air oxidation facilities for which an existing combustion device is employed to control process VOM emissions are not required to meet the 98 percent emissions limit until the combustion device is replaced for other reasons, which shall be considered to include, but not be limited to, normal maintenance, malfunction, accident, and obsolescence. The combustion device is considered to be replaced when:
 
1)  All of the device is replaced; or
 
2)  When the cost of the repair of the device or the cost of replacement of part of the device exceeds 50% of the cost of replacing the entire device with a device which complies.
 
c)  The limitations of subsection (a) do not apply to any process vent stream or combination of process vent streams which has a Total Resource Effectiveness Index (TRE) greater than 1.0, as determined by the following methods:
 
1)  If an air oxidation process has more than one process vent stream, TRE shall be based upon a combination of the process vent stream.
 
2)  TRE of a process vent stream shall be determined according to the following equation:

TRE = E-1[a + bFn + cF + dFH + e(FH)n + fF0.5]

 
where:

n = 0.88

 
TRE = Total resource effectiveness index.
 
F = Vent stream flowrate (scm/min), at a standard temperature of 20 C.

E = Hourly measured emissions in kg/hr.
 
H = Net heating value of the vent stream (MJ/scm), where the net enthalpy per mole of offgas is based on combustion at 25 C and 760 mm Hg, but the standard temperature for determining the volume corresponding to one mole is 20 C, as in the definition of "Flow".
 
a,b,c,d,
e and f = Coefficients obtained by use of Appendix F

 
3)  For nonchlorinated process vent streams, if the net heating value, H, is greater than 3.6 MJ/scm, F shall be replaced by F' for purposes of calculating TRE. F' is computed as follows:
 
F' = FH / 3.6
 
where f and H are as defined in subsection (c)(2).
 
4)  The actual numerical values used in the equation described in subsection (c)(2) shall be determined as follows:
 
A)  All reference methods and procedures for determining the flow, (F), hourly emissions, (E), and net heating, (H), value shall be in accordance with Appendix E.
 
B)  All coefficients described in subsection (c)(2) shall be in accordance with Appendix F.
 

(Source: Added at 11 Ill. Reg. 20829, effective December 14, 1987)
 
 



Section 215.526  Testing and Monitoring
 

a)  Upon request by the Agency during the permitting process under Section 39 of the Act, the owner or operator of an air oxidation process shall demonstrate compliance with this Subpart by use of the methods specified in Appendix E. This Section does not limit the USEPA's authority, under the Clear Air Act, to require demonstrations of compliance.
 
b)  A person planning to conduct a volatile organic material emissions test to demonstrate compliance with this Subpart shall notify the Agency of that intent not less than 30 days before the planned initiation of the tests so that the Agency may observe the test.

 
(Source: Added at 11 Ill. Reg. 20829, effective December 14, 1987)
 
 



Section 215.527  Compliance Date
 
Each owner or operator of an emission source subject to this Subpart shall comply with the standards and limitations of this Subpart by December 31, 1987.
 
(Source: Added at 11 Ill. Reg. 20829, effective December 14, 1987)
 
 



SUBPART W: AGRICULTURE

 



Section 215.541  Pesticide Exception
 
The provisions of Sections 215.301 and 215.302 shall not apply to the spraying or use of insecticides, herbicides or other pesticides.
 
(Source: Added at 3 Ill. Reg. 30, p. 124, effective July 28, 1979)
 
 



SUBPART X: CONSTRUCTION

 



Section 215.561  Architectural Coatings
 
No person shall cause or allow the sale or use in the Chicago or St. Louis (Illinois) major metropolitan areas of any architectural coating containing more than 20 percent by volume of photochemically reactive material in containers having a capacity of more than one gallon.
 
(Source: Amended at 3 Ill. Reg. 30, p. 124, effective July 28, 1979)
 
 



Section 215.562  Paving Operations
 
The provisions of Sections 215.301 and 215.302 shall not apply to the application of paving asphalt and pavement marking paint from sunrise to sunset.
 
(Source: Amended at 3 Ill. Reg. 30, p. 124, effective July 28, 1979)
 
 



Section 215.563  Cutback Asphalt
 

a)  No person shall cause or allow the use or application of cutback asphalt for paving, resurfacing, reconditioning, repairing or otherwise maintaining a roadway unless:
 
1)  The use or application of the cutback asphalt commences on or after October 1 of any year and such use or application is completed by April 30 of the following year; or
 
2)  The cutback asphalt is a long-life stockpile material which remains in stock after April 30 of each year and as such it may be used until depleted for patching potholes and for other similar repair work; or
 
3  The cutback asphalt is to be used solely as an asphalt prime coat.
 
b)  Sources subject to this section are not required to submit or obtain an Agency approved compliance plan or project completion schedule under 35 Ill. Adm. Code 201, Subpart H.

 
(Source: Amended at 3 Ill. Reg. 30, p. 124, effective July 28, 1979)
 
 



SUBPART Y: GASOLINE DISTRIBUTION

 



Section 215.581  Bulk Gasoline Plants
 

a)  Subject to subsection (e), no person may cause or allow the transfer of gasoline from a delivery vessel into a stationary storage tank located at a bulk gasoline plant unless:
 
1)  The delivery vessel and the stationary storage tank are each equipped with a vapor collection system that meets the requirements of subsection (d)(4);
 
2)  Each vapor collection system is operating;
 
3)  The delivery vessel displays the appropriate sticker pursuant to the requirements of Section 215.584(b) or (d);
 
4)  The pressure relief valve(s) on the stationary storage tank and the delivery vessel are set to release at no less than 0.7 psi or the highest pressure allowed by state or local fire codes or the guidelines of the National Fire Prevention Association; and
 
5)  The stationary storage tank is equipped with a submerged loading pipe.
 
b)  Subject to subsection (f), no person may cause or allow the transfer of gasoline from a stationary storage tank located at a bulk gasoline plant into a delivery vessel unless:
 
1)  The requirements set forth in subsections (a)(1) through (a)(4) are met; and
 
2)  Equipment is available at the bulk gasoline plant to provide for the submerged filling of the delivery vessel or the delivery vessel is equipped for bottom loading.
 
c)  Subject to subsection (e), each owner of a stationary storage tank located at a bulk gasoline plant shall:
 
1)  Equip each stationary storage tank with a vapor control system that meets the requirements of subsection (a) or (b), whichever is applicable;
 
2)  Provide instructions to the operator of the bulk gasoline plant describing necessary maintenance operations and procedures for prompt notification of the owner in case of any malfunction of a vapor control system; and
 
3)  Repair, replace or modify any worn out or malfunctioning component or element of design.
 
d)  Subject to subsection (e), each operator of a bulk gasoline plant shall:
 
1)  Maintain and operate each vapor control system in accordance with the owner's instructions;
 
2)  Promptly notify the owner of any scheduled maintenance or malfunction requiring replacement or repair of a major component of a vapor control system; and
 
3)  Maintain gauges, meters or other specified testing devices in proper working order;
 
4)  Operate the bulk plant vapor collection system and gasoline loading equipment in a manner that prevents:
 
A)  Gauge pressure from exceeding 18 inches of water and vacuum from exceeding 6 inches of water, as measured as close as possible to the vapor hose connection; and
 
B)  A reading equal to or greater than 100 percent of the lower explosive limit (LEL measured as propane) when tested in accordance with the procedure described in EPA 450/2-78-051 Appendix B; and
 
C)  Avoidable leaks of liquid during loading or unloading operations.
 
5)  Provide a pressure tap or equivalent on the bulk plant vapor collection system in order to allow the determination of compliance with 215.581(d)(4)(A); and
 
6)  Within 15 business days after discovery of the leak by the owner, operator, or the Agency, repair and retest a vapor collection system which exceeds the limits of subsection (d)(4)(A) or (B).
 
e)  The requirements of subsection (a), (c) and (d) shall not apply to:
 
1)  Any stationary storage tank with a capacity of less than 575 gallons; or
 
2)  Any bulk gasoline plant whose annual gasoline throughput is less than 350,000 gallons as averaged over the preceding three calendar years.
 
f)  The requirements of subsection (b) shall only apply to bulk gasoline plants:
 
1)  That have an annual gasoline throughput greater than or equal to 1,000,000 gallons, as averaged over the preceding three calendar years; and
 
2)  That either distribute gasoline to gasoline dispensing facilities subject to the requirements of Section 215.583(a)(2), 35 Ill. Adm. Code 218.583(b)(2) or 35 Ill. Adm. Code 219.583(a)(2) or that are located in the following counties: Boone, Peoria, Rock Island, Tazewell or Winnebago.
 
g)  Bulk gasoline plants were required to take certain actions to achieve compliance which are summarized in Appendix C.

 
(Source: Amended at 15 Ill. Reg. 12217, effective August 19, 1991)
 
 



Section 215.582  Bulk Gasoline Terminals
 

a)  No person shall cause or allow the transfer of gasoline into any delivery vessel from any bulk gasoline terminal unless:
 
1)  The bulk gasoline terminal is equipped with a vapor control system that limits emission of volatile organic material to 80 mg/1 (0.00067 lbs/gal) of gasoline loaded;
 
2)  The vapor control system is operating and all vapors displaced in the loading of gasoline to the delivery vessel are vented only to the vapor control system;
 
3)  There is no liquid drainage from the loading device when it is not in use;
 
4)  All loading and vapor return lines are equipped with fittings which are vapor tight; and
 
5)  The delivery vessel displays the appropriate sticker pursuant to the requirements of Section 215.584(b) or (d); or, if the terminal is driver-loaded, the terminal owner or operator shall be deemed to be in compliance with this section when terminal access authorization is limited to those owners and/or operators of delivery vessels who have provided a current certification as required by Section 215.584(c)(3).
 
b)  Bulk gasoline terminals were required to take certain actions to achieve compliance which are summarized in Appendix C.
 
c)  The operator of a bulk gasoline terminal shall:
 
1)  Operate the terminal vapor collection system and gasoline loading equipment in a manner that prevents:
 
A)  Gauge pressure from exceeding 18 inches of water and vacuum from exceeding 6 inches of water as measured as close as possible to the vapor hose connection; and
 
B)  A reading equal to or greater than 100 percent of the lower explosive limit (LEL measured as propane) when tested in accordance with the procedure described in EPA 450/2-78-051 Appendix B; and
 
C)  Avoidable leaks of liquid during loading or unloading operations.
 
2)  Provide a pressure tap or equivalent on the terminal vapor collection system in order to allow the determination of compliance with 215.582(d)(1)(A); and
 
3)  Within 15 business days after discovery of the leak by the owner, operator, or the Agency repair and retest a vapor collection system which exceeds the limits of subsection (d)(1)(A) or (B).

