1. NOTICE OF FILING
      2. CONCLUSION
  1. Attachment FOUR
    1. CERTIFICATE OF SERVICE

RECEIVED
(~T
~ERK’S
OFFICE
OCT
112001
BEFORE THE
ILLINOIS POLLUTION CONTROL BOARDSTATE
OF ILLINOIS
Pollution
Control Board
IN THE MATTER OF:
REVISIONS TO ANTIDEGRADATION RULES:
35
ILL. ADM. CODE 302.105, 303.205, 303.206, AND
106.990
—106.995
)
)
)
)
)
RO 1-13
(Rulemaking-Water)
)
)
)
)
NOTICE OF FILING
PLEASE TAKE NOTICE that on this date, October 11,
2001, I filed with Dorothy Gunn,
Clerk of the Illinois
Pollution
Control
Board,
James
R.
Thompson
Center,
100
West Randolph,
Suite
11-500,
Chicago,
IL
60601,
the enclosed Post-Hearing
Comments of the Environmental
Law
and Policy Center, Friends of the Chicago River, Prairie Rivers Network, and
Sierra
Club;
Regarding the Proposed Rule, First Notice.
Albert F. Ettinger (ARDC
3125045)
Counselfor Environmental Law & Policy
Center, Friends of the Fox River, Prairie
Rivers Network and Sierra Club
35
East Wacker Drive, Suite
1300
Chicago, IL
60601-2110
(312) 795
3707
October 11,2001

The
Board Should Adopt Some ofthe Agency’s Proposed Revisions
In this Proceeding But, if Necessary, Consider Other ofthe Agency’s
Proposals in a Separate Later Proceeding
4
A.
Proposed Agency Revision to Section 302.102(b)(4) ofthe
First Notice Proposal
CWA Section
401
Certification
4
B.
Proposed Agency Changes to First Notice Proposal Section
302.105(c)(2)
6
C.
Proposed Agency Changes to First Notice Proposal Section
302.105(d)(5)
7
D.
Proposed Agency Changes to First Notice Proposal Section
302.l05(d)(6)
8
B.
Proposed Changes to Section 302.105(f)
IEPA
Revised Proposal
Sections 309.103, 309.108, 309.113, and309.141
9
1.
DeletingReferences toCWA Section 401
9
2.
Moving Language in 302.105(f) to
Part
309
9
3.
Permit Applications
NeededChange to 302.1
05(f)(
1)
IEPA
Revised Proposal, Section
309.103(a)(5)J
“with anew or increased permit limit” should be deleted
10
4.
OtherAgency Proposed Changesto 302.105(f)(1)
IEPA
Revised Proposal,
309.103(a)(5)
12
5.
Pre-Permit Application Assessment by the Agency
302.105(f)(2)(A)-(C)
Deleted fromJEPA Revised
Proposal
12
6.
Written Analysis
and
Terms and
Conditions ofPermits
302.105(f)(2)(D) JEPA
Revised Proposal, 309.108(d)
13
7.
FactSheets
302.105(f)(3)~IEPA Revised Proposal,
Section 309.1 13(a)(6)
14
8.
The Agency’sProposed 309.141(i)
14
II.
WithaFew Exceptions, the Changes to the First Notice
Proposal proposed
ByIERG Should be
Rejected by the Board
14

A.
Changes to the Heading and First Section 102.800
15
B.
Notice of
an ORW Petition
IERG’s ProposedChanges
To First Notice Proposal
102.8 10 Should be Rejected
15
C.
Proposed IERG Changes to First Notice Proposal
102.820
16
D.
Proposed IERG Changes to First
Notice Proposal
102.830
16
E.
Proposed IERG Changes to FirstNotice
Proposal Section
302.105(b)
17
F.
Proposed IERG Changes to FirstNotice
Proposal
302.105(c)
18
G.
Proposed IERG Changes to
Section 302.105(d)
Exceptions
Antidegradation
19
1.
Additives
19
2.
General Permits
19
3.
Site Stormwater
20
4.
Site Specific Regulation
20
5.
DeMinimis
21
H.
Proposed IERG Changes to 302.105(f)
21
III.
Summary
ofProposed Environmental
Group Changes
22

BEFORE THE POLLUTION CONTROL BOARD
OF THE STATE OF ILLiNOIS
STATE
OF !LLfNo~S
PolIutj0~
Control
Board
INTHEMATTER OF:
)
)
Revisions to
Antidegradation Rules:
)
R01-13
35
Ill. Adm. Code
302.105, 303.205,
)
303.206and106.990-106.995
)
POST-HEARING COMMENTS OF THE ENVIRONMENTAL
LAW AND POLICY CENTER, FRIENDS OF THE FOX RIVER,
PRAIRIE RIVERS NETWORK AND SIERRA CLUB
REGARDING THE PROPOSED RULE. FIRST NOTICE
The Environmental Law and Policy Center, Friends
ofthe Fox River, Prairie Rivers
Network
and Sierra Club (collectively “Environmental Groups”) hereby file post-hearing
comments regarding the Illinois Pollution Control Board’s First Notice antidegradation
regulationproposal,
issued by the Board on June 21, 2001
(the “First Notice Proposal”). These
comments also address certain
proposed revisions to the
First Notice Proposal proposed by the
Illinois Environmental Protection Agency (“Illinois EPA” or the “Agency”) and
others.
First, we wish to reemphasize the
importance
ofestablishing antidegradation standards
and implementation rules as soon as possible.
The requirements ofthe current nondegradation
rule, 35 Ill. Admin.
Code 302.105, are not legally sufficient and do not give adequate instructions
to National Pollutant Discharge Elimination System (“NPDES”) permit writers or Illinois EPA
officials responsible
formaking certification decisions under Section 401 ofthe Clean Water
Act, 33 U.S.C. §1341 (“CWA 401 certification”). Bad decisionsthat
are injuring Illinois waters
have been and
are
beingmade as a resultof
sound
antidegradation regulations not being
1

established.
The Environmental Groups oppose any changes being made to the First Notice
Proposal that will cause
substantial
delay in the final enactmentofprotective regulations.
IllinoisEPA initiatedmeetings fouryears ago to discuss the development of
antidegradation standards
and implementation rules.
During these meetings, the Agency
repeatedly invited
specific proposals from the participants and a number ofspecific proposals
were madeby the Environmental Groups, After
two
years ofsuchdiscussions, theAgency
offered its initial proposal to
the Board in August
2000. Since then, there havebeenthree Board
hearings, issuance ofthe FirstNotice Proposal by the Board, the August 24,2001 Hearing on the
First Notice Proposal, andan additional comment period. The timefor
inviting further discussion
should be ended. Standards and rules are needed now.
Since August 24, 2001, there have been numerous informal discussions among a number
ofthe parties that participated in the workgroup meetings from
1997 to
2000.
We believe these
recent discussions have
served to narrow still further the remaining areas ofdisagreement among
the
parties
most active
in this rulemaking proceeding.
Illinois EPA, the
Illinois Environmental
RegulatoryGroup (“IERG”)
and the Environmental Groups have filed or are
filing revised
proposals that reflect agreements reached as a part ofthese recent discussions.
As the Environmental Groups testified August 24, 2001,
the First Notice Proposal is
generally very good.
The Board needs to make a few small, but significant, changes and the
proposal is probably as good and workable as possible. Any set ofrules like the First Notice
Proposal needs to be field tested to be perfected.
That the antidegradation standards and
rules
that will
be
adoptedby the Board in this proceeding will need to be revised in the future is not a
2

reason to further delay adopting badly needed regulations
~
Our comments here will be limited to:
1.
Responding to testimony and comments made by Illinois EPA in the August 24,
2001
hearing.
These comments will include
comments on the revised Agency
proposals filed October
5,
2001, that would substantially reorganize the First
Notice Proposal,2
2.
Responding to testimony and comments made by the IERG in the August 24th
hearing. Our
remarks
regarding IERG’s proposals will reflect our understanding
ofIERG’s current positiOn, which we believe has changed in a number of respects
since August
24th,
and
3.
Summarizing
thetestimony of the
Environmental Groups in light ofthe questions
and testimony ofother witnesses to
the August 24 hearing.
Also, there are a few
revisions that
are needed to the First Notice Proposal that were not noted by the
Environmental Groups until recentlyor that arose from thepost-August 24
discussions.
Our
proposedfmal revisions to the First Notice
Proposal are attached as Attachment
ONE. Because
the Board may choose to reorganize the First Notice Proposal in the manner
proposedby Illinois
EPA in its October
5,
2001
filing, the Environmental Groups have also
supplied, as
Attachment TWO, the language we believe proper if the proposed Agency
‘For this reason, the Environmental Groups are not renewing their proposal that the
Board makechanges to SubtitleD regarding Mine
Related Water Pollution in this proceeding
althoughthe
Board’s recent decision in Prairie Rivers Network v.
Illinois EPA.PCB 01-112
(August 8, 2001)
deepens the conflict between
Illinois water quality regulations regarding
miningand the Clean Water
Act.
The Board should note that under Prairie Rivers Network the
water quality standards ofpart 302 and 303 are not generally applicable to mining operations that
choose to exempt themselves from these standards. Thus, the part 302 regulations to be adopted
by the Board in thisproceeding will not be applicable to mining operations that choose to invoke
their immunity.
2The Agency’s proposed revised language will be cited here as “IEPA Revised Proposal”.
3