 
(Source: Amended at 14 Ill. Reg. 9173, effective May 23, 1990)
 
 



Section 215.583  Gasoline Dispensing Facilities - Storage Tank



Filling Operations

 

a)  Subject to subsection (b) below, no person shall cause or allow the transfer of gasoline from any delivery vessel into any stationary storage tank at a gasoline dispensing facility unless:
 
1)  The tank is equipped with a submerged loading pipe; and
 
2)  The vapors displaced from the storage tank during filling are processed by a vapor control system that includes one or more of the following:
 
A)  A vapor collection system that meets the requirements of subsection (d)(4) below; or
 
B)  A refrigeration-condensation system or any other system approved by the Agency that recovers at least 90 percent by weight of all vaporized organic material from the equipment being controlled; and
 
C)  The delivery vessel displays the appropriate sticker pursuant to the requirements of Section 215.584(b) or (d) of this Part.
 
b)  The requirements of subsection (a)(2) above shall not apply to transfers of gasoline to a stationary storage tank at a gasoline dispensing facility if:
 
1)  The tank is equipped with a floating roof or other system of equal or better emission control as approved by the Agency;
 
2)  The tank has a capacity of less than 2000 gallons and is in place and operating before January 1, 1979;
 
3)  The tank has a capacity of less than 575 gallons; or
 
4)  The tank is not located in any of the following counties: Boone, Cook, DuPage, Kane, Lake, Madison, McHenry, Peoria, Rock Island, St. Clair, Tazewell, Will or Winnebago.
 
c)  Subject to subsection (b) above, each owner of a gasoline dispensing facility shall:
 
1)  Install all control systems and make all process modifications required by subsection (a) above;
 
2)  Provide instructions to the operator of the gasoline dispensing facility describing necessary maintenance operations and procedures for prompt notification of the owner in the case of any malfunction of a vapor control system; and
 
3)  Repair, replace or modify any worn out or malfunctioning component or element of design.
 
d)  Subject to subsection (b) above, each operator of a gasoline dispensing facility and each delivery vessel operator shall:
 
1)  Maintain and operate each vapor control system in accordance with the owner's instructions;
 
2)  Promptly notify the owner of any scheduled maintenance or malfunction requiring replacement or repair of a major component of a vapor control system;
 
3)  Maintain gauges, meters or other specified testing devices in proper working order;
 
4)  Operate the vapor collection system and delivery vessel unloading points in a manner that prevents:
 
A)  A reading equal to or greater than 100 percent of the lower explosive limit (LEL measured as propane) when tested in accordance with the procedure described in EPA 450/2-78-051 Appendix B, and
 
B)  Avoidable leaks of liquid during the filling of storage tanks; and
 
5)  Within 15 business days after discovery of the leak by the owner, operator, or the Agency, repair and retest a vapor collection system which exceeds the limits of subsection (d)(4)(A) above.
 
e)  Gasoline dispensing facilities were required to take certain actions to achieve compliance which are summarized in Appendix C of this Part.

 
(Source: Amended at 16 Ill. Reg. 13849, effective August 24, 1992)
 
 



Section 215.584  Gasoline Delivery Vessels
 

a)  Any delivery vessel equipped for vapor control by use of vapor collection equipment:
 
1)  Shall have a vapor space connection that is equipped with fittings which are vapor tight;
 
2)  Shall have its hatches closed at all times during loading or unloading operations, unless a top loading vapor recovery system is used;
 
3)  Shall not internally exceed a gauge pressure of 18 inches of water or a vacuum of 6 inches of water;
 
4)  Shall be designed and maintained to be vapor tight at all times during normal operations;
 
5)  Shall not be refilled in Illinois at other than:
 
A)  A bulk gasoline terminal that complies with the requirements of Section 215.582 or
 
B)  A bulk gasoline plant that complies with the requirements of Section 215.581(b)(1) and (2).
 
6)  Shall be tested annually in accordance with Method 27, 40 CFR Part 60, Appendix A, incorporated by reference in Section 215.105. Each vessel must be repaired and retested with 15 business days after discovery of the leak by the owner, operator, or the Agency, when it fails to sustain:
 
A)  A pressure drop of no more than three inches of water in five minutes; and
 
B)  A vacuum drop of no more than three inches of water in five minutes.
 
b)  Any delivery vessel meeting the requirements of Subsection (a) shall have a sticker affixed to the tank adjacent to the tank manufacturer's data plate which contains the tester's name, the tank identification number and the date of the test. The sticker shall be in a form prescribed by the Agency, and shall be displayed no later than December 31, 1987.
 
c)  The owner or operator of a delivery vessel shall:
 
1)  Maintain copies of any test required under Subsection (a)(6) for a period of 3 years;
 
2)  Provide copies of these tests to the Agency upon request; and
 
3)  Provide annual test result certification to bulk gasoline plants and terminals where the delivery vessel is loaded.
 
d)  Any delivery vessel which has undergone and passed a test in another state which has a USEPA-approved leak testing and certification program will satisfy the requirements of Subsection (a). Delivery vessels must display a sticker, decal or stencil approved by the state where tested or comply with the requirements of Subsection (b). All such stickers, decals or stencils shall be displayed no later than December 31, 1987.
 

(Source: Amended at 14 Ill. Reg. 9173, effective May 23, 1990)
 
 
Section 215.585 Gasoline Volatility Standards (Repealed)
 

(Source: Repealed at 37 Ill. Reg. 1683, effective January 28, 2013)

 
 
 



Section 215.586  Emissions Testing
 

a)  Any tests of organic material emissions from bulk gasoline terminals, including tests conducted to determine control equipment efficiency or control device destruction efficiency, shall be conducted in accordance with the Test Methods and Procedures for the Standards of Performance for Bulk Gasoline Terminals, 40 CFR 60.503 Incorporated by reference in Section 215.105. Any alternate test method must be approved by the Agency, which shall consider data comparing the performance of the proposed alternative to the performance of the approved test method(s). If the Agency determines that such data demonstrates that the proposed alternative will achieve results equivalent to the approved test method(s), the Agency shall approve the proposed alternative.
 
b)  Upon a reasonable request by the Agency, the owner or operator of a volatile organic material emission source subject to this Subpart shall conduct emissions testing, at such person's own expense, to demonstrate compliance.
 
c)  A person planning to conduct an organic material emissions test to demonstrate compliance with this Subpart shall notify the Agency of that intent not less than 30 days before the planned initiation of the tests so the Agency may observe the test.
 

(Source: Added at 14 Ill. Reg. 9173, effective May 23, 1990)
 
 



SUBPART Z: DRY CLEANERS

 



Section 215.601  Perchloroethylene Dry Cleaners (Repealed)

 
(Source: Repealed at 22 Ill. Reg. 111427, effective June 19, 1998)
 
 



Section 215.602  Exemptions (Repealed)

 
(Source: Repealed at 22 Ill. Reg. 111427, effective June 19, 1998)
 
 



Section 215.603  Leaks (Repealed)

 
(Source: Repealed at 22 Ill. Reg. 111427, effective June 19, 1998)
 
 



Section 215.604  Compliance Dates and Geographical areas (Repealed)

 
(Source: Repealed at 22 Ill. Reg. 111427, effective June 19, 1998)
 
 



Section 215.605  Compliance Plan (Repealed)

 
(Source: Repealed at 22 Ill. Reg. 111427, effective June 19, 1998)
 
 
 



Section 215.606  Exception to Compliance Plan (Repealed)

 
(Source: Repealed at 22 Ill. Reg. 111427, effective June 19, 1998)
 
 
 



Section 215.607  Standards for Petroleum Solvent Dry Cleaners
 

a)  The owner or operator of a petroleum solvent dry cleaning dryer shall either:
 
1)  Limit emissions of volatile organic material to the atmosphere to an average of 3.5 kilograms of volatile organic material per 100 kilograms dry weight of articles dry cleaned, or
 
2)  Install and operate a solvent recovery dryer in a manner such that the dryer remains closed and the recovery phase continues until a final solvent flow rate of 50 milliliters per minute is attained.
 
b)  The owner or operator of a petroleum solvent filtration system shall either:
 
1)  Reduce the volatile organic material content in all filtration wastes to 1.0 kilogram or less per 100 kilograms dry weight of articles dry cleaned, before disposal, and exposure to the atmosphere, or
 
2)  Install and operate a cartridge filtration system, and drain the filter cartridges in their sealed housings for 8 hours or more before their removal.
 

(Source: Added at 11 Ill. Reg. 7296, effective April 3, 1987)
 
 



Section 215.608  Operating Practices for Petroleum Solvent Dry Cleaners
 
In order to minimize fugitive solvent emissions, the owner or operator of a petroleum solvent dry cleaning facility shall employ good housekeeping practices including the following:

 
a)  General Housekeeping Requirements
 
1)  Equipment containing solvent (washers, dryers, extractors and filters) shall remain closed at all times except during load transfer and maintenance. Lint filter and button trap covers shall remain closed except when solvent-laden material is being removed.
 
2)  Cans, buckets, barrels and other containers of solvent or of solvent-laden material shall be covered except when in use.
 
3)  Solvent-laden material shall be exposed to the atmosphere only for the minimum time necessary for load transfer.
 
b)  Installation and operation of equipment
 
1)  All cartridge filters shall be installed and operated in accordance with the procedures and specifications recommended by the manufacturer for the cartridge filter. After installation, the cartridges shall be inspected, monitored and maintained in accordance with the manufacturer's recommendations; and
 
2)  Vents on containers for new solvent and for solvent-containing waste shall be constructed and maintained so as to minimize solvent vapor emissions. Criteria for the minimization of solvent vapor emissions include the elimination of solvent buckets and barrels standing open to the atmosphere, and the repair of gaskets and seals that expose solvent-rich environments to the atmosphere, to be determined through visual inspection.
 

(Source: Added at 11 Ill. Reg. 7296, effective April 3, 1987)
 
 
 



Section 215.609  Program for Inspection and Repair of Leaks
 

a)  The owner or operator of a petroleum solvent dry cleaning facility shall conduct the following visual inspections on a weekly basis:
 
1)  Washers, dryers, solvent filters, settling tanks, vacuum stills and containers and conveyors of petroleum solvent shall be inspected for visible leaks of solvent liquid.
 
2)  Pipes, hoses and fittings shall be inspected for active dripping or dampness.
 
3)  Pumps and filters shall be inspected for leaks around seals and access covers.
 
4)  Gaskets and seals shall be inspected for wear and defects.
 
b)  Leaks of petroleum solvent liquid and vapors shall be repaired within three working days of detection, unless necessary replacement parts are not on site.
 
1)  If necessary, repair parts shall be ordered within three working days of detection of the leak.
 
2)  The leak shall be repaired within three days of delivery of necessary parts.