reorganization is adopted by the Board,3
I
TheBoard ShouldAdopt Some ofthe Agency’s ProposedRevisions in
this Proceeding But, ifNecessary, Consider Other ofthe Agency’s
Proposals in a Separate Later
Proceeding.
TheAgency in its pre-filed testimony, filed August 10, 2001, and at theAugust24
hearing indicatedthat it would propose changes to the Board’s FirstNotice Proposal; particularly
regardingproposed Section 302.105(f). TheAgency’s proposed revisionswere filed October 5,
2001.
The Environmental Groups believe that someofthe
Agency’s proposed revisions should
be adoptedby
the Board in this proceeding.
Other revisions proposed by the Agency should not
be adopted in
this proceeding. Still other proposed Agency revisions should
only be adopted if
the Board is confident thatadoption of
the proposals will not delay the establishment of
antidegradation regulations for Illinois. If
necessary, Agency proposals that would substantially
delay adoption ofantidegradation regulations should be considered in a separate proceeding.
The basically sound First Notice Proposal should go into effect sooner ratherthan later.
A.
Proposed Agency Revisions to Section 302.105(b)(4) ofthe First
Notice Proposal
-
CWA Section 40lCertification
TheAgency’sproposed
changes to First Notice Proposal Section 302.105(b)(4) and many
3We apologizethat
it is sometimes very hard to follow all ofthe proposed language
changes and language movements.
We havetried to make our comments as clear as possible but
tracing proposed changes to a myriad ofsections of a proposed regulation and commenting on
theseproposed changes makes for difficult text. We welcome any calls to counsel by staff to the
Board that may serve to clarify our
proposals, within thebounds ofthe
rules
governing such
informal contacts by Board staff with participants in a regulatory proceeding.
4

ofthe proposed changes to otherportions of the First Notice Proposal are
designed to delete
references to Clean Water Act Section
401
certification from the regulations regarding
antidegradation permitting.
The Environmental Groups are concerned that the Agency proposal
eliminates any formal procedures for conducting antidegradation reviews for CWA 401
certifications. By removing CWA 401
certifications from First Notice Proposal Section
302.105(b)(4) and deleting references to CWA 401
certifications from 302.105(f) (before moving
what was in 302.105(f) to various sections ofpart 309), the Agency separates the procedures for
conducting an antidegradation review for NPDES permits from the procedures for reviewing
CWA 401
certifications.
There would then be no procedures established in this proceeding for
CWA 401
certifications at all.
We strongly object to these proposed changes.
The Agency’sjustification for insisting on entirely separate procedures for CWA 401
certifications (to be created in a future Agency rulemaking proceeding)
is its concern that certain
elements ofthe First Notice Proposal relating to Clean Water Act SectiOn 401
certification by
Illinois EPA of federally regulated activities (mainly wetland fill activities regulated by the U. S.
Army Corps under Section 404 ofthe Clean Water Act, 33
U.S.C.
§
1344) may not mesh with
federal procedures or will interfere with Illinois EPA’s ability to work with federal agencies.
Illinois EPA does not, however, point out any specific potential state/federal conflicts or cite any
provision ofthe First Notice Proposal that conflicts with any federal rule or procedure. The
Environmental Groups are unaware ofany manner in which the provisions ofthe First Notice
Proposal conflict with any federal rule orprocedure.4
4There is a wording problem in First Notice Proposal Section 302.105(d)(6) discussed
below. That minor problem, however, can be corrected without taking the drastic step of
5

It is
critical that Illinois EPA make sound CWA 401
certification decisions and that 401
certification not be a rubber stamp in Illinois, as it has often been in the past.
The Board’s First
Notice Proposal seems well designed to accomplish these results. Other than offering general
fears ofpossible future conflictswith federal
authorities, Illinois EPA does not offer any
reason
theprocedures for
consideration of CWA
401 certificationsshould be
different from those
spelled out in the First Notice Proposal.
Accordingly, the Environmental Groups disagree with the Agency’s proposed changes to
First NoticeProposal Section 302.105(b)(4) as well as with the Agency’sproposed changes to
other parts ofthe First Notice Proposal
insofar as these proposed changes are designed to remove
the procedures for making decisions regarding CWA Section
401
certification from the
procedures set forth in First Notice Proposal
Section 302.105(1). IEPA
Revised Proposal
Sections 309.1 03((a)(5),
and 309.108(d)
B.
Proposed Agency Changes to First Notice Proposal
Section
302.105(c)(2)
In the IEPA
Revised Proposal, the Agency suggests a new sentence at 302.l05(c)(2) that
the “assessment to determine compliance with this
Section 302.105
must be made on a case-by-
case basis.” The EnvironmentalGroups believe that this “case-by-case” language, as well as
different “case-by-case” language proposed byIERG, is unnecessary. However, given
the
apparent depth ofIERG’s feelings regarding this matter, wedo
not object to the inclusion of
either the “case-by-case” language that
is now proposed by the Agency (to please IERG) orto
dropping
all ofthe Board’s proposed permitting rules in so far as they apply to CWA 401
certification.
6

IERG’s proposed “case-by-case” language discussedbelow.5
C.
ProposedAgency Changesto FirstNotice Proposal Section
302.105(d)(5)
This proposal to exempt increased loadings ofnon-contact cooling water containing
chlorine to be permitted from the need for an antidegradation a~~ialysis
is
more limited than
proposals that have been made to create a broad exemption for non-contact cooling water
containing additives.
It is
possible
that an exemption like that proposed by the Agency
should be
adopted in a future proceeding, but we do not know.
There has not been any notice ofthis proposal or testimony regarding it. The
Environmental Groups could not in the few days that they knew ofthis proposal determine with
confidence that chlorine is removed bythe
processes required by.the Agency to the extent that it
never poses a
danger to aquatic life. Certainly, there is no evidence in the record ofthis
proceeding that
multiple sources ofchlorine, regulated to the degree residual chlorine is
regulated in Illinois, will never lessen the assimilative capacity ofthe receiving water.
We note
furtherthat the present residual chlorine effluent standard would allow discharges that would
raise ambient
chlorine levels to levels above the standard for acute toxicity.6
51twould be extremely repetitive for the Board to include boththe IllinoisEPA
and
IERG
proposed “case-by-case” clauses in the final rule.
6
The Agency’s proposed 302.105(d)(5)(B) would
allow discharges of chlorine that are nearly ten
times the general water quality standard without any antidegradation review.
We doubt such
an
exemption
is appropriate.
The Agency’s proposed
302.105(d)(5)(B)
states that an antidegradation review ~s
unnecessary for
discharges of chlorine as long as the cooling water “is treated to remove
residual chlorine, returned to the
same body of water from which
it was taken, as defined in 35
III. Adm.
Code 352.104,
provided
that the
discharge complies with applicable
Illinois thermal and effluent standards.” Illinois’ effluent standards for
total residual chlorine (35 III Admin. Code 304.222) only apply to non-intermittent discharges.
Non-
intermittent discharges are any that occur on
a frequency greater than “two hours per day per condenser
7
S

The Board should not adopt the Agency’s proposed exemption from antidegradation
requirements for non-contact cooling water with chlorine additives in this proceeding. It may
well be that a future petition to create such an exemption, properly supported by evidence that
can
bereviewed by the public, should be granted.
In the meantime, the lack ofsuch a chlorine exemption should impose little hardship.
An
increased loadingofnon-contact cooling water containing a tinyamount ofchlorine
discharged
intowaters
providing adequate dilution will need to undergo
an antidegradation analysis. But,
using the case-by-caseapproach adoptedby the Board, the antidegradation
analysis ofsuch a
loading may not need to be much more than a recitation ofthe facts regarding the need to
disinfect and the insignificance ofthe increased chlorine loading.
D.
Proposed Agency Changes to First Notice Proposal Section
302.1 05(d)(6)
The Environmental Groups agree with the Agency’s proposed change to
Section
302.105(d)(6) ofthe First Notice Proposal regarding general NPDES permits and
national and
regional Clean Water Act 404 permits.
Under U.S. Army Corps regulations governing
nationwide and regional Section 404 permits, a state is given a chance to refuse to certify the
or cooling system unit.”
The numerical
standards for these non-intermittent discharges
is 0.2 mg/L
(chronic) and 0.5
mg/L (acute).
The water quality standard for total residual chlorine is 0.011
mg/L (chronic) and 0.019 mg/L (acute).
35
Ill.
Admin. Code 302.208(e).
The Agency proposal
therefore exempts from antidegradation review non-
intermittent discharges of chlorine that are nearly twice the chronic water quality standards and over two-
and-a-half times the acute water quality standard.
Furthermore, the Agency proposal seems to exempt
from antidegradation review all intermittent discharges of less than two hours duration although
acute
toxicity standards are normally based on consideration of a one hour exposure.
It should also
be noted
that
Illinois’ 2000 305(b)
report indicates that several miles of Illinois streams are already impaired
by
chlorine discharges, underscoring the possibility of environmental damage from chlorine discharges that
presumably meetthe effluent standards described in Section 304.222.
8

nationwide or regional permit for its
state, or to certify the nationwide or regional permit subject
to whatever limits the state chooses to impose.
Thus, Illinois EPA in reviewing proposed
nationwide or regional permits should reject certification or limit its certification ofa proposed
permit to assure
that waters ofparticularbiological
significance are not affected by the permit.
After a nationwide or regional permit has been certified (subject to whatever limitations
are imposed), Illinois EPA will not have occasion to certify or otherwise review activities falling
within the certifiedpermit.
As discussedbelow
(in part III), the Environmental Group also propose a revision to First
Notice Proposal Section 302.105(d)(6).
E.
Proposed Changes to Section 302.105(f) IEPA
Revised Proposal
Sections 309.103, 309.108, 309.113, and 309.141
On October
5, the Agency has made a number ofproposals forrevisions to Section
302.105(f) ofthe FirstNotice Proposal. TheEnvironmental Groups agree withsome ofthe
Agency’s proposed revisions and oppose others.
1.
Deleting the References to CWA Section 401
For the reasons discussedabove, the
Environmental Groups oppose deleting references to
Clean Water ActSection401 from302.105(f), or, ifthe Agency’sproposed reorganization is
adopted, the respective portions of
Part 309.
The First Notice Proposal
is generally
sound as to
CWA Section 401
certifications and
no federal-state conflicthasbeen identified that would result
from the Board adopting the First Notice Proposal.
2~
Moving Language in 302.105(1) to Part 309
The Agency’s view that
“housekeeping”
considerations (Frevert Testimony, Transcript
9

ofProceedings, August 24, 2001
at
80) support moving the proposed language of Section
302.105(1) to Part 309 regarding permitting procedures is probably correct. But the
Environmental Groups cannot support any housekeeping measures that substantially delay the
establishment ofsound antidegradation regulations. The Agency continues to consider NPDES
permits
fornew or increased discharges to Illinois waters under the currentvague regulations
without implementation rules. New CWA 401
certification decisions are made nearly every
week.
The Board should adopt sound regulations as soon as feasible. The Board shoUld not
make changes to the First Notice Proposal motivated by aesthetic or housekeeping considerations
if the changes will delay adoption ofeffective regulations.
3.
Permit Applications
-
Needed Change to 302.105(f)(1)~IEPA
Revised Proposal, Section 309.103(a)(5)
-
“with a new or
increased permit limit”
should be deleted.
The first sentence of302.105(f)(1) now begins:
A permit application for any proposed increase in pollutant loading
that necessitates a new, renewed, or modified NPDES permit, with
a new or increased permit limit,
The Agency proposes striking “with a new or increased permit limit”,
and the
Environmental
Groups agree with this proposal.7
These words arguably conflict with the first
sentence ofFirst Notice Proposal Section 302.105(c)(2) and are capable
ofbeing misconstrued.
Theproblem here can best be seenusing anexample. A sewerage treatment
plant
pennitted to discharge a daily averageflow of 1 million gallons
per
day into the Mississippi
7The Agency also proposes striking the referenceto“CWA Section 401 certification.” For
the reasons given above, we do not agree with this proposed change.
10

River will probably not have an ammonia effluent limit.
There will be sufficient dilution that,
unless mixing is very pooror there
are
unusual conditions
in the vicinity of the discharge, an
ammonia effluent limit will
not be needed. Were that plant operator to seek a permit to triple its
discharge without changing its treatment technology, there would be an increased loading
of
ammonia that
should receive some level ofantidegradation review ~robably
fairly cursory for
the facts ofthis
example), but there still would probably not need to be a new or increased permit
limit for ammonia. The language that is now in 302.l05(f)(1) muddies the conclusionthat an
antidegradation analysis mustbe done
in this case where there is a new loading,
but no new
permit limits.8
We believe that everyone is now clear and agrees that theevent that triggersan
antidegradation assessment (subject to
the specified exceptions) is a change to a permit or new
permit to allow a
new or increased
loadingofany
pollutant. For the dischargerto
change its
operations in a
way
that increases the loading within the confines ofthe existing permit (e.g.
while holding aNPDES permit allowing dischargeof
300 lbs ofa pollutant per day, increasing
the actual discharge from 100
lbs per day to 250 lbs per day) does not trigger an antidegradation
assessment. Thatassessment should havebeendonewhen
the permit was granted to
discharge
the
amount
allowedby
the permit.
On the other hand, seeking a permit to increase the total
dischargefrom a facility (e.g. requesting a permit to go from 1 MGD to
3 MGD) does trigger an
8Actually, in originally reading the FirstNotice Proposal, we
did not catch this problem.
Weassumed that
the Board meant that the increased discharge volume allowed by thepermit,
whichwould be reflected in a
newpermit limit, would trigger an antidegradation analysis
regarding the increased loading of all pollutants for which there would be an increased loading,
even if there were no effluent limits for those specific pollutants the loading ofwhich would
increase as aresult ofpermitting a larger total discharge.
11

antidegradation analysis as to eachpollutant forwhich an increased loading can
be anticipated,
even as to pollutants for which there is no effluent limit in the old or new permit.9
4.
Other Agency Proposed Changes to 302.105(f)(1) IEPA
Revised
Proposal,
309.103(a)(5)
The Agency proposes adding the words “but are not limited to” to First Notice Proposal,
Section 302.1 05(f)(1)(C) IEPA
Revised Proposal, 309.1 03(a)(5)(C)and
302.1 05(f)(l )(D)
IEPA
Revised Proposal, 309.l03(a)(5)(D).
The Environmental Groups do not think that this
proposed change has
any substantive effect.
5.
Pre-Permit Application Assessment
by the Agency
-
302.l05(f)(2)(A)-(C) Deleted from IEPARevised Proposal
It is clearthat some re-draftingofFirst Notice Proposal Section 302.1 05(f)(2)(B) is
necessary to make clear thatno appeal
may be taken prior to the denial ofa permit or the
issuance of a permit with conditions. Further,
the Environmental Groups agree with the Agency
that the rules regarding informal consultationby permit applicants withtheAgency should
not be
in the Board rules.
The Agency proposal,whichremoves all the languagenowcontained in 302.105(f)(2)
(A)through (C), eliminates these problemsand is
supported by the Environmental Groups.
9Also,
it does not affect
the result if the discharger does not in fact intend to discharge to
the full extent ofthe loading or concentration permit limits.
The permit must be considered
under the assumptionthat everything that is permitted will be done because there will not be
another opportunity to consider antidegradation if the discharger increases its loading within its
permit limits.
Permit applicants should avoid asking to be allowed to pollute more than they
actually need to pollute in order to avoid the need for an antidegradation analysis based on the
effects ofdischarges they do not intend to make.
12

6.
Written Analysis and Terms and Conditions of Permits
-
302.105(f)(2)(D) IEPA
Revised Proposal, 309.108(d)
The Agency’s new proposal uses language now in Section 302.105(f)(2)(D) of the First
Notice proposal to create a new 309.108(d) on written analysis ofthe proposed increase in
loading.
The Environmental Groups do not believe that any changes are
necessary towhat is now
First Notice Proposal
Section 302.105(f)(2)(D).
Ifthe Board chooses not to rearrange and
move
302.105(1), 302.105(f)(2)(D) can become the entire text of 302.105(f)(2).
See Attachment ONE.
Turning now to the Agency’s proposed 309.108 (d), it can
be seen that, while borrowing
from First Notice Proposal Section 302.105(f)(2)(D), the Agency proposes a number ofchanges
to
the Board language.
Most notably, the changes call for the Agency to make an “assessment”
ofthe “proposed activity” rather than determining whether the “demonstration” made by the
applicant meets the requirement of302.105.
The practical import ofthe nuance regarding “demonstration” by the applicant versus
“assessment” by the Illinois EPA is unclear.
The law is clear that an applicant for a NPDES
permit must show that it is entitled to the permit. Panhandle Eastern Pipe Line Co. Illinois EPA,
314111.
App. 3d 296,
743 N.E. 2d
18,
24
(4t~~
Dist. 2Q00); ESG Watts v.
Pollution Control Board,
224 Ill. App. 3d 592, 586 N.E. 2d 1320,1322 (3d. Dist.
1992). On the other hand,
no one has ever
suggested that the Illinois EPA cannot assist the applicant to assemble the necessary information
or contribute whatever
relevant information Illinois
EPA has to the record. Ultimately, if the
evidence to support issuing the permit does not make it into the record, the permit cannot be
issued legally.
13

7.
FactSheets
-
302.105(f)(3)~IEPA Revised Proposal, Section
309.113(a)(6)
In the new Agency proposal, what is now First Notice Proposal Section 302.105(f)(3) is
moved to Part 309
to become 309.1l3(a)(6).
As stated above, the Environmental Groups are
concerned about the potential that moving sections to Part 309 will delay enactment of a final
rule. Further,
we seeno real reason tomakeany changes to the language that isnowcontained in
First Notice Proposal Section 302.105(f)(3).
However, the Environmental Groups have no specific objections to the language
proposed by the Agency in its proposed 309.113(a)(6)
8.
The Agency’s Proposed 309.141(i)
Again using language from
Section 302.105(f)(1) ofthe Board’s First Notice Proposal,
the Agency
proposes a new subsection 309.141(i). The Environmental Groups have no objection
to the language of
this proposed new section, except for the fact it does not cover CWA Section
401
certifications. However, forthe reasons stated above, we are concerned about adoption of
any proposed language that might lead to a substantial delay in adoption offinal regulations.
Further,
we are
uncertain whether the proposed new 309.141(i) is necessary.
II
With A Few Exceptions, the Changes to the First Notice Proposal proposed by
IERG Should be Rejected by the Board.
IERG in its August 24 testimony reargued matters that were considered by the Board and
rejected in its
June 21 FirstNotice Opinion
and Order.
With a few exceptions, the changes IERG
proposed inAugust to the FirstNotice Proposal should be rejected
by the Board.
However, it is our understanding that
IERG now intends to withdraw some ofthe
proposals that itmade in August. Whilewe appreciate
the efforts IERG is making to simplify
14