 
(Source: Added at 11 Ill. Reg. 7296, effective April 3, 1987)
 
 



Section 215.610  Testing and Monitoring
 

a)  Compliance with Sections 215.607(b)(2), 215.608 and 215.609 shall be determined by visual inspection; and
 
b)  Compliance with Sections 215.607(a)(2) and (b)(1) shall be determined by methods described in EPA-450/3-82-009 (1982) and does not include any later amendments or editions.
 
c)  If a control device is used to comply with Section 215.607(a)(1), then compliance shall be determined using 40 CFR 60 Appendix A, Method 25 (1984) and does not include any later amendments or editions.

 
(Source: Added at 11 Ill. Reg. 7296, effective April 3, 1987)
 
 



Section 215.611  Exemption for Petroleum Solvent Dry Cleaners
 
The provisions of Sections 215.607 through 215.610 shall not apply to petroleum solvent dry cleaning facilities whose emissions of volatile organic material do not exceed 91 megagrams (100 tons) per year in the absence of pollution control equipment or whose emissions of volatile organic material, as limited by the operating permit, will not exceed 91 megagrams (100 tons) per year in the absence of pollution control equipment.
 
(Source: Added at 11 Ill. Reg. 7296, effective April 3, 1987)
 
 



Section 215.612  Compliance Dates and Geographical Areas
 
Owners and operators of emission sources located in the counties listed below shall comply with the requirements of Sections 215.607 through 215.609 as expeditiously as practicable but no later than December 31, 1987:

Cook
Madison
DuPage McHenry
Kane Monroe
Lake St. Clair
Macoupin Will

 

 
(Source: Added at 11 Ill. Reg. 7296, effective April 3, 1987)
 
 



Section 215.613  Compliance Plan
 

a)  The owner or operator of an emission source subject to Section 215.610(a) shall submit to the Agency a compliance plan, including a project completion schedule where applicable, no later than May 31, 1987.
 
b)  The plan and schedule shall meet the requirements of 35 Ill. Adm. Code 201.
 

(Source: Added at 11 Ill. Reg. 7296, effective April 3, 1987)
 




Section 215.614  Testing Method for Volatile Organic Material



Content of Wastes

 
The volatile organic material content of wastes shall be determined by Method 24, 40 CFR 60, Appendix A incorporated by reference in Section 215.105. Any alternate test method must be approved by the Agency, which shall consider data comparing the performance of the proposed alternative to the performance of the approved test method(s). If the Agency determines that such data demonstrates that the proposed alternative will achieve results equivalent to the approved test method(s), the Agency shall approve the proposed alternative.
 
(Source: Added at 14 Ill. Reg. 9173, effective May 23, 1990)
 
 



Section 215.615  Emissions Testing
 

a)  Any tests of volatile organic material emissions, including tests conducted to determine control equipment efficiency or control device destruction efficiency, shall be conducted in accordance with the methods and procedures specified in Section 215.102.
 
b)  Upon a reasonable request by the Agency, the owner or operator of a volatile organic material emissions source subject to this Subpart shall conduct emissions testing, at such person's own expense, to demonstrate compliance.
 
c)  A person planning to conduct a volatile organic material emissions test to demonstrate compliance with this Subpart shall notify the Agency of that intent not less than 30 days before the planned initiation of the tests so the Agency may observe the test.

 
(Source: Added at 14 Ill. Reg. 9173, effective May 23, 1990)
 
 



SUBPART AA: PAINT AND INK MANUFACTURING

 



Section 215.620  Applicability
 

a)  This Subpart shall apply to the following counties: Cook, DuPage, Kane, Lake, Macoupin, Madison, McHenry, Monroe, St. Clair and Will.
 
b)  This Subpart shall apply to all paint and ink manufacturing plants which:
 
1)  include process emission sources not subject to Subparts B, E, F, N, P, Q, R, S, U, V, X, Y or Z of this Part, and which process emission sources as a group would emit 100 tons or more per year of volatile organic material if no air pollution control equipment were used, or
 
2)  produce more than 2,000,000 gallons per year of paints or ink formulations, which contain less than 10 percent, by weight, water, and ink formulations not containing as the primary solvents water, Magie oil, or glycol.
 
c)  For the purposes of this Subpart, uncontrolled volatile organic material emissions are the emissions of volatile organic material which would result if no air pollution control equipment were used.

 
(Source: Added at 12 Ill. Reg. 7311, effective April 8, 1988)
 
 



Section 215.621  Exemption for Waterbase Material and Heatset Offset Ink
 
The requirements of Sections 215.624, 215.625 and 215.628(a) shall not apply to equipment while it is being used to produce paint or ink formulations which contain 10 percent or more, by weight, water, or inks containing Magie oil and glycol as the primary solvent.
 
(Source: Added at 12 Ill. Reg. 7311, effective April 8, 1988)
 
 



Section 215.623  Permit Conditions
 
No person shall violate any condition in a permit when the condition results in exclusion of the plant or an emission source from this Subpart.
 
(Source: Added at 12 Ill. Reg. 7311, effective April 8, 1988)
 
 



Section 215.624  Open-top Mills, Tanks, Vats or Vessels
 
No person shall operate an open-top mill, tank, vat or vessel, with a volume of more than 12 gallons for the production of paint or ink unless:

 
a)  The mill, tank, vat or vessel is equipped with a cover which completely covers the mill, tank, vat or vessel opening, except for an opening no larger than necessary to allow for safe clearance for a mixer shaft. Such cover shall extend at least 1/2 inch beyond the outer rim of the opening or be attached to the rim.
 
b)  The cover remains closed, except when production, sampling, maintenance, or inspection procedures require access.
 
c)  The cover is maintained in good condition, such that when in place, it maintains contact with the rim of the opening for at least 90% of the circumference of the rim.

 
(Source: Added at 12 Ill. Reg. 7311, effective April 8, 1988)
 
 



Section 215.625  Grinding Mills
 

a)  No person shall operate a grinding mill for the production of paint or ink which is not maintained in accordance with the manufacturer's specifications.
 
b)  No person shall operate a grinding mill fabricated or modified after the effective date of this Subpart which is not equipped with fully enclosed screens.
 
c)  The manufacturer's specifications shall be kept on file at the plant by the owner or operator of the grinding mill and be made available to any person upon verbal or written request during business hours.

 
(Source: Added at 12 Ill. Reg. 7311, effective April 8, 1988)
 
 



Section 215.628  Leaks
 
The owner or operator of a paint or ink manufacturing plant shall, for the purpose of detecting leaks, conduct an equipment monitoring program consistent with the following:

 
a)  Each pump shall be checked by visual inspection each calendar week for indications of leaks, that is, liquids dripping from the pump seal. If there are indications of liquids dripping from the pump seal, the pump shall be repaired as soon as practicable, but no later than 15 calendar days after the leak is detected.
 
b)  Any pump, valve, pressure relief valve, sampling connection, open-ended valve, and flange or connector containing a fluid which is at least 10 percent by weight volatile organic material which appears to be leaking on the basis of sight, smell, or sound shall be repaired as soon as practicable, but no later than 15 calendar days after the leak is detected.
 
c)  A weather proof, readily visible tag, in bright colors such as red or yellow, bearing an identification number and the date on which the leak was detected shall be attached to leaking equipment. The tag may be removed upon repair, that is, when the equipment is adjusted or otherwise altered to allow operation without leaking.
 
d)  When a leak is detected, the owner or operator shall record the date of detection and repair and the record shall be retained at the plant for at least 2 years from the date of each detection or each repair attempt. The record shall be made available to any person upon verbal or written request during busines hours.

 
(Source: Added at 12 Ill. Reg. 7311, effective April 8, 1988)
 
 



Section 215.630  Clean Up
 

a)  No person shall clean paint or ink manufacturing equipment with organic solvent unless the equipment being cleaned is completely covered or enclosed except for an opening no larger than necessary to allow safe clearance for proper operation of the cleaning equipment, considering the method and materials being used.
 
b)  No person shall store organic wash solvent in other than closed containers, unless closed containers are demonstrated to be a safety hazard, or dispose of organic wash solvent in a manner such that more than 20 percent by weight is allowed to evaporate into the atmosphere.

 
(Source: Added at 12 Ill. Reg. 7311, effective April 8, 1988)
 
 



Section 215.636  Compliance Date
 
Owners and operators of emission sources subject to this Subpart shall comply with its requirements by April 1, 1989.
 
(Source: Added at 12 Ill. Reg. 7311, effective April 8, 1988)
 
 



SUBPART BB: POLYSTYRENE PLANTS

 



Section 215.875  Applicability of Subpart BB
 
The provisions of this Subpart shall apply to polystyrene plants:

 
a)  Which are located in any of the following counties: Will, McHenry, Cook, DuPage, Lake, Kane, Madison, St. Claire, Monroe and Macoupin;
 
b)  Which use continuous processes to manufacture polystyrene - polybutadiene co-polymer; and
 
c)  Which fall within Standard Industrial Classification Group No. 282, Industry No. 2821, except that the manufacture of polystyrene resins need not be the primary manufacturing process at the plant.

 
(Source: Added at 11 Ill. Reg. 16706, effective September 30, 1987)
 
 



Section 215.877  Emissions Limitation at Polystyrene Plants
 
No person shall cause or allow the emissions of volatile organic material from the material recovery section to exceed 0.12 kg of Volatile Organic Material per 1000 kg of polystyrene resin produced.
 
(Source: Added at 11 Ill. Reg. 16706, effective September 30, 1987)
 
 



Section 215.879  Compliance Date
 
Every owner and operator of an emission source subject to this Subpart shall comply with its standards and limitations by December 31, 1987.
 
(Source: Added at 11 Ill. Reg. 16706, effective September 30, 1987)
 
 



Section 215.881  Compliance Plan
 

a)  The owner or operator of an emission source subject to the requirements of this Subpart shall submit to the Agency a compliance plan in accordance with 35 Ill. Adm. Code 201. Subpart H, including a project completion schedule on or before December 1, 1987.
 
b)  Unless the submitted compliance plan or schedule is disapproved by the Agency, the owner or operator of a facility or emission source subject to this Subpart may operate the emission source according to the plan and schedule as submitted.
 
c)  The plan and schedule shall meet the requirements of 35 Ill. Adm. Code 201. Subpart H and Section 215.883.

 
(Source: Added at 11 Ill. Reg. 16706, effective September 30, 1987)
 
 



Section 215.883  Special Requirements for Compliance Plan
 
For sources subject to this Subpart, an approvable compliance plan shall include:

 
a)  A description of each process which is subject to an emissions limitation;
 
b)  Quantification of the emissions from each process;
 
c)  A description of the procedures and methods used to determine the emissions of volatile organic material;
 
d)  A description of the methods which will be used to demonstrate compliance with the allowable plantwide emission limitation (Section 215.877), including a method of inventory, recordkeeping and emission calculation or measurement.
 