this proceeding, we are now in a somewhat difficult rhetorical position. We
do not wish to “beat
a deadhorse” by arguing at length
against
proposals that IERG is no longer advocating, but the
fact thatIERG is no
longer advocating a revision does not, ofcourse, preclude the Board from
adopting it. Further, unlike the situation as to
the Agency’s final proposal filed last
week, we do
not havethe
benefit of
seeingIERG’s final filing.’0
A.
Changes to
the Heading and First Notice Section 102.800
The Environmental Groups agree to IERG’s correction ofthe typographical error in
“RESOURCE” andhaveno objectionto IERG’s
proposed insertion ofthe words
“the adoption,
amendment, or
repeal of’ in Section 102.800.
In Section 102.800,IERG alsoproposes
the addition ofthe word “body” after water, a
proposedchange
it continues throughout its proposal. We do not see that adding the word “body”
after “water” throughout the regulation adds anything ofgreatvalue.
B.
Notice ofanORW Petition
-
IERG”s Proposed Changes to First
Notice Proposal Section
102.8 10 Should Be Rejected.
IERG again attempts to impose vastly greater notice requirements on people trying
to
keepwater clean than is required forpersons seeking permits to pollute, variances or site specific
relief.
The Board was correct in believing that the normal notice given ofBoard proceedings is
sufficient. The Illinois
EPA’s offer to assist in assuring that parties holding or applying
for
permits in potentially
affected waters will receive notice (Frevert Testimony,
Transcript of
ProceedingsAugust 24,
2001, at 87), should serve to eliminate any
doubts that the Board had
‘°Which,ofcourse, is
also IERG’s situation as to our final proposals. IERG and the
Environmental Groups have attempted to share ideas
but we have had to fashion our
final
comments simultaneously.
15

about its initial decision not to require that extraordinary notice be required ofpetitioners for
ORW designations.
C.
ProposedIERG Changes to
First Notice Proposal 102.820
Thechangesproposed byIERG inAugust to the First
Notice Proposal Section 102.820
should not be adopted, except that IERG’s proposed change to
102.820(e)(4)
adding “of an ORW
designation” adds clarity and should be adopted.
However, the proposed addition of Section
102.820(k) on published notice should be rejected because published notice is not necessary, not
likely to be useful,
and almost certain to be a wasted effort.
Generally, the scope and burden ofthe petition must
bekept to a
reasonable level or the
opportunity to petition effectively will be frustrated and any ORW petitions that occur will be
extremely bulky.
As withother Board regulatory proposals, if it is clear from the petition that an
ORW proposal is serious and might be granted, a hearing should be held to hear evidence.
D.
Proposed IERGChange to First Notice Proposal 102.830
IERG’s proposed changes to Section 102.830
should be rejected. It is unclear what it
is
intended to accomplish byproposing to substitute theword “may” for “must” in 102.830(b). On
its face,
the proposed change would allow the Board to reject arbitrarily an
ORW designation
although the Board finds the water qualifies
for designation and the public interest favors
designation.
The IERG August 24th proposal that the language explicitly place a burden on the
“proponent ofthe designation” should
also be rejected.”
The Environmental
Groups agree that
“It
is ourunderstanding that IERG no longer intends to press for this portion of its
August
24th
proposal.
16

the record must show that the requirements of 102.83 0(b)(1) and (2) are met, but there is no point
to emphasizing that the proponent make this showing.’2
The evidence showing that the
designation should be made can be offered by anyone participating in the proceeding.
E.
Proposed IERG Changes to First Notice Proposal Section
302.105(b)
IERG’s August 24th proposal regarding the section governing the circumstances in which
new pollution may be permitted into an ORW would essentially gut the concept of an ORW.
The whole idea ofan outstanding resource water designation is to allow the state to designate
waters that (subject to
very limited exceptions) will not be subject to future degradation.
Generally, new pollution should be allowed in ORWs only if it is a necessary part
ofan activity
that will actually improve water quality.
It is our understanding that IERG intends to withdraw its August
24th
proposal in favor of
language that only allows an ORW to receive new loadings under more limited circumstances.
Although the Environmental Groups themselves are offering proposed changes to First Notice
Proposal Section 302.105(b), we believe that the difference between the positions of IERG and
the Environmental Groups regarding 302.105(b) are nowvery narrow. (See part III ofthese
commentsbelow)
‘2Indeed, it is somewhat ironic that IERGwas concerned that there be no implication in
302.105(f) that the evidence justifying allowing new pollution must come from the permit
applicant, but asked forlanguage that suggests
that the evidence supporting
an ORW designation
mustcome fromthe proponent. Actually,
it should not in practice make much difference.
A
permit applicant or proponentofanORW
designation should be allowedto refer to evidence
originating with other parties to the proceeding in making their necessary showing.
17

F.
Proposed IERG Changes to First Notice Proposal 302.105(c)
IERG in its August 24th proposal suggested language
stating explicitly that the
302.105(c) analysismust bemade on a “case-by-case” basis.
As stated above in discussing a
“case-by-case” language proposalby the Agency,we do notoppose additionofsome such “case-
by-case” language.
The Environmental
Groups do oppose IERG’s August
~
proposal toadd “to
the extent
it deems necessary” to the first sentence of 302.105(c)(2).’3
The “to the extent necessary”
language could conceivably lead to a mistaken inferencethat the Board intends to give the
Agency some sort ofnon-reviewable discretionto makea
determination as to the extent ofthe
assessment that
is necessary to make the determination under 302.105(c).
Under the First Notice
Proposal it is clear that the Agency must make this determination on a case-by-case basis and, of
course, the Agency will only require and analyze data to the extent it deems necessary.
But the
Agency’s determination
ofthe extent ofassessment necessary, like other Agency determinations,
is ultimately reviewable
by the Board.
Other language in IERG’s August
24th
proposal would have stated that the Agency should
consider “some or all of’ the fourelements listed in 302.1 05(c)(2)(B). Plainly the Agency must
assure that all four elements listed are
present before
a permit for a new or increased pollutant
loading can be permitted.
‘3We believe that this proposal is also to being withdrawn by IERG.
18

G.
Proposed IERG Changes to Section 302.105(d)
-
Exceptions to
Antidegradation
1.
Additives
The IERG August
24th
proposal to allow categorically new pollution from non-contact
cooling watercontaining IllinoisEPAapproved additives should notbe accepted. The fact that
IllinoisEPA
has approved the discharge ofcooling water containing a certain loading of
additives does not prove that loading a larger amount or concentration ofadditives would
necessarily be safe or wise.
Illinois EPA does not maintain a list ofcooling water additives that
are universally
safe to load into Illinois waters no matter what the effluent level or concentration
and it is doubtful that any suchadditives exist,’4
It is our understanding that IERG now intends only to urge the Board to accept the
exception for chlorine proposed by the Agency.
As stated above, the risks ofadding chlorine
without an antidegradation analysis have not been sufficiently explored in this proceeding for
such an exception tobeadoptednow.
2.
General Permits
As noted above (part I.D), the Environmental
Groups agree with the proposal ofthe
Agency to make a change to the first sentence ofFirst Notice Section 302.105(d)(6) regarding
nationwide or regional CWA 404 permits. It is our understanding that IERG joins in this view.
However, IERG’s proposal to change the
last sentence of 302.105(d)(6) to allow new
‘4Moreover,IERG hasnever proposed exempting these same pollutants if they originate
forma source other than non-contact cooling water. The
Board should not exempt pollutants
from antidegradation review based on their source without regard to their concentration, loading
or potential environmental effect.
19

pollution without an antidegradation analysis for all activities
covered by a general NPDES or
nationwide or regional 404 permit, except foractivities affecting ORWs, should be rejected.
There are many biologically significant and sensitive waters in Illinois and, as we all know, no
ORWs have been designated in Illinois.
Illinois remaining high quality streams should not be
allowed to be degraded through general
permits.
3.
Site Stormwater
Another proposal for an exemption that we understand IERG is now withdrawing,
concerned stormwater from sites with approved stormwaterpollution prevention plans.
The
Board should not adopt this August
24th
IERG proposal.
Basically, if an activity
is
covered by an existing
stormwaterpermit, it does not need an
antidegradation analysis for the same reason that all discharges and activities covered by existing
permits
do not need an antidegradation analysis. It is already permitted.
However, if it is
proposed to conduct new or expanded activities which will require a new or expanded permit, the
activity should be subject to some level ofantidegradation analysis.
For example, the factthat a
stormwaterpollution prevention plan exists
for construction activities to disturb a certain 10
acres ofland does not mean that there should not be an antidegradation analysis to decide
whether activities should be permitted thatwould disturban additional 10 acres.
4.
Site SpecificRegulation
TheexemptionIERGproposed
August
24th
for discharges authorized by a site-specific
regulation, adjusted standard, or variance should notbe adopted by
the Board. The Agency
naturally may
use any relevantBoard findings or rulings in making its antidegradation analysis
and in some cases such use will result in a very quick antidegradation analysis.
However, it is
20

better not to establish anexemption
that will result in arguments over whether the exception is
applicable when itwould be easier to simply
do the antidegradation analysis.
5.
De Minimis
It is
our
understanding that IERG is also withdrawing the de minimis exemption proposal
it offered in
August. The August
24th
proposal,while narrower than earlierIERG proposals, still
would have
required the Agency to limit the extent ofits
antidegradation analysis based on
consideration ofonly
a few ofthe factors that
it should consider
in determining the extent of
analysis needed.’5
H.
Proposed IERGChanges to 302.105(f)
In itsAugust proposal,IERGproposed
a number ofchanges to the Board’s First Notice
Proposal Section 302.105(f).
It is ourunderstanding thatIERG
is now making some ofthe
changes it proposed for revisions to 302.105(f) in the form ofproposed changes to the Agency’s
proposed changes to Part 309.
IERG is no longer proposing some of the other changes it
proposed to the First Notice Proposal on August 24th.
Responding first briefly toIERG’s August 24tf~proposals regarding 302.105(f), the
Environmental Groups
oppose the
“To the extent the
Agency
deems necessary” language that
IERG proposed for the beginning of302.l05(f)(1) for the reasons given in discussing the “to the
extent it deems necessary” language that was contained in IERG’s August
24th
proposal to revise
‘5IERG’s August
24th
de
minimis proposal also relied on an inappropriate and largely
inapplicable methods ofanalysis, the concept of“reasonable potential”,
for determining the
assimilative capacity ofthe receiving waters.
21