(Source: Added at 11 Ill. Reg. 16706, effective September 30, 1987)
 
 



Section 215.886  Emission Testing
 

a)  Any tests of volatile organic material emissions, including tests conducted to determine control equipment efficiency or control device destruction efficiency, shall be conducted in accordance with the methods and procedures specified in Section 215.102.
 
b)  Upon a reasonable request by the Agency, the owner or operator of a polystyrene plant subject to this Subpart shall conduct emissions testing, at his own expense, to demonstrate compliance.
 
c)  A person planning to conduct a volatile organic material emissions test to demonstrate compliance with this Subpart shall notify the Agency of that intent not less than 30 days before the planned initiation of the tests so the Agency may observe the test.

 
(Source: Amended at 14 Ill. Reg. 9173, effective May 23, 1990)
 
 



SUBPART PP: MISCELLANEOUS FABRICATED PRODUCT MANUFACTURING PROCESSES

 
Section 215.920 Applicability
 

a)  The requirements of this Subpart apply to the following counties: Cook, DuPage, Kane, Lake, Macoupin, Madison, McHenry, Monroe, St. Clair and Will.
 
b)  The requirements of this Subpart apply to a plant's miscellaneous fabricated product manufacturing process emission sources that are not regulated by Subparts B, E, F, N, P, Q, R, S, U, V, X, Y, or Z if the plant is subject to this Subpart. A plant is subject to this Subpart if it contains process emission sources, not regulated by Subparts B, E, F, N, P, Q, R, S, U, V, X, Y, or Z, which as a group would emit 100 tons or more per year of volatile organic material if no air pollution control equipment were used.
 
c)  If a plant ceases to fulfill the criteria of subsection (b), the requirements of this Subpart continue to apply to a miscellaneous fabricated products manufacturing process emission source which was subject to and met the control requirements of Section 215.926.
 
d)  No limits under this Subpart apply to:
 
1)  Emission sources with emissions of volatile organic material to the atmosphere less than or equal to 1.0 tons per year if the total emissions from those sources not complying with Section 215.926 do not exceed 5.0 tons per year; and
 
2)  Emission sources whose emissions of volatile organic material are subject to limits in 35 Ill. Adm. Code 230 or 35 Ill. Adm. Code 231; or the Lowest Achievable Emission Rate, under 35 Ill. Adm. Code 203; or Best Available Control Technology, under a permit issued under Section 9.1(d) of the Act or under Section 9.4 of the Act.
 
e)  For the purposes of this Subpart, an emission source shall be considered regulated by a Subpart if it is subject to the limits of that Subpart or it would be subject to the limits of that Subpart if the emission sources, emitting VOM, had sufficient size, throughput or emissions, or if the emission source did not meet a specific exemption contained in that Subpart.
 
f)  For the purposes of this Subpart, uncontrolled volatile organic material emissions are the emissions of volatile organic material that would result if no air pollution control equipment were used.
 

  (Source: Amended at 44 Ill. Reg.15032, effective September 4, 2020)
 
 
 



Section 215.923  Permit Conditions
 
No person shall violate any condition in a permit when the condition results in exclusion of the plant or an emission source from this Subpart.
 
(Source: Added at 12 Ill. Reg. 7311, effective April 8, 1988)
 
 



Section 215.926  Control Requirements
 

a)  Every owner or operator of an emission source of volatile organic material shall operate in compliance with RACT, which for emission sources subject to this Subpart shall be:
 
1)  Emission capture and control techniques which achieve an overall reduction in uncontrolled volatile organic material emissions of at least 81%; or
 
2)  For coating lines, volatile organic material emissions not to exceed 0.42 kg/1 (3.5 lb/gal) of coating materials as applied, excluding water and any compounds which are specifically exempted from the definition of volatile organic material, on a daily basis. Owners and operators complying with this subsection are not required to comply with Section 215.301; or
 
3)  An adjusted RACT emissions limitation obtained pursuant to Subpart I.
 
b)  Owners and operators of emission sources subject to this Subpart shall comply with its requirements by April 1, 1989.

 
(Source: Added at 12 Ill. Reg. 7311, effective April 8, 1988)
 
 
 



SUBPART QQ: MISCELLANEOUS FORMULATION MANUFACTURING PROCESSES

 
Section 215.940 Applicability
 

a)  The requirements of this Subpart apply to the following counties: Cook, DuPage, Kane, Lake, Macoupin, Madison, McHenry, Monroe, St. Clair and Will.
 
b)  The requirements of this Subpart apply to a plant's miscellaneous formulation manufacturing process emission sources, which are not regulated by Subpart B, E, F, N, P, Q, R, S, U, V, X, Y, or Z, if the plant is subject to this Subpart. A plant is subject to this Subpart if it contains process emission sources, not regulated by Subpart B, E, F, N, P, Q, R, S, U, V, X, Y, or Z, which as a group would emit 100 tons or more per year of volatile organic material if no air pollution control equipment were used.
 
c)  If a plant ceases to fulfill the criteria of subsection (b), the requirements of this Subpart continue to apply to a miscellaneous formulation manufacturing process emission source that was subject to and met the control requirements of Section 215.946.
 
d)  No limits under this Subpart apply to:
 
1)  Emission sources with emissions of volatile organic material to the atmosphere less than or equal to 2.5 tons per year if the total emissions from those sources not complying with Section 215.946 do not exceed 5.0 tons per year; and
 
2)  Emission sources whose emissions of volatile organic material are subject to limits in 35 Ill. Adm. Code 230 or 35 Ill. Adm. Code 231; or the Lowest Achievable Emission Rate, under 35 Ill. Adm. 203; or Best Available Control Technology, under a permit issued under Section 9.1(d) of the Act or under Section 9.4 of the Act.
 
e)  For the purposes of this Subpart, an emission source shall be considered regulated by a Subpart if it is subject to the limits of that Subpart or it would be subject to the limits of that Subpart if the emission sources, emitting VOM, had sufficient size, throughput or emissions, or if the emission source did not meet a specific exemption contained in that Subpart.
 
f)  For the purposes of this Subpart, uncontrolled volatile organic material emissions are the emissions of volatile organic material that would result if no air pollution control equipment were used.
 

 (Source: Amended at 44 Ill. Reg.15032, effective September 4, 2020)
 
 
 



Section 215.943  Permit Conditions
 
No person shall violate any condition in a permit when the condition results in exclusion of the plant or an emission source from this Subpart.
 
(Source: Added at 12 Ill. Reg. 7311, effective April 8, 1988)
 
 



Section 215.946  Control Requirements
 
a)  Every owner or operator of an emission source of volatile organic material shall operate in compliance with RACT, which for emission sources subject to this Subpart shall be:
 
1)  Emission capture and control techniques which achieve an overall reduction in uncontrolled volatile organic material emissions of at least 81%; or
 
2)  An adjusted RACT emissions limitation obtained pursuant to Subpart I.
 
b)  Owner and operators of emission sources subject to this Subpart shall comply with its requirements by April 1, 1989
 

(Source: Added at 12 Ill. Reg. 7311, effective April 8, 1988)
 
 



SUBPART RR: MISCELLANEOUS ORGANIC CHEMICAL MANUFACTURING PROCESSES

 
Section 215.960 Applicability

 
a)  The requirements of this Subpart apply to the following counties: Cook, DuPage, Kane, Lake, Macoupin, Madison, McHenry, Monroe, St. Clair and Will.
 
b)  The requirements of this Subpart apply to a plant's miscellaneous organic chemical manufacturing process emission sources which are not regulated by Subpart B, E, F, N, P, Q, R, S, U, V, X, Y, or Z if the plant is subject to this Subpart. A plant is subject to this Subpart if it contains process emission sources, not regulated by Subpart B, E, F, N, P, Q, R, S, U, V, X, Y, or Z, which as a group would emit 100 tons or more per year of volatile organic material if no air pollution control equipment were used.
 
c)  If a plant ceases to fulfill the criteria of subsection (b), the requirements of this Subpart shall continue to apply to a miscellaneous organic chemical manufacturing process emission source which was subject to and met the control requirements of Section 215.966.
 
d)  No limits under this Subpart apply to:
 
1)  Emission sources with emissions of volatile organic material to the atmosphere less than or equal to 1.0 ton per year if the total emissions from those sources not complying with Section 215.966 do not exceed 5.0 tons per year; and
 
2)  Emission sources whose emissions of volatile organic material are subject to limits in 35 Ill. Adm. Code 230 or 35 Ill. Adm. Code 231; or the Lowest Achievable Emission Rate, under 35 Ill. Adm. Code 203; or Best Available Control Technology, under a permit issued under Section 9.1(d) of the Act or under Section 9.4 of the Act
 
e)  For the purposes of this Subpart, an emission source shall be considered regulated by a Subpart if it is subject to the limits of that Subpart or it would be subject to the limits of that Subpart if the emission sources, emitting VOM, had sufficient size, throughput or emissions, or if the emission source did not meet a specific exemption contained in that Subpart.
 
f)  For the purposes of this Subpart, uncontrolled volatile organic material emissions are the emissions of volatile organic material that would result if no air pollution control equipment were used.
 

 (Source: Amended at 44 Ill. Reg.15032, effective September 4, 2020)
 
 



Section 215.963  Permit Conditions
 
No person shall violate any condition in a permit when the condition results in exclusion of the plant or an emission source from this Subpart.
 
(Source: Added at 12 Ill. Reg. 7311, effective April 8, 1988)
 
 



Section 215.966  Control Requirements
 

a)  Every owner or operator of an emission source of volatile organic material shall operate in compliance with RACT, which for emission sources subject to this Subpart shall be:
 
1)  Emission capture and control techniques which achieve an overall reduction in uncontrolled volatile organic material emissions of at least 81%; or
 
2)  An adjusted RACT emissions limitation obtained pursuant to Subpart I.
 
b)  Owners and operators of emission sources subject to this Subpart shall comply with its requirements by April 1, 1989.

 
(Source: Added at 12 Ill. Reg. 7311, effective April 8, 1988)
 
 



Apppendix A
Rule Into Section Table

 

RULE SECTION
   
205(a) 215.121
205(b) 215.122
205(c) 215.141
205(d) 215.142
205(e) 215.561
205(f) (Preamble) 215.301
205(f)(1) 215.302
205(f)(2)(A) 215.541
205(f)(2)(B) 215.303
205(f)(2)(C) 215.562
205(f)(20(D) 215.304
205(g)(1) 215.441
205(g)(2) 215.143
205(g)(3) 215.144
205(h) 215.101
205(i) 215.102
205(j)(1) Appendix C
  215.125, 215.185
  215.211
  215.405
  215.465
  215.604
205(j)(2) & (3) 215.125
  215.211
  215.405
  215.453
  215.465
  215.604
205(k)(1) 215.181
205(k)(2))A) 215.182
205(k)(2)(B) 215.183
205(k)(2)(C) 215.184
205(k)(3)(A) 215.182
205(k)(3)(B) 215.183
205(k)(3)(C) 215.184
205(l)(1) 215.442
205(l)(2) 215.443
205(l)(3) 215.444
205(l)(4) 215.445
205(l)(5) 215.445
205(l)(6) 215.446
205(l)(7) 215.447
205(l)(8) 215.448
205(l)(9) 215.450
205(l)(10) 215.451
205(m) (Preamble) 215.202
  Appendix C
205(m)(1) 215.202
  Appendix C
205(m)(2) 215.123(c)
  215.581
  215.582
  Appendix C
205(m)(3) 215.583
205(m)(4) 215.452
205(m)(5) 215.210
205(m)(6) 215.406
205(n)(1) 215.204
205(n)(2)215.205  
205(n)(3) 215.206
205(n)(4) 215.207
205(n)(5) 215.208
205(n)(6) 215.209
205(o)(1) 215.581
205(o)(2) 215.582
205(o)(3)(A) 215.123(a)
205(o)(3)(B) 215.123(b)
205(o)(3)(C) 215.124(a)
205(o)(3)(D) 215.123(b)
205(p) 215.583
205(q) 215.563
205(r) 215.106
205(s)(1) 215.401
205(s)(2) 215.402
205(s)(3) 215.403
205(s)(4) 215.404
205(t)(1) 215.461
205(t)(2) 215.462
205(t)(3) 215.463
205(t)(4) 215.464
205(u)(1) 215.601
205(u)(2) 215.602
205(u)(3) 215.603
104(a)(1) 215.185
104(a)(2) 215.185, 215.563, 215.601
104(h) 215.126 215.212, 215.407,
  215.466 and 215.605

 

 



Appendix B
Section Into Rule Table

 

SECTION RULE
   
215.100 --
215.101 205(h)
215.102 205(i)
215.103 --
215.104 --
215.105 --
215.106 205(r)
215.121 205(a)
215.122 205(b)
215.123(a) 205(o)(3)(A)
215.123(b) 205(o)(3)(B)
215.123(c) 205(m)(2)
215.124(a) 205(o)(3)(C)
215.124(b) 205(o)(3)(D)
215.125 205(j)(1), (2) and (3)
215.126 104(h)
215.141 205(c)
215.142 205(d)
215.143 205(g)(2)
215.144 205(g)(3)
215.181 205(k)(1)
215.182 205(k)(2)(A)
  205(k)(3)(A)
  104(a)(1) and (2)
215.183 205(k)(2)(B)
  205(k)(3)(B)
  104(a)(1)
215.184 205(k)(2)(C)
  205(k)(3)(C)
  104(a)(1)
215.185 104(a)(1), 104(a)(2),
  205(j)(1)
215.201 205(f)(2)(D)
215.202 205(m)(Preamble)
  205(m)(1)
215.204 205(n)(1)
215.205 205(n)(2)
215.206 205(n)(3)
215.207 205(n)(4)
215.208 205(n)(5)
215.209 205(n)(6)
215.210 205(m)(5)
215.211 205(j)(1), (2) and (3)
215.212 104(h)
215.213 104(b)(1)
215.301 205(f)(Preamble)
215.302 205(f)(1)
215.303 205(f)(2)(B)
215.304 205(f)(2)(D)
215.401 205(s)(1)
215.402 205(s)(2)
215.403 205(s)(3)
215.404 205(s)(4)
215.405 205(j)(1), (2) and (3)
215.406 205(m)(6)
215.407 104(h)
215.441 205(g)(1)
215.442 205(1)(1)
215.443 205(1)(2)
215.444 205(1)(3)
215.445 205(1)(4)
215.446 205(1)(5)
215.447 205(1)(6)
215.448 205(1)(7)
215.449 205(1)(8)
215.450 205(1)(9)
215.451 205(1)(10)
215.452 205(m)(4)
215.453 205(j)(1), (2) and (3)
  104(a)(1), 104(g)(2)
215.461 205(t)(1)
215.462 205(t)(2)
215.463 205(t)(3)
215.464 205(t)(4)
215.465 205(j)(1), (2) and (3)
215.466 104(h)
215.541 205(f)(2)(A)
215.561 205(e)
215.562 205(f)(2)(C)
215.563 205(q)
  104(a)(2)
215.581 205(m)(Preamble)
  215(m)(2)
  205(o)(1)
215.582 205(m)(Preamble)
  205(m)(2)
  205(o)(2)
215.583 205(m)(Preamble)
  205(m)(3), 205(p)
215.601 205(u)(1), 104(a)(2)
215.602 205(u)(2)
215.603 205(u)(3)
215.604 205(j)(1), (2) and (3)
215.605 104(h)
215.606 104(a)(2)
Appendix A Added in Codification
Appendix B Added in Codification
Appendix C 104(a)
  104(g)
  104(h)
  205(j)
  205(m)

 

 



Appendix C



Past Compliance Dates

 
Prior to codification, compliance programs, project completion schedules, compliance dates and compliance schedules for all sources were regulated by Rules 104(a), 104(g), 109(h), 205(j) and 205(m). Past compliance date rules have been deleted from the text of the codified rules; future compliance date rules have been grouped with the rules governing the type of source. As an aid to the public, the old text of the compliance date rules are set out at length in this Appendix.
 

Rule 104(a)
Compliance Programs
and Project Completion Schedules -- Applicability
 

1)  No person shall cause or allow the operation of an emission source which is not in compliance with the requirements of Rule 205(k) unless such person is in compliance with a compliance program as provided for in Rule 104(g) or (h) or Rule 205(m).

 
2)  Notwithstanding Rule 104(a)(1), cold cleaning degreasers, coin-operated dry cleaning operations, dry cleaning facilities consuming less than 30 gallons per month (360 gallons per year) of perchloroethylene, and sources subject to Rule 205(g) are not required to submit or obtain an Agency approved compliance plan or project completion schedule.
 
3)  Any compliance plan or project completion schedule, where applicable, shall be a binding condition of the operating permit for the source.

 
Rule 104(g)
Compliance Programs and Project Completion Schedules --
Submission and Approval Dates

 
The owner or operator of an emission source subject to the following rules shall have a Compliance Plan and a Project Completion Schedule, where applicable, approved by the Agency by the following dates. A Compliance Plan and a Project Completion Schedule, where applicable, shall be submitted at least 90 days before the following dates.
 

1)  By February 1, 1980. Gasoline dispensing facilities subject to Rule 205(p) and degreasers subject to Rule 205(k) located in Cook, DuPage, Lake, Kane, McHenry and Will counties.
 
2)  By March 1, 1980. Petroleum refineries subject to Rule 205(1), except (1) (4)-(10). Gasoline dispensing facilities subject to Rule 205(p) in Boone, Madison, St. Clair, Peoria, Tazewell, Rock Island and Winnebago counties.
 
3)  By April 1, 1980. Degreasers subject to Rule 205(k) located in counties other than Cook, DuPage, Lake, Kane, McHenry or Will. Bulk gasoline plants, bulk gasoline terminals and petroleum liquid storage tanks subject to Rule 205(o), except (o)(3), located in Cook, DuPage, Lake, Kane, McHenry and Will counties.
 
4)  By April 1, 1980. Coating lines subject to Rule 205(n), except (n)(1)(J), and (K). Bulk gasoline plants, bulk gasoline terminals and petroleum liquid storage tanks subject to Rule 205(o), except (o)(3), which are located in counties other than Cook, Lake, DuPage, Kane, McHenry or Will.

Rule 104(h)
Compliance Programs and Project Completion Schedules --
RACT II Compliance Plan Submission and Approval

1)  The owner or operator on an emission source subject to Rule 205(j)(1) shall submit to the Agency a compliance plan, including a project completion schedule where applicable, no later than:

 

Rule Days After Promulgation

 

(A) Rules 205(o)(3), 205(s) and 205(t) 90
(B) Rules 205(u)(1)(A) and (B) 90
(C) Rule 205(n)(1)(J) and (K) 210

 

2)  The owner or operator of an emission source subject to Rule 205(j)(2) shall submit to the Agency a compliance plan, including a project completion schedule where applicable, no later than December 31, 1986.
 
3)  Unless the submitted compliance plan or schedule is disapproved by the Agency, the owner or operator of a facility or emission source subject to the rules specified in Rule 104(h)(1), (2), or (3) may operate the emission source according to the plan and schedule as submitted.
 
4)  The plan and schedule shall meet the requirements of Rule 104(b) including specific interim dates as required in Rule 104(b)(2).

Rule 205(j)
Compliance Dates
 

1)  Except as otherwise stated in subsection (2), every owner or operator of an emission source shall comply with the standards and limitations of Rule 205 in accordance with the dates shown in the following table:
 

  Rule Type of Source Compliance Date
       
  205(a) - (i) New Emission April 14, 1972
    Sources  
       
  205(a) - (i) Existing Emission December 31, 1973
    Sources  
       
  205(k) All Emission Sources July 1, 1980
       
  205(l) (1) - (3) All Emission July 1, 1980
    Sources  
       
  205(l) (4) - (10) All Emission See Rule (m)
    Sources  
       
  205(n) All Emission Sources December 31, 1982*
       
  205(n)(1)(J) and (K) All Emission December 31, 1983
    Sources  
       
  205(n)(1)(K)(ii) All Emission See Rule 205(m)(5)
    Sources  
       
  205(o)(1)
and (2) (o)(3)
All Emission
Sources
July 1, 1981
       
  205(p) All Emission Sources See rule 205(m)
       
  205(q) All Emission Sources December 31, 1980
       
  205(s) and (t) All Emission December 31, 1983
    Source  
       
  205(u)(1) (A) - (3) All Emission December 31, 1983
    Sources  
       
  205(u)(1) (D) - (G) All Emission May 1, 1983
    Sources  

 
*Except for automobile and light-duty truck manufacturing plants achieving
final compliance under a footnote to Rule 205(n)(1).

 
2)  If an emission source is not located in one of the counties listed below** and is also not located in any county contiguous thereto, the owner or operator of the emission source shall comply with the requirements of rule 205(1)(4)-(10), (n)(1)(J) or (K), (o)(3), (s), (t), or (u) no later than December 31, 1987:

  Cook Macoupin
  DuPage Madison
  Kane Monroe
  Lake Saint Clair

 

3)  Notwithstanding subsection (2) above, if any county is designated as non-attainment by the U.S. Environmental Protection Agency at any time subsequent to the effective date of this Rule, the owner or operator of an emission source located in that county or any county contiguous to that county who would otherwise be subject to the compliance date in subsection (2) shall comply with the requirements of Rule 205(1)(4)-(10), (n)(1)(J) or (K), (o)(3), (s), (t), or (u) within one year from the date of redesignation but in no case later than December 31, 1987.