Section 302.105(c)(2)
ofthe First Notice Proposal.’6
Also, again, the Environmental Groups do not object to addition ofsome explicit “case-
by-case” language such as that contained in IERG’s August
24th
302.105(f) proposal
although we
do not believe it is necessary.
Asnoted above,
the Environmental Groups support the Agency’s proposal, followed by
IERG, to delete the languagenowcontained in First Notice Proposal 302.105(f)(2)(A) through
302.105(f)(2)(C)
from the Board rules.
TheEnvironmental
Groups have reviewed a draft ofIERG’s proposed changes to the
Agency’sproposed language
for 309.103(a)(5),
309.108, 309.113 and 309.141. As explained
above, the Environmental Groups harbor doubts regarding the need for the Agency’s proposal to
reorganize the First Notice Proposal, oppose making the procedural rules inapplicable to CWA
401 certifications, and donot see a compelling
need for a number ofthe Agency’s other proposed
changes to
the language now in First Notice Proposal
302.105(f). Keeping all those issues in
mind and
assuming that the final IERG proposal regarding proposed Part
309 changes does
not
contain new language, we do not find any basis on which to choose between the Agency and
IERG proposals for Part 309.
III
Summary ofProposed Environmental Group Changes
The Environmental Groups have proposed few changes to the First Notice Proposal and
16
We believe that
the “to extent it deems necessary
language”
proposal is not contained
inIERG’s proposed changes to
309.l03(a)(5).
The First Notice Proposal,
the Agency proposal, and the old and new IERG’s proposals
all contain the “to the extent necessary forthe Agency” language that appears later in the first
sentence ofFirst Notice Proposal
302.105(f)(1) IEPA
Revised Proposal 309.1 03(a)(5)
The
Environmental Groups do not object to that later language.
22

those proposed changes do not require extensive discussion here except for those that havebeen
revised since the August 24 hearing.
Changes are proposed to the following sections ofthe First
Notice Proposal:
Title to SubpartH
-
Correct typo
byadding “R”.
FirstNotice Proposal. Section 102.830(b)(1)
-
replace “uniquely highbiological or recreational
quality” with “exceptional recreational or ecological significance”
First Notice Proposal, Section 302.105(b)
-
As mentioned above and in the August 24 testimony
ofRobert Moore, changes are necessary to this provision which specifies the circumstances in
which new pollution may be allowed in waters designated as ORWs. As currently drafted, First
Notice Proposal Section 302.105(b) might be read to allow degradation that we believe it was not
intended to allow and also to preventcertain loadings that were probably intended to be allowed.
In general, new permits should not be granted that would allow any new loading to
outstanding resource waters.
The only exceptions are:
-
newpermits for a new or increased loading that
is necessary to facilitate an
improvement to water quality’7
-
newpermits for a new or increase loading that results
in
~
a temporary lowering of
water quality
-
a new permit for an existing stormwater discharge for which a permit is needed, not
because there is
a new loading, but because ofthe recently expandedcoverage of
‘7The classicexample ofthis is aNPDES permitto allow
unavoidable permitted
discharges from a sewerage treatment plant needed to replace a defective
septic system.
23

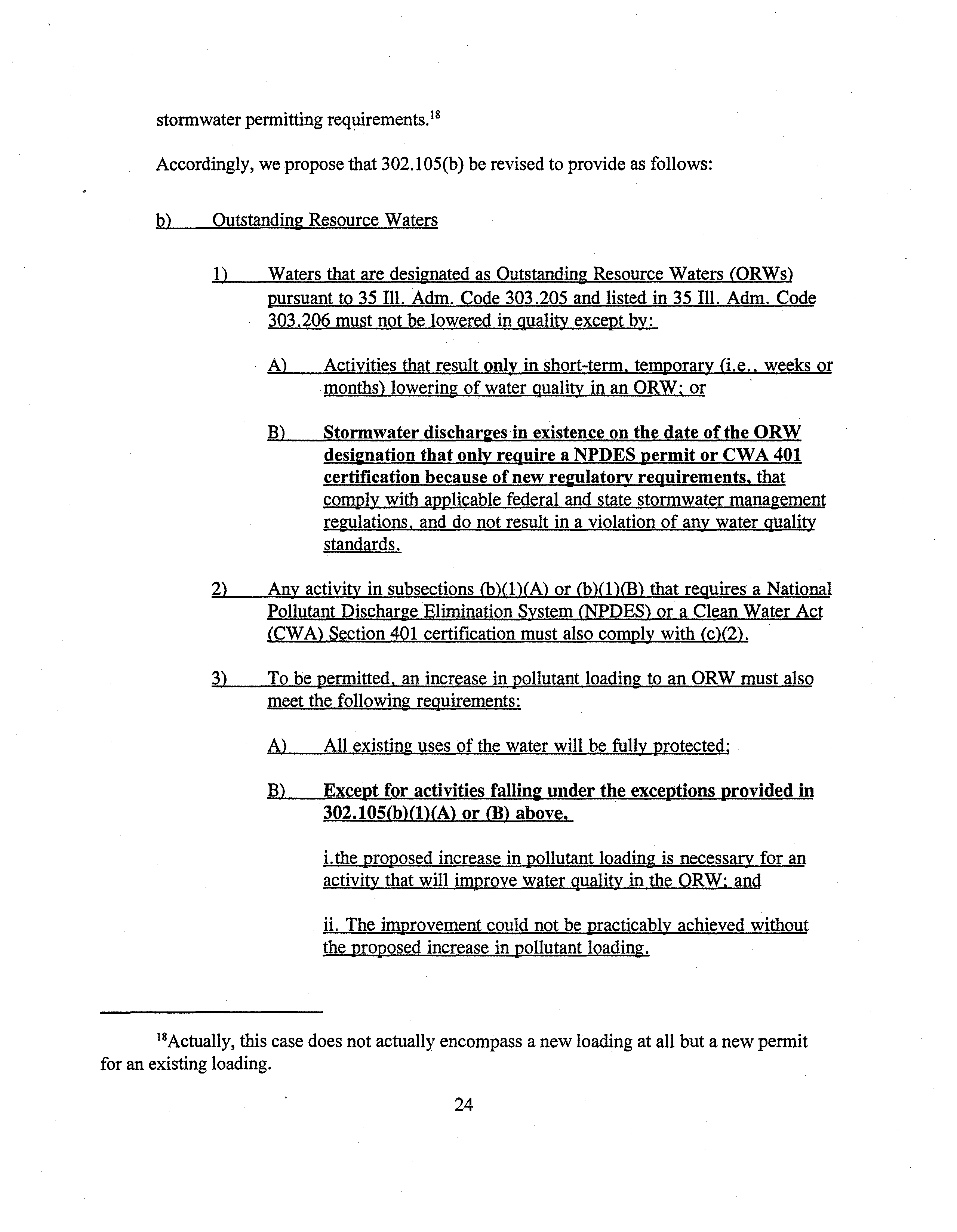
stormwater permitting requirements.’8
Accordingly, we propose that 302.105(b) be revised to provide as follows:
b)
Outstanding Resource Waters
1)
Waters that are designated as Outstanding Resource Waters
(ORWs)
pursuant to
35 Ill.
Adm.
Code
303.205
and listed in
35
Iii. Adm.
Code
303.206 must not be lowered in
quality except by:
A)
Activities that result only in short-term, temporary (i.e..
weeks or
months) lowering of water quality in an ORW: or
B)
Stormwater discharges in existence
on the date ofthe ORW
designation that only require a NPDES permit or CWA 401
certification because of new regulatory requirements,
that
comply with
applicable federal and state stormwater management
regulations.
and do
not result in a violation of any water quality
standards.
2)
Any activity
in subsections (b)(1)(A) or (b)(1)(B)
that requires a National
Pollutant Discharge Elimination System (NPDES) or a Clean Water Act
(CWA) Section 401
certification must also comply with (c)(2).
3)
To be permitted.
an increase in pollutant
loading to
an ORW must also
meet the following requirements:
A)
All existing uses
Of
the water will be fully protected:
B)
Except for activities falling under
the
exceptions provided in
302.105(b)(fl(A) or (B)
above.
i.the proposed increase in pollutant loading
is necessary for an
activity that will
improve water quality in the ORW: and
ii.
The
improvement could not be practicably achieved
without
the proposed increase
in pollutant loading.
‘8Actually, this case does not actually encompass anew loading at all but a new permit
for an existing loading.
24