 
** These counties are proposed to be designated as nonattainment by the U.S. Environmental Protection Agency in Federal Register, Volume 47, page 31588 (July 21, 1982).

Rule 205(m)
Compliance Schedules

 
The requirements of this section shall not apply to any source for which a Project Completion Schedule has been submitted to and approved by the Agency under Rule 104. The owner of any emission source subject to the requirements of this section shall certify to the Agency by January 15 of each year beginning January 15, 1980, whether increments of progress required to be met in the previous year have been met.
 

1)  Coating Lines

The owner or operator of coating lines subject to the requirements of Rule 205(n), except (n)(1)(J) and (K), shall take the following actions:

 
(A)  Submit to the Agency a Compliance Program that meets the requirements of Rule 104(b)(1) by January 1, 1980.
 
(B)  For sources that, under the approved Compliance Plan, will comply with Rule 205(n) by use of low solvent coating technology the following increments of progress ,shall be met:
 
i)  Submit to the Agency by July 1, 1980 and every six months thereafter a report describing in detail the progress in the previous six months in the development, application testing, product quality, customer acceptance and FDA or other government agency approval of the low solvent coating technology.
 
ii)  Initiate process modifications to allow use of low solvent coatings by April 1, 1982.
 
iii)  Complete process modifications to allow use of low solvent coatings by October 1, 1982.
 
C)  For sources that, under the approved Compliance Plan, will comply with Rule 205(n) by installing emission control equipment, the following increments of progress shall be met:
 
i)  Award contracts for the emission control equipment or issue orders for the purchase of component parts by July 1, 1980.
 
ii)  Initiate on-site construction or installation of the emission control equipment by July 1, 1982.
 
iii)  Complete on-site construction or installation of the emission control equipment by October 1, 1982.
 
2)  Bulk Gasoline Plants, Bulk Gasoline Terminals, Petroleum Liquid Storage Tanks
 
The owner of an emission source subject to the requirements of Rule 205(o), except (o)(3), shall take the following actions:
 
A)  Submit to the Agency a Compliance Program that meets the requirements of Rule 104(b)(1) by the date specified in Rule 104(g);
 
B)  Award contracts for emission control systems or issue orders for the purchase of component parts by July 1, 1980.
 
C)  Initiate on-site construction or installation of the emission control system by January 1, 1981.
 
D)  Complete on-site construction or installation of the emission control system and achieve final compliance by July 1, 1981.
 
3)  Gasoline Dispensing Facilities

Owners of gasoline dispensing facilities subject to the requirements of Rule 205(p) shall take the following actions:
 
A)  Submit to the Agency a Compliance Program that meets the requirements of Rule 104(b)(1) by the date specified in Rule 104(g);
 
B)  Achieve final compliance for 33 percent of all gasoline dispensing facilities owned by the owner by July 1, 1980.
 
C)  Achieve final compliance for 66 percent of all gasoline dispensing facilities owned by the owner by July 1, 1981.
 
D)  Achieve final compliance for 100 percent of all gasoline dispensing facilities owned by the owner by July 1, 1982.
 
4)  Petroleum Refinery Leaks

The owner or operator of a petroleum refinery shall adhere to the increments of progress contained in the following schedule:
 
A)  Submit to the Agency a monitoring program plan consistent with Rule 205(1)(5) prior to June 1, 1983.
 
B)  Submit the first monitoring report pursuant to Rule 205(1)(6)(A)(i) to the Agency prior to July 1, 1983.
 
5)  Coating Lines Subject to Rule 205(n)(1)(K)(ii)

The owner or operator of coating lines subject to Rule 205(n)(1)(k)(ii) may in lieu of compliance with Rule 205(j)(1) demonstrate compliance through the use of a low solvent coating technology by taking the following actions:
 
A)  Submit to the Agency a Compliance Poan, including project completion schedule, that meets the requirements of Rule 104(b)(1) within 210 days after the effective date of this rule; and
 
B)  Meet the following increments of progress:
 
i)  Submit to the Agency by July 1, 1984 and every six months thereafter a report describing in detail the progress made in the development, application testing, product quality, customer acceptance, and FDA or government agency approval of the low solvent coating technology;
 
ii)  Initiate process modifications to allow the use of low solvent coatings as soon as coatings meeting Board requirements become commercially available for production use; and
 
iii)  Achieve final compliance as expeditiously as possible by no later than December 31, 1984.
 
6)  Rotogravure and Flexography Low Solvent Ink Alternative Compliance Plan

The owner or operator of an emission source subject to Rule 205(s) may in lieu of compliance with Rules 104(h)(1)(A) and 205(j) demonstrate compliance through the use of a low solvent ink program by taking the following actions:
 
A)  Submit to the Agency a Compliance Plan, including a compliance schedule, by December 31, 1983 which demonstrates:
 
i)  substantial emission reductions early in the compliance schedule;
 
ii)  greater reductions in emissions than would have occurred without a low solvent ink program; and
 
iii)  final compliance as expeditiously as possible but no later than December 31, 1987; and
 
B)  Certify to the Agency that
 
i)  a low solvent ink compliance strategy is not technically available which would not enable the emission source to achieve compliance by the date specified in Rule 205(j); and
 
ii)  an unreasonable economic burden would be incurred if the owner or operator were required to demonstrate compliance by the date specified in Rule 205(j); and
 
C)  Agree to install one of the control alternatives specified in Rule 205(s)(1)(C) by June 31, 1986 if the specified low-solvent ink strategy fails to achieve scheduled reductions by December 31, 1985.

 
 



Appendix D List of Chemicals Defining Synthetic Organic Chemical and Polymer Manufacturing
 