4)
Any proposed increase in pollutant loading requiring an NPDES permit
or a CWA 401 certification for an ORW must be
assessed pursuant to
subsection
(1’) to determine compliance with this
Section.
Regarding our proposed revision to Section 302.105(b)(1)(B), the Environmental Groups
have consistently objected to the language proposed by the Agency and the Board regarding
“existing site stormwater discharges”and degradation ofORWs.
The purpose ofdesignating an
ORW is to ensure that water quality is maintained and protected forthe purposes of preserving
waters ofexceptional ecological or recreational significance from all new sources ofpollution,
including stormwater.
In reviewing past comments and testimony on this subject, we presumed, as IERG did at
the August 24th Board hearing “that this provision was included to allow the continued operation
offacilities that were cited prior to the time a water segment was designated
an ORW.”
(Hirner
Testimony, Transcript ofProceedings, August 24,
at
17)
The language offered above for 302.l05(b)(l)(B) more specifically identifies the types of
discharges meant to
be addressed by this exemption, namely stormwater discharges that are in
existence at the time that an ORW is designated.
This language is more clear thanthe “existing
site stormwater discharges” language.
Designation of an ORW precludes the authorization ofnew pollutant loading that would
result in a net degradation ofwater quality, except as allowed for under 301.105
(b)(1 )(A) and
(B).
However, if a stormwater discharge that had been in existence for some time required an
NPDES permit or CWA 401
certification only because ofthe new Phase II stormwater permitting
requirements or other regulatory changes (see 40 CFR 122.26), it would be reasonable to grant
the permit for that existing stormwater discharge despite an ORW designation.
25

First Notice Proposal.
Section 302.105(d)(6)
-
The Environmental Groups proposed that the
term “particular biological significance” be clarified by adding:
which include waters identified by the Illinois Department of
Natural Resources to be biologically significant. waters known to
contain state or federally listed threatened or endangered species,
or waters identified as having high levels ofbiodiversity
Portions ofthe report referenced by Robert Moore during his testimony,
Biologically
SigntfIcant Illinois Streams,
are attached as Attachment THREE. The entire report is being
submitted to the Board.
It would not be burdensome for the Board to require Illinois EPA to review IDNR
documents in determining the waters ofparticular biological significance. Illinois EPA is already
using
Biologically Sign~Icant Illinois Streams
in making decisions on NPDES permits.
See
Attachment FOUR.
First Notice Proposal. Section 302.1 05(f’)Il)
-
The clause providing “with a new or increased
permit limit” should be deleted for the reasons stated above regarding the Agency proposal to
delete this language.
New Proposed. Section 302.105(f)(l)(G)
-
TheEnvironmental
Groups believe that the Board
regulations must make clear that the Illinois Department ofNatural Resources should be notified
ofproposals to allow new or increased pollution to Illinois waters.
IDNR has broad
responsibilities under its general powers (20 ILCS 801/1-15),
the Illinois Endangered Species
Act (520 ILCS
10 et.
Seq.), and other authorities to protect Illinois
aquatic life.
A new
subsection should be
added to the 302.105(f)(1)(G) that states:
The Agency shall notify the Illinois DepartmentofNatural
Resources ofthe application as soon as practicable to allow IDNR
26

an opnortunitv to nrepare comments
or recommendations prior to
issuance ofthe public notice ofthe draft permit or CWA Section
401
certification.
First Notice Proposal.
Section 302.1 05(f)(2)(B)
-
As was indicated in our filing of
August
10, 2001, there
is a problem with this subsection ofthe First Notice
proposal.
This
issue, ofcourse, would be resolved by
adopting the Agency proposal ofdeleting the language
now contained in 302.105(f)(2)(A), (B) and (C) from the final Board rule and leaving the
matters now covered by those subsections for consideration by Illinois EPA.First Notice
Proposal. Section
303.205
-
The phrase “of exceptional recreational or ecological significance”
should be substituted for “uniquely high.”
27

CONCLUSION
The Board’s First Notice Proposal needs
very little improvement.
With the few changes
necessary, the proposal should be adopted by the Board promptly so that it can begin to govern
NPDES permitting and CWA Section 401
certification decisions in Illinois.
Respectfully
ubmitted,
Albert F. Ettinger
(ARDC #3
25045)
Counselfor Environmental Law and Policy
Center, Friends ofthe Fox River,
Prairie Rivers Network,
and Sierra Club
35 E.
Wacker Dr. Suite 1300
Chicago, Illinois 60601-2110
Robert Moore, Executive Director
Prairie Rivers Network
809 South Fifth Ave.
Champaign, Illinois 61820
Jack Darin, Director
Illinois Chapter
-
Sierra Club
200 N. Michigan Ave. Suite 505
Chicago, Illinois, 60601
Cynthia
L.
Skrukrud, President
Friends ofthe Fox River
4209 W.
Solon Rd.
Richmond, Illinois 60071
October 11,2001
28

Attachment
ONE
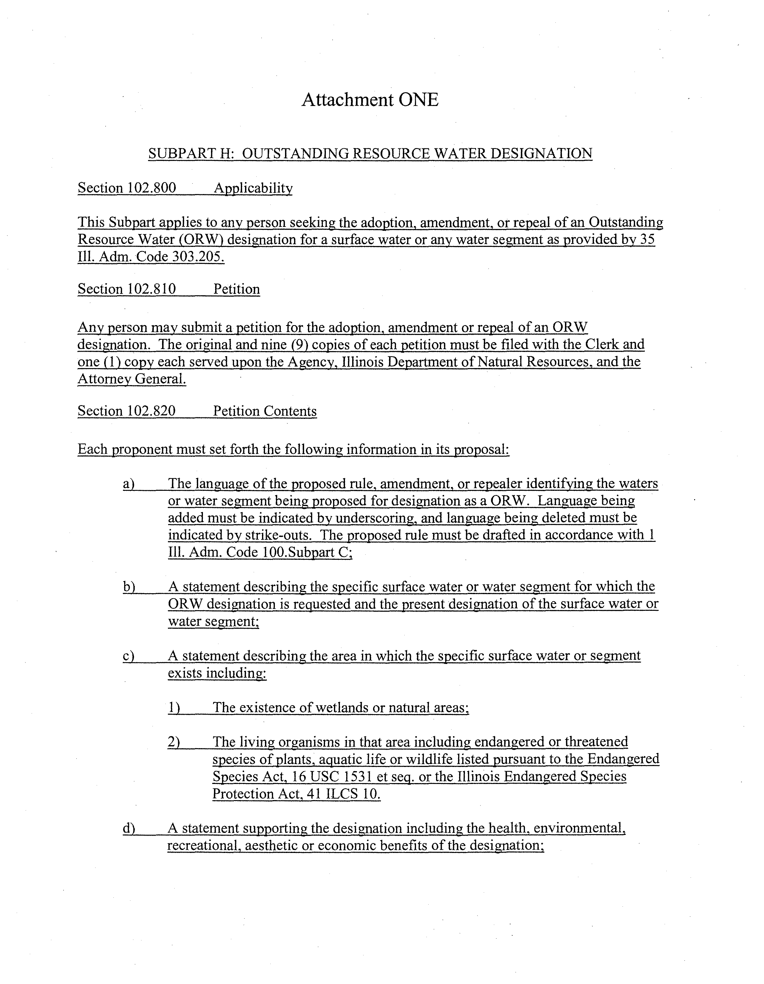
SUBPART H: OUTSTANDING RESOURCEWATER DESIGNATION
Section
102.800
Applicability
This Subpart applies to any person seeking the adoption, amendment, or repeal ofan Outstanding
Resource Water (ORW) designation for a surface water or any water segment as provided by
35
Ill.
Adni.
Code 303.205.
Section 102.810
Petition
Any person may submit a petition for the adoption, amendment or repeal ofan ORW
designation.
The original and nine (9) copies ofeach petition must be filed with the Clerk and
one (1) copy each
served
upon the Agency, Illinois Department ofNatural Resources, and the
Attorney General.
Section
102.820
Petition Contents
Each proponent must set forth the following information in its proposal:
a)
The language of the proposed rule, amendment, or repealer identifying the waters
or water segment being proposed for designation as a ORW.
Language being
added must be indicated by underscoring, and language being deleted must be
indicated by strike-outs.
The proposed rule must be drafted in accordance with
1
Ill. Adm. Code 100.Subpart C;
A statement describing the specific
surface water or water segment for which the
b)
ORW designation is requested and the present designation ofthe surface water or
water segment;
A statement describjn~
the area in which the specific
surface water or segment
exists including:
1)
The existence ofwetlands or natural areas;
2)
The living organisms in that area including endangered or threatened
species ofplants, aquatic life or wildlife listed pursuant to the Endangered
Species Act,
16 USC
1531
et seq. or the Illinois Endangered Species
Protection Act, 41
ILCS
10.
d~
A statement supporting the designation including the health, environmental,
recreational, aesthetic or economic benefits ofthe designation
c)

2
e)
A statement identifying the ORW designation’s anticipated impact on economic
and social development.
This statement should include:
1)
Impacts on the regional economy;
2)
Impacts on regional employment;
3)
Impacts on the communi1~y.
4)
A comparison of the health and environmental impacts ofan ORW
designation to the economic impact ofan ORW designation.
f)
A statement describing the existing and
anticipated uses ofthe specific surface
water or water segment forwhich the ORW designation is requested;
g)
A statement describing the existing quality ofthe specific surface water or water
segment warranting the ORW designation
h)
A synopsis ofall testirhony to be presented by the proponent at hearing;
i)
Copies ofany material to be incorporated by reference within the proposed
designation pursuant to
Section
5-75
ofthe Administrative Procedures
Act;
Proofof service upon all persons required to be served
nursmint
to Section
102.8 10 of this Part;
k)
Unless the proponent
is the Agency,
Illinois
Department of Natural Resources or
receives a waiver by the Board, a petition signed by at least 200 persons, pursuant
to Section 28 ofthe Act and Section
102.160(a);
and
fL~
Where any information required by this Section
is inapplicable orunavailable,
a
complete justification for such inapplicability or unavailability.
Section
102.830
1)
Failure ofthe proponent to satisfy the content requirements for proposals
under this
Subpart or failure to respond to
Board requests for additional
information will render a proposal subiect to dismissal for inadequacy.
2)
Failure of the proponent to
pursue disposition ofthe petition in a timely
manner will rendera petition subject to dismissal. In making this
determination, the Board may consider factors including the history ofthe
j)
Board Action
~jj
Dismissal

3
proceeding and the proponent’s compliance with any Board or hearing
officer orders.
3)
Any person may file a motion challenging the sufficiency of the petition
pursuant to 35
Ill.
Adrn. Code
101 .Subpart B.
b)
Designation ofORW.
The Board must designate a water body or water body
segment as an
ORW and list it in 35
Ill. Adm. Code 303.206
if it finds:
1)
The water body or water body segment is ofuniquely high biological
or
recreational qualit~exceptional recreational or ecological significance~
and
The benefits ofprotection ofthe water from future degradation outweinh
the benefits of economic or social opportunities that will be lost ifthe
water is designated as an ORW.
(Added at
Ill.
Reg. ___________,effective
____________
TITLE
35:
ENVIRONMENTAL PROTECTION
SUBTITLE C:
WATER POLLUTION
CHAPTER I:
POLLUTION CONTROL BOARD
PART 302
WATER QUALITY STANDARDS
SUBPART A:
GENERAL WATER QUALITY PROVISIONS
Section
302.100
Definitions
302.101
Scope and Applicability
302.102
Allowed Mixing, Mixing Zones and ZIDS
302.103
Stream Flows
302.104
Main River Temperatures
302.105
Antidegradation Nondegradation
SUBPART B:
GENERAL USE WATER QUALITY STANDARDS
Section
302 .201
Scope and Applicability
302.202
Purpose
302.203
Offensive
Conditions
302.204
pH
302.205
Phosphorus
302.206
Dissolved Oxygen
302.207
Radioactivity
302.208
Numeric Standards for Chemical Constituents
2)

4
302.209
Fecal Coliform
302.2 10
Other Toxic Substances
302.2 11
Temperature
302.2 12
Ammonia Nitrogen and Un-ionized Ammonia
302.2 13
Effluent Modified Waters (Ammonia)
SUBPART C:
PUBLIC AND FOOD PROCESSING WATER SUPPLY STANDARDS
Section
302.30 1
Scope and Applicability
302.302
Algicide Permits
302.303
Finished Water Standards
302.304
Chemical Constituents
302.305
Other Contaminants
302.306
Fecal Coliform
SUBPART D: SECONDARY CONTACTAND iNDIGENOUSAQUATICLIFE
STANDARDS
Section
302.401
Scope
and Applicability
302.402
Purpose
302.403
Unnatural Sludge
302.404
pH
302.405
Dissolved Oxygen
302.406
Fecal Coliform (Repealed)
302.407
Chemical Constituents
302.408
Temperature
302.409
Cyanide
302.410
Substances Toxic to
Aquatic Life
SUBPART B:
LAKE MICHIGAN BASIN WATER QUALITY STANDARDS
Section
302.501
Scope, Applicability, and Definitions
302.502
Dissolved Oxygen
02.503
pH
302.504
Chemical Constituents
302.505
Fecal Coliform
302.506
Temperature
302.507
Thermal Standards for Existing Sources on January
1,
1971
302.508
Thermal Standards for Sources under Construction But Not in Operation on
January
1,
1971
302.509
Other Sources
302.510
Incorporations by Reference
302.515
Offensive
Conditions

5
302.520
Regulation and Designation ofBioaccumulative Chemicals ofConcern (BCCs)
302.521
Supplemental Antidegradation Provisions for BCCs
302.525
Radioactivity
302.530
Supplemental Mixing Provisions for BCCs
302.535
Ammonia Nitrogen
302.540
Other Toxic Substances
302.545
Data Requirements
302.550
Analytical Testing
302.553
Determining the Lake Michigan Aquatic Toxicity Criteria or Values
-
General
Procedures
302.555
Determining the Tier I Lake Michigan Basin Acute Aquatic Life Toxicity
Criterion (LMAATC):
Independent ofWater Chemistry
302.560
Determining the Tier I Lake Michigan Basin Acute Aquatic Life Toxicity
Criterion (LMAATC):
Dependent on Water Chemistry
302.563
Determining the Tier II Lake Michigan Basin Acute Aquatic Life Toxicity Value
(LMAATV)
302.565
Determining the Lake Michigan Basin Chronic Aquatic Life Toxicity Criterion
(LMCATC) or the Lake Michigan Basin Chronic Aquatic Life Toxicity Value
(LMCATV)
302.570
Procedures for Deriving Bioaccumulation Factors for the Lake Michigan Basin
302.575
Procedures for Deriving Tier I Water Quality Criteria in the Lake Michigan Basin
to Protect Wildlife
302.580
Procedures for Deriving Water Quality Criteria and Values in the Lake Michigan
Basin to Protect Human Health
General
302.585
Procedures for Determining the Lake Michigan Basin Human Health Threshold
Criterion (LMHHTC) and the Lake Michigan Basin Human Health Threshold
Value (LMHHTV)
302.590
Procedures for Determining the Lake Michigan Basin Human Health
Nonthreshold Criterion (LMHHNC) or the Lake Michigan Basin Human
Health
Nonthreshold Value (LMHHNV)
302.595
Listing of Bioaccumulative Chemicals ofConcern, Derived Criteria and Values
SUBPART
F:
PROCEDURES FOR DETERMINING WATER QUALITY CRITERIA
Section
302.601
Scope and Applicability
302.603
Definitions
302.604
Mathematical Abbreviations
302.606
Data Requirements
302.6 12
Deteñnining the Acute Aquatic Toxicity Criterion for an Individual
Substance
General Procedures
302.6 15
Determining the Acute Aquatic Toxicity Criterion
-
Toxicity Independent of
Water Chemistry
302.618
Determining the Acute Aquatic Toxicity Criterion
-
Toxicity Dependent on Water
Chemistry

6
302.621
302.627
302.630
302.633
302.642
302.645
302.648
302.651
302.654
302.657
302.65 8
302.660
302.663
302.666
302.669
APPENDIX A
APPENDIX B
Determining the Acute Aquatic Toxicity Criterion
-
Procedures for Combinations
of Substances
Determining the Chronic Aquatic Toxicity Criterion for an Individual Substance
-
General Procedures
Determining the Chronic Aquatic Toxicity Criterion
-
Procedure for Combination
ofSubstances
The Wild and Domestic Animal Protection Criterion
The Human Threshold Criterion
Determining the Acceptable Daily Intake
Determining the Human Threshold Criterion
The Human Nonthreshold Criterion
Determining the Risk Associated Intake
Determining the Human Nonthreshold Criterion
Stream Flow for Application of Human Nonthreshold Criterion
Bioconcentration Factor
Determination ofBioconcentration Factor
Utilizing the Bioconcentration Factor
Listing ofDerived Criteria
References to Previous Rules
Sources of Codified Sections
AUTHORITY:
Implementing Section
13 and authorized by Sections 11(b) and 27 ofthe
Environmental Protection
Act 415
ILCS 5/13
11(b), and 27
SOURCE:
Filed with the Secretary ofState January
1,
1978; amended at 2 Ill. Reg. 44,
p.
151,
effective November 2,
1978;
amended at
3
Ill. Reg. 20,
p. 95,
effective May 17,
1979; amended
at
3
Ill. Reg. 25,
p.
190, effective June 21,
1979; codified at 6 Ill. Reg.
7818; amended at 6 Ill.
Reg.
11161, effective September 7,
1982; amended at 6 Ill. Reg.
13750, effective October 26,
1982; amended at
8
Ill. Reg.
1629, effective January 18,
1984; peremptory amendments at
10 Iii.
Reg. 461, effective December 23,
1985; amended at R87-27
at 12 Ill. Reg. 9911, effective May
27,
1988; amended at R85-29 at
12 Ill. Reg.
12082, effective July
11,
1988; amended in R88-l
at
13
Ill.
Reg. 5998,
effective April
18,
1989; amended
in R88-21(A) at
14 Ill.
Reg. 2899,
effective
February
13,
1990; amended in R88-21(B) at
14 Ill.
Reg.
11974,
effective July 9,
1990; amended
in R94-1(A) at 20 Ill. Reg.
7682, effective May 24,
1996; amended in
R94-1(B) at 21111. Reg.
370, effective December 23,
1996; expedited correction at 21111. Reg.
6273, effective December
23,
1996; amended in R97-25 at 21111.
Reg.
1356, effective December 24,
1997;
amended in
ROl-13
at
__________
Ill. Reg.
__________,
effective
__________
Section 302.105
Antidearadation
• The purpose ofthis
Section
is to protect existing uses ofall waters ofthe
State ofIllinois,
maintain the quality ofwaters with quality that is better than water quality standards, and prevent
unnecessary deterioration ofwaters ofthe
State.
a)
Existin2 Uses