  CAS No. Chemical
     
  105-57-7 Acetal
  75-07-0 Acetaldehyde
  107-89-1 Acetaldol
  60-35-5 Acetamide
  103-84-4 Acetanilide
  64-19-7 Acetic acid
  108-24-7 Acetic anhydride
  67-64-1 Acetone
  75-86-5 Acetone cyanohydrin
  75-05-8 Acetonitrile
  98-86-2 Acetophenone
  75-36-5 Acetyl chloride
  74-86-2 Acetylene
  107-02-8 Acrolein
  79-06-1 Acrylamide
  79-10-7 Acrylic acid
  107-13-1 Acrylonitrile
  124-04-9 Adipic acid
  111-69-3 Adiponitrile
  (b) Alkyl naphthalenes
  107-18-6 Allyl alcohol
  107-05-1 Allyl chloride
  1321-11-5 Aminobenzoic acid
  111-41-1 Aminoethylethanolamine
  123-30-8 p-aminophenol
  628-63-7, Amyl acetates
  123-92-2  
  71-41-0c Amyl alcohols
  110-58-7 Amyl amine
  543-59-9 Amyl chloride
  110-68-7c Amyl mercaptans
  1322-06-1 Amyl phenol
  62-53-3 Aniline
  142-04-1 Aniline hydrochloride
  29191-52-4 Anisidine
  100-66-3 Anisole
  118-92-3 Anthranilic acid
  84-65-1 Anthraquinone
  100-52-7 Benzaldehyde
  55-21-0 Benzamide
  71-43-2 Benzene
  98-48-6 Benzenedisulfonic acid
  98-11-3 Benzenesulfonic acid
  134-81-6 Benzil
  76-93-7 Benzilic acid
  65-85-0 Benzoic acid
  119-53-9 Benzoin
  100-47-0 Bennzonitrile
  119-61-9 Benzophenone
  98-07-7 Benzotrichloride
  98-88-4 Benzoyl chloride
  100-51-6 Benzyl alcohol
  100-46-9 Benzylamine
  120-51-4 Benzyl benzoate
  100-44-7 Benzyl chloride
  98-87-3 Benzyl dichloride
  92-52-4 Biphenyl
  80-05-7 Bisphenol A
  10-86-1 Bromobenzene
  27497-51-4 Bromonaphthalene
  106-99-0 Butadiene
  106-98-9 l-butene
  123-86-4 n-butyl acetate
  141-32-2 n-butyl acrylate
  71-36-3 n-butyl alcohol
  78-92-2 s-butyl alcohol
  75-65-0 t-butyl alcohol
  109-73-9 n-butylamine
  13952-84-6 s-butylamine
  75-64-9 t-butylamine
  98-73-7 p-tert-butyl benzoic acid
  107-88-0 1,3-butylene glycol
  123-72-8 n-butyraldehyde
  107-92-6 Butyric acid
  106-31-0 Butyric anhydride
  109-74-0 Butyronitrile
  105-60-2 Caprolactam
  75-1-50 Carbon disulfide
  558-13-4 Carbon tetrabromide
  55-23-5 Carbon tetrachloride
  9004-35-7 Cellulose acetate
  79-11-8 Chloroacetic acid
  108-42-9 m-chloroaniline
  95-51-2 o-chloroaniline
  106-47-8 p-chloroaniline
  35913-09-8 Chlorobenzaldehyde
  108-90-7 Chlorobenzene
  118-91-2, Chlorobenzoic acid
  535-80-8,  
  74-11-3c  
  2136-81-4 Chlorobenzotrichloride
  2136-89-2,  
  5216-25-1c  
  1321-03-5 Chlorobenzoyl chloride
  75-45-6 Chlorodifluoroethane
  25497-29-4 Chlorodifluoromethane
  67-66-3 Chloroform
  25586-43-0 Chloronaphthalene
  88-73-3 o-chloronitrobenzene
  100-00-5 p-chloronitrobenzene
  25167-80-0 Chlorophenols
  126-99-8 Chloroprene
  7790-94-5 Chlorosulfonic acid
  108-41-8 m-chlorotoluene
  95-49-8 o-chlorotoluene
  106-43-4 p-chlorotoluene
  75-72-9 Chlorotrifluoromethane
  108-39-4 m-cresol
  95-48-7 o-cresol
  106-44-5 p-cresol
  1319-77-3 Mixed cresols
  1319-77-3 Cresylic acid
  4170-30-0 Crotonaldehyde
  3724-65-0 Crontonic acid
  98-82-8 Cumene
  80-15-9 Cumene hydroperoxide
  372-09-8 Cyanoacetic acid
  506-77-4 Cyanogen chloride
  108-80-5 Cyanuric acid
  108-77-0 Cyanuric chloride
  110-82-7 Cyclohexane
  108-93-0 Cyclohexanol
  108-94-1 Cyclohexanone
  110-83-8 Cyclohexene
  108-91-8 Cyclohexylamine
  111-78-4 Cyclooctadiene
  112-30-1 Decanol
  123-42-2 Diacetone alcohol
  27576-04-1 Diaminobenzoic acid
  95-76-1, Dichloroaniline
  95-82-9,  
  554-00-7,  
  608-27-5,  
  608-31-1,  
  626-43-7,  
  27134-27-6,  
  57311-92-9c  
  541-73-1 m-dichlorobenzene
  95-50-1 o-dichlorobenzene
  106-46-7 p-dichlorobenzene
  75-71-8 Dichlorodifluoromethane
  114-44-4 Dichloroethyl ether
  107-06-2 1,2- dichloroethane (EDC)
  96-23-1 Dichlorohydrin
  26952-23-8 Dichloropropene
  101-83-7 Dicyclohexylamine
  109-89-7 Diethylamine
  111-46-6 Diethylene glycol
  112-36-7 Diethylene glycol diethyl ether
  111-96-6 Diethylene glycol dimethyl ether
  112-34-5 Diethylene glycol monobutyl ether
  124-17-7 Diethylene glycol mononbutyl ether acetate
  111-90-0 Diethylene glycol monoethyl ether
  112-15-2 Diethylene glycol monomethyl ether acetate
  111-77-3 Diethylene glycol monomethyl ether
  64-67-5 Diethyl sulfate
  75-37-6 Difluoroethane
  25167-70-8 Diisobutylene
  26761-40-0 Diisodecyl phthalate
  27554-26-3 Diisooctyl phthalate
  674-82-8 Diketene
  124-40-3 Dimethylamine
  121-69-7 N,N-dimethylaniline
  115-10-6 N,N-dimethyl ether
  68-12-2 N,N-dimethylformamide
  57-14-7 Dimethylhydrazine
  77-78-1 Dimethyl sulfate
  75-18-3 Dimethyl sulfide
  67-68-5 Dimethyl sulfoxide
  120-61-6 Dimethyl terephthalate
  99-34-3 3,5-dinitrobenzoic acid
  51-28-5 Dinitrophenol
  25321-14-6 Dinitrotoluene
  123-91-1 Dioxane
  646-06-0 Dioxilane
  122-39-4 Diphenylamine
  101-84-4 Diphenyl oxide
  102-08-9 Diphenyl thiourea
  25265-71-8 Dipropylene glycol
  25378-22-7 Dodecene
  28675-17-4 Dodecylaniline
  27193-86-8 Dodecylphenol
  106-89-8 Epichlorohydrin
  64-17-5 Ethanol
  141-43-5c Ethanolamines
  141-78-6 Ethyl acetate
  141-97-9 Ethyl acetoacetate
  140-88-5 Ethyl acrylate
  75-04-7 Ethylamine
  100-41-4 Ethylbenzene
  74-96-4 Ethyl bromide
  9004-57-3 Ethylcellulose
  75-00-3 Ethyl chloride
  105-39-5 Ethyl chloroacetate
  105-56-6 Ethylcyanoacetate
  74-85-1 Ethylene
  96-49-1 Ethylene carbonate
  107-07-3 Ethylenechlorohydrin
  107-15-3 Ethylenediamine
  106-93-4 Ethylene dibromide
  107-21-1 Ethylene glycol
  111-55-7 Ethylene glycol diacetate
  110-71-4 Ethylene glycol dimethyl ether
  111-76-2 Ethylene glycol monobutyl ether
  112-07-2 Ethylene glycol monobutyl ether acetate
  110-80-5 Ethylene glycol monoethyl ether
  111-15-9 Ethylene glycolmonoethyl ether acetate
  109-86-4 Ethylene glycolmonomethyl ether
  110-49-6 Ethylene glycolmonomethyl ether acetate
  122-99-6 Ethylene glycol monophenyl ether
  2807-30-9 Ethylene glycolmonopropyl ether
  75-21-8 Ethylene oxide
  60-29-7 Ethyl ether
  104-76-7 2-ethylhexanol
  122-51-0 Ethyl orthoformate
  95-92-1 Ethyl oxalate
  41892-71-1 Ethyl sodium oxalacetate
  50-00-0 Formaldehyde
  75-12-7 Formamide
  64-18-6 Formic acid
  110-17-8 Fumaric acid
  98-01-1 Furfural
  56-81-5 Glycerol (Synthetic)
  26545-73-7 Glycerol dichlorohydrin
  25791-96-2 Glycerol triether
  56-40-6 Glycine
  107-22-2 Glyoxal
  118-74-1 Hexachlorobenzene
  67-72-1 Hexachloroethane
  36653-82-4 Hexadecyl alcohol
  124-09-4 Hexamethylenediamine
  629-11-8 Hexamethylene glycol
  100-97-0 Hexamethylenetetramine
  74-90-8 Hydrogen cyanide
  123-31-9 Hydroguinone
  99-96-7 p-hydroxybenzoic acid
  26760-64-5 Isoamylene
  78-83-1 Isobutanol
  110-19-0 Isobutyl acetate
  115-11-7 Isobutylene
  78-84-2 Isobutyraldehyde
  79-31-2 Isobutyric acid
  25339-17-7 Isodecanol
  26952-21-6 Isooctyl alcohol
  78-78-4 Isopentane
  78-59-1 Isophorone
  121-91-5 Isophthalic acid
  78-79-5 Isoprene
  67-63-0 Isopropanol
  108-21-4 Isopropyl acetate
  75-31-0 Isopropylamine
  75-29-6 Isopropyl chloride
  25168-06-3 Isopropylphenol
  463-51-4 Ketene
  (b) Linear alkyl sulfonate
  123-01-3 Linear alkylbenzene (Linear dodecylbenzene)
  110-16-7 Maleic acid
  108-31-6 Maleic anhydride
  6915-15-7 Malic acid
  141-79-7 Mesityl oxide
  121-47-1 Metanilic acid
  79-41-4 Methacrylic acid
  563-47-3 Methallyl chloride
  67-56-1 Methanol
  79-20-9 Methyl acetate
  105-45-3 Methyl acetoacetate
  74-89-5 Methylamine
  100-61-8 n-methylaniline
  74-83-9 Methyl bromide
  37365-71-2 Methyl butynol
  74-87-3 Methyl chloride
  108-87-2 Methyl cyclohexane
  1331-22-2 Methyl cyclohexanone
  75-09-2 Methylene chloride
  101-77-9 Methylene dianiline
  101-68-8 Methylene diphenyl diisocyanate
  78-93-3 Methyl ethyl ketone
  107-31-3 Methyl formate
  108-11-2 Methyl isobutyl carbinol
  108-10-1 Methyl isobutyl ketone
  80-62-6 Methyl methacrylate
  77-75-8 Methylpentynol
  98-83-9 a-methylstyrene
  110-91-8 Morpholine
  85-47-2 a-naphthalene sulfonic acid
  120-18-3 b-naphthalene sulfonic acid
  90-15-3 a-naphthol
  135-19-3 b-naphthol
  75-98-9 Neopentanoic acid
  88-74-4 o-nitroaniline
  100-01-6 p-nitroaniline
  91-23-6 o-nitroanisole
  100-17-4 p-nitroanisole
  98-95-3 Nitrobenzene
  27178-83-2c Nitrobenzoic acid (o, m & p)
  79-24-3 Nitroethane
  75-52-5 Nitromethane
  88-75-5 2-Nitrophenol
  25322-01-4 Nitropropane
  1321-12-6 Nitrotoluene
  27215-95-8 Nonene
  25154-52-3 Nonylphenol
  27193-28-8 Octylphenol
  123-63-7 Paraldehyde
  115-77-5 Pentaerythritol
  109-66-0 n-pentane
  109-67-1 l-pentene
  127-18-4 Perchloroethylene
  594-42-3 Perchloromethyl mercaptan
  94-70-2 o-phenetidine
  156-43-4 p-phenetidine
  108-95-2 Phenol
  98-67-9, Phenolsulfonic acids
  585-38-6,  
  609-46-1,  
  133-39-7c  
  91-40-7 Phenyl anthranilic acid
  (b) Phenylenediamine
  75-44-5 Phosgene
  85-44-9 Phthalic anhydride
  85-41-6 Phthalimide
  108-99-6 b-picoline
  110-85-0 Piperazine
  9003-29-6, Polybutenes
  25036-29-7c  
  25322-68-3 Polyethylene glycol
  25322-69-4 Polypropylene glycol
  123-38-6 Propional dehyde
  79-09-4 Propionic acid
  71-23-8 n-propyl alcohol
  107-10-8 Propylamine
  540-54-5 Propyl chloride
  115-07-1 Propylene
  127-00-4 Propylene chlorohydrin
  78-87-5 Propylene dichloride
  57-55-6 Propylene glycol
  75-56-9 Propylene oxide
  110-86-1 Pyridine
  106-51-4 Quinone
  108-46-3 Resorcinol
  27138-57-4 Resorcylic acid
  69-72-7 Salicylic acid
  127-09-3 Sodium acetate
  532-32-1 Sodium benzoate
  9004-32-4 Sodium carboxymethyl collulose
  3926-62-3 Sodium chloroacetate
  141-53-7 Sodium formate
  139-02-6 Sodium phenate
  110-44-1 Sorbic acid
  100-42-5 Styrene
  110-15-6 Succinic acid
  110-61-2 Succinitrile
  121-57-3 Sulfanilic acid
  126-33-0 Sulfolane
  1401-55-4 Tannic acid
  100-21-0 Terephthalic acid
  79-34-5c Tetrachloroethanes
  117-08-8 Tetrachlorophthalic anhydride
  78-00-2 Tetraethyl lead
  119-64-2 Tetrahydronaphthalene
  85-43-8 Tetrahydrophthalic anhydride
  75-74-1 Tetramethyl lead
  110-60-1 Tetramethylenediamine
  110-18-9 Tetramethylethylenediamine
  108-88-3 Toluene
  95-80-7 Toluene-2,4-diamine
  584-84-9 Toluene-2,4-diisocyanate
  26471-62-5 Toluene diisocyanates (mixture)
  1333-07-9 Toluene sulfonamide
  104-15-4c Toluenesulfonic acids
  98-59-9 Toluene sulfonyl chloride
  26915-12-8 Toluidines
  87-61-6, Trichlorobenzenes
  108-70-3,  
  120-82-1c  
  71-55-6 1,1,1-trichloroethane
  79-00-5 1,1,2-trichloroethane
  79-01-6 Trichloroethylene
  75-69-4 Trichlorofluoromethane
  96-18-4 1,2,3-trichloropropane
  76-13-1 1,1,2-trichloro
    1,2,2-trifluoroethane
  121-44-8 Triethylamine
  112-27-6 Triethylene glycol
  112-49-2 Triethylene glycol dimethyl ether
  7756-94-7 Triisobutylene
  75-50-3 Trimethylamine
  57-13-6 Urea
  108-05-4 Vinyl acetate
  75-01-4 Vinyl chloride
  75-35-4 Vinylidene chloride
  25013-15-4 Vinyl toluene
  1330-20-7 Xylenes (mixed)
  95-47-6 o-xylene
  106-42-3 p-xylene
  1300-71-6 Xylenol
  1300-73-8 Xylidine
  (b) methyl tertbutyl ether
  9002-88-4 Polyethylene
  (b) Polypropylene
  9009-53-6 Polystyrene

 

a)  CAS numbers refer to the Chemical Abstacts Registery numbers assigned to specific chemicals, insonomers or mixtures of chemicals. Some isomers or mixtures that are covered by the standards do not have CAS numbers assigned to them. The standards apply to all of the chemicals listed, whether CAS numbers have been assigned or not.
 
b)  No CAS number(s) have been assigned to this chemical, to its isomers, or mixtures containing these chemicals.
 
c)  CAS numbers for some of the isomers are listed: the standards apply to all of the isomers and mixtures, even if CAS numbers have not been assigned.

 
(Source: Amended at 13 Ill. Reg. 10893, effective June 27, 1989)
 

 



Appendix E



Reference Methods and Procedures

 

INTRODUCTION

 
This Appendix presents the reference methods and procedures required for implementing Reasonably Available Control Technology (RACT). Methods and procedures are identified for two types of ACT implementation:

 
a)  Determination of VOC destruction efficiency for evaluating compliance with the 98 weight percent VOC reduction or 20 ppmv emission limit specified in Sections 215.520 through 215.527; and
 
b)  Determination of offgas flowrate, hourly emissions and stream net heating value for calculating TRE.
 

All reference methods identified in this Appendix refer to the reference methods specified at 40 CFR 60, Appendix A, incorporated by reference in Section 215.105.

 

VOC DESTRUCTION EFFICIENCY DETERMINATION

 
The following reference methods and procedures are required for determining compliance with the percent destruction efficiency specified in Sections 215.520 through 215.527.
 
a)  Reference Method 1 or 1A for selection of the sampling site. The control device inlet sampling site for determination of vent stream molar composition or total organic compound destruction efficiency shall be prior to the inlet of any control device and after all recovery devices.
 
b)  Reference Methods 2, 2A, 2C or 2D for determination of the volumetric flowrate.
 
c)  Reference Method 3 to measure oxygen concentration of the air dilution correction. The emission sample shall be corrected to 3 percent oxygen.
 
d)  Reference Method 18 to determine the concentration of total organic compounds (minus methane and ethane) in the control device outlet and total organic compound reduction efficiency of the control device.
 

TRE DETERMINATION

 

The following reference methods and procedures are required for determining the offgas flowrate, hourly emissions, and the net heating value of the gas combusted to calculate the vent stream TRE.

 
a)  Reference Method 1 or 1A for selection of the sampling site. The sampling site for the vent stream flowrate and molar composition determination prescribed in (b) and (c) shall be prior to the inlet of any combustion device, prior to any post-reactor dilution of the stream with air and prior to any post-reactor introduction of halogenated compounds into the vent stream. Subject to the preceding restrictions on the sampling site, it shall be after the final recovery device. If any gas stream other than the air oxidation vent stream is normally conducted through the recovery system of the affected facility, such stream shall be rerouted or turned off while the vent stream is sampled, but shall be routed normally prior to the measuring of the initial value of the monitored parameters for determining compliance with the recommended RACT. If the air oxidation vent stream is normally routed through any equipment which is not a part of the air oxidation process as defined in 35 Ill. Adm. Code 211.122, such equipment shall be bypassed by the vent stream while the vent stream is sampled, but shall not be bypassed during the measurement of the initial value of the monitored parameters for determining compliance with Subpart V.
 
b)  The molar composition of the vent stream shall be determined using the following methods:
 
1)  Reference Method 18 to measure the concentration of all organics, including those containing halogens, unless a significant portion of the compounds of interest are polymeric (high molecular weight), can polymerize before analysis or have low vapor pressures, in which case Reference Method 25(a) shall be used.
 
2)  ASTM D1946-67 (reapproved 1977), incorporated by reference in Section 215.105, to measure the concentration of carbon monoxide and hydrogen.
 
3)  Reference Method 4 to measure the content of water vapor, if necessary.
 
c)  The volumetric flowrate shall be determined using Reference Method 2, 2A, 2C or 2D, as appropriate.
 
d)  The net heating value of the vent stream shall be calculated using the following equation:
 

      n
H=K å CiHi
i=1

 
Where:
 
H =  Net heating value of the sample, MJ/scm, where the net enthalpy per mole of offgas is based on combustion at 25 C and 760 mm Hg, but the standard temperature for determining the volume corresponding to one mole is 20 C, as in the definition of F (vent stream flowrate) below.
 
K =  Constant, 1.740 x 10(-7) (1/ppm) (mole/scm) (MJ/kcal) where standard temperature for mole/scm is 20 C.
 
Ci =  Concentration of sample component i, reported on a wet basis, in ppm, as measured by Reference Method 18 or ASTM D1946-67 (reapproved 1977), incorporated by reference in Section 215.105.
 
Hi =  Net heat of combustion of sample component i, kcal/mole based on combustion at 25 C and 760 mm Hg. If published values are not available or cannot be calculated, the heats of combustion of vent stream components are required to be determined using ASTM D2382-76, incorporated by reference in Section 215.105.
 
e)  The emission rate of total organic compounds in the process vent stream shall be calculated using the following equation:
 

n
E= K'F å CiMi
i=1

Where:
 
E =  Emission rate of total organic compounds (minus methane and ethane) in the sample in kg/hr.
 
K' =  constant, 2.494 x 10(-6) (1/ppm) (mole/scm) (kg/g) (min/hr), where standard temperature for (mole/scm) is 20 C.
 
Mi =  Molecular weight of sample component i (g/mole).
 
F =  Vent stream flowrate (scm/min), at a standard temperature of 20 C.
 
f)  The total vent stream concentration (by volume) of componds containing halogens (ppmv, by compound) shall be summed from the individual concentrations of compounds containing halogens which were measured by Reference Method 18.
 

(Source: Added at 11 Ill. Reg. 20829, effective December 14, 1987)

 
 



Appendix F



Coefficients for the Total Resource
Effectiveness Index (TRE) Equation

 
This Appendix contains values for the total resource effectiveness index (TRE) equation in Subpart V.
 
If a flow rate falls exactly on the boundary between the indicated ranges, the operator shall use the row in which the flow rate is maximum.
 

COEFFICIENTS FOR TRE EQUATION FOR CHLORINATED
PROCESS VENT STREAMS WITH NET HEATING VALUE
LESS THAN OR EQUAL TO 3.5 MJ/scm

FLOW RATE
(scm/min)

Min. Max. a b c d e f
0.0 13.5 48.73 0. 0.404 -0.1632 0. 0.
13.5 700. 42.35 0.624 0.404 -0.1632 0. 0.0245
700. 1400. 84.38 0.678 0.404 -0.1632 0. 0.0346
1400. 2100. 126.41 0.712 0.404 -0.1632 0. 0.0424
2100. 2800. 1685.44 0.747 0.404 -0.1632 0. 0.0490
2800. 3500. 210.47 0.758 0.404 -0.1632 0. 0.0548

 

COEFFICIENTS FOR TRE EQUATION FOR CHLORINATED
PROCESS VENT STREAMS WITH NET HEATING VALUE
GREATER THAN 3.5 MJ/scm

 
FLOW RATE
(scm/min)

Min. Max. a b c d e f
0. 13.5 47.76 0. -0.292 0. 0. 0.
13.5 700. 41.58 0.605 -0.292 0. 0. 0.0245
700. 1400. 82.84 0.658 -0.292 0. 0. 0.0346
1400. 2100. 123.10 0.691 -0.292 0. 0. 0.0424
2100. 2800. 165.36 0.715 -0.292 0. 0. 0.0490
2800. 3500. 206.62 0.734 -0.0292 0. 0. 0.0548

 

 

COEFFICIENTS FOR TRE EQUATION FOR
NONCHLORINATED PROCESS VENT STREAMS WITH NET
HEATING VALUE LESS THAN OR EQUAL TO 0.48 MJ/scm

 
FLOW RATE
(scm/min)

Min. Max. a b c d e f
0. 13.5 19.05 0. 0.113 -0.214 0. 0.
13.5 1350. 16.61 0.239 0.113 -0.214 0. 0.0245
1350. 2700. 32.91 0.260 0.113 -0.214 0. 0.0346
2700. 4050. 49.21 0.273 0.113 -0.214 0. 0.0424

 

COEFFICIENTS FOR TRE EQUATION FOR NONCHLORINATED
PROCESS VENT STREAMS WITH NET HEATING VALUE GREATER
THAN 0.48 AND* THAN OR EQUAL TO 1.9 MJ/scm

 
FLOW RATE
(scm/min)

Min. Max. a b c d e f
0. 13.5 19.74 0. 0.400 -0.202 0. 0.
13.5 1350. 18.30 0.138 0.400 -0.202 0. 0.0245
1350. 2700. 36.28 0.150 0.400 -0.202 0. 0.0346
2700 4050. 54.26 0.158 0.400 -0.202 0. 0.0424

 

COEFFICIENTS FOR TRE EQUATION FOR NONCHLORINATED
PROCESS VENT STREAMS WITH NET HEATING VALUE GREATER
THAN 1.9 AND LESS THAN OR EQUAL TO 3.6 MJ/scm

 
FLOW RATE
(scm/min)

Min. Max. a b c d e f
0. 13.5 15.24 0. 0.033 0. 0. 0.
13.5 1190. 13.63 0.157 0.033 0. 0. 0.0245
1190. 2380. 26.95 0.171 0.033 0. 0. 0.0346
2380. 3570. 40.27 0.179 0.033 0. 0. 0.0424

 

COEFFICIENTS FOR TRE EQUATION FOR NONCHLORINATED
PROCESS VENT STREAMS WITH NET HEATING VALUE
GREATER THAN 3.6 MJ/scm

 
FLOW RATE
(scm/min)

Min. Max. a b c d e f
0. 13.5 15.24 0. 0. 0.0090 0. 0.
13.5 1190. 13.63 0. 0. 0.0090 0.0503 0.0245
1190. 2380. 26.95 0. 0. 0.0090 0.0546 0.0346
2380. 3570. 40.27 0. 0. 0.0900 0.0573 0.0424

 

(Source: Added at 11 Ill. Reg. 20829, effective December 14, 1987)

Back to top