7
Uses actually attained in the water body or water body segment on or afterNovember 28,
1975, whether or not they are included in the water quality standards, must be maintained
and protected.
Examples of degradation of existing uses ofthe waters ofthe State
include:
1)
an action that would result in the deterioration ofthe existing aquatic
community, such as a shift from a community ofpredominantly pollutant-
sensitive
species to pollutant-tolerant species or a loss ofspecies diversity;
2)
an action that would result in a loss of a resident or indigenous species
whose presence
is necessary to sustain commercial or recreational
activities; or
3)
an action that would nreclude continued use ofa water body or water body
segment for a public water supply or for recreational or commercial
fishing,
swimming, paddling or boating.
b)
Outstanding Resource Waters
1)
Waters that are designated as Outstanding Resource Waters (ORWIS)
pursuant to 35
Ill. Adm.
Code
303.205 and
listed in 35
Ill. Adm.
Code
303 .206 must not be lowered in quality except as provided below by:
A)
Activities that result only
in short-term, temporary (i.e., weeks or
months) lowering ofwater quality in an ORW; or
B)
Existing site Stormwater discharges in existence on the date ofthe
ORW designation that only require a NPDES permit or CWA
certification because ofnew regulatory requirements that comply
with applicable federal and state stormwater management
regulations, and that do not result in a violation ofany water
quality standards.
2)
Any activity in subsections
(b)( I)(A) or (b)(1 )(B) that requires a National
Pollutant Discharge Elimination System (NPDES) or a Clean Water Act
(CWA) Section
401
certification must also comply with (c)(2).
3)
Any activity
listed in
subsection (b)(1) or proposed increase in pollutant
loading must also meet the following requirements:
A)
All existing uses ofthe water will be fully protected;
B)
Except for activities falling under the exceptions
provided in
302.105(b)(1)(A) or (B) above,

8
(i)
The proposed increase in pollutant loading
is necessary for an
activity that will improve water quality in the ORW: and
(ii)
The improvement could not be practicably achieved without the
proposed increase in pollutant
loading.
4)
Any proposed increase in pollutant loading requiring an NPDES permit or
a CWA 401
certification for an ORW must be assessed pursuant to
subsection (f) to determine compliance with this Section.
High Quality Waters
1)
Except as otherwise provided in
subsection (d) ofthis Section, waters of
the State whose existing quality is better than any of the established
standards ofthis
Part must be maintained in their present high quality,
unless the lowering of water quality is necessary to accommodate
important economic or social development.
2)
The Agency must assess any proposed increase in pollutant loading that
necessitates a new, renewed or modified NPDES permit or any activity
requiring a CWA Section 401
certification to determine compliance with
this
Section 302.105.
The assessment to determine compliance with this
Section 302.105
must be made on a case-by-case basis.
ln making this
assessment, the Agency must:
A)
Consider the fate and effect ofany parameters proposed for an
increased pollutant loading; and
B)
Assure the followina:
i)
The applicable numeric or narrative water quality standard
will not be exceeded as a result ofthe proposed activity;
ii)
All existing uses will be fully protected;
All technically and economically reasonable measures
to
iii)
avoid or minimize the extent ofthe proposed increase in
pollutant loading have been incorporated into the proposed
activity; and
The activity that results in an increased pollutant loading
will benefit the community at large.
C~
Utilize the fo1Iowin~
information sources. when available:
iv)
i)
lnformation, data or reports available to the Agency
from

9
its own sources
ii)
Information, data or reports supplied by the applicant
iii)
Agency experience with factually similar permitting
scenarios; or
iv)
Any other valid information available to the Agency.
d)
Activities Not Subject
to a Further Antidegradation Assessment
The following activities will not be subject to
a further antidegradation assessment
pursuant to
subsection (c) ofthis Section.
1)
Short-term, temporary (i.e., weeks ormonths)
lowering ofwater quality;
2)
Bypasses that are not prohibited at 40 C.F.R. 122.41(m);
3)
Response actions pursuant to the Comprehensive Environmental
Response, Compensation and Liability Act (CERCLA), as amended,
corrective actions pursuant to the Resource Conservation and Recovery
Act (RCRA), as amended or similar federal or State authority, taken to
alleviate a release into the environment ofhazardous substances,
pollutants or contaminants which may pose a dangerto public health or
welfare;
4).
Thermal discharges that have been approved through a CWA Section
316(a)
demonstration;
5)
New or increased discharges of a non-contact cooling water, without
additives,
returned to the same body ofwater from which it was taken as
defined by 35
III. Adm. Code 352.104,
provided that the discharge
complies with applicable Illinois thermal standards;
6)
Discharges permitted under a current general
NPDES
permit
as
provided
by
415
ILCS
5/39(b)
or
a
general
CWA.
Section
401
certification
a
nationwide
or regional
Section 404 of the CWA permit
are not
subject to
facility-specific antidegradation review; however, the Agency must assure
that
individual
permits
or
certification
are
required
prior
to
all
new
ppllutant
loadings
or
hydrological
modifications
that
necessitate
a
new,
renewed or modified
NPDES
permit
or CWA,
Section
401
certification
that
affect
waters
of
particular
biological
significance
which
include
waters
identified
by
the
Illinois
Department of Natural
Resources
to
be
biologically significant,
waters
knowii
to
contain
state or federally
listed
threatened
to
endangered
species,
or
waters
identified
as
having
high

10
levels ofbiodiversity; or
7)
Changes to or inclusion ofa new permit
limitation that does not result
in
an
actual
increase of a
pollutant loading,
such as
those
stemming
from
improved monitoring data, new analytical testing methods, new or revised
technology or water quality based effluent limits.
e)
Lake Michigan Basin
Waters
in the Lake Michigan basin as identified in 35
Ill. Adm.
Code 303.443 are also
subject to the requirements applicable to bioaccumulative chemicals of concern found at
Section
302.52 1 ofthis
Part.
f)
Antidegradation Assessments
In conducting an antidegradation assessment pursuant to this Section, the Agency must
comply with the following procedures.
1J
A permit application for any proposed increase in
pollutant loading that
necessitates a new, renewed, or modified NPDES permit, with a
new
or
increased permit limit, or a CWA Section
401
certification, must include,
to the extent necessary for the Agency to determine that the permit
application meets the requirements ofSection 302.105, the followipg
information:
A)
Identification and characterization ofthe waters affected by the
proposed load increase or proposed activity and their existing uses.
Characterization must address physical, biological and chemical
conditions ofthe waters
B)
Identification and quantification of the proposed load increases for
the applicable parameters and ofthe potential impacts of the
proposed activity on the affected waters;
The purpose and anticinated benefits ofthe oronosed activity.
Such
benefits may include:
i)
Providing a centralized wastewater collection and treatment
system for a previously unsewered community;
ii)
Expansion to provide service for anticipated residential or
industrial growth consistent with a community’s long range
urban planning;
iii)
Addition ofa new product line or production increase
or
modification at an industrial facility; or,
C)

11
iv)
An increase or the retention ofcurrent employment levels
at a facility.
D)
Assessments ofalternatives to pronosed increases in pollutant
loading or activities
subject to Agency certification pursuant to
Section 401 ofthe CWA that result in less ofa load increase, no
load increase
or minimal environmental degradation.
Such
alternatives may include:
i)
Additional treatment levels including no discharge
alternatives;
ii)
Discharge ofwaste to alternate locations including
publicly-owned treatment works and streams with greater
assimilative capacity; or
iii)
Manufacturing practices that incorporate pollution
prevention techniques.
E)
Any additional information the Agency may request.
F)
Any ofthe information sources identified in
subsection 302. l05(d1
G)
The Agency shall notify the Illinois Department ofNatural
resources ofthe application as soon as practicable to allow IDNR
an opportunity to prepare comments or recommendations prior to
issuance ofthe public notice ofthe draft permit or CWA section
401
certification.
2)
i
iie Agency must complete an antidegrathtion demonstration review in
~
.~
~..±
~
pros
~
~
~
The antidegradation assessment pursuant to this Section
is a part of
the NPDES
permitting process or the CWA Section 401
certification process.
However, applicants may initiate
communication with the Agency, preferably during the plauning
stage for any load increase.
Communication will help assure the
adequacy ofinformation necessary to constitute an antidcgradation
demonstration and avoid or minimize delays and requests for
~
~
~
~
~
mi.~
A
:~:~:~-~i
t~.

12
ID\
A
i)
an informal or preliminary request ofa proponent of a
project prior to filing of a permit application; or
ii)
receipt of application-mr an NPDES permit issuance,
renewal or modification, or a CWA Section
401
certification.
A
~‘.
fC\I’i\I
A \/~~\
~
,41\1
After a review
•________l•~
__~~•1~ •~1~
--——-~•
(
~.
/C~f”.\fA\/.\
~
A
i)
in writing
to
written requests.
The written response will
include a statement by
the
Agency indicating whether the
demonstration, based upon the information provided or
information acquired by the Agency d~g the review
process, meets the criteria ofthis Section
D)
After its review, the Agency must produce a written analysis
addressing the requirements ofthis
Sectiän and provide a decision
yielding one ofthe following results:
i)
If the demonstration meets the requirements ofthis
Section,
then the Agency must proceed with public notice ofthe
NPDES permit or CWA Section 401
certification and
include the written analysis as a part ofthe fact sheet
accompanying the public
notice;
ii)
Ifthe demonstration does not meet the requirements ofthis
Section, then the Agency must provide a written analysis to
the applicant and must be available to
discuss the
deficiencies that led to the disapproval.
The Agency may
suggest methods to remedy the conflicts with the
requirements ofthis Section
iii)
Ifthe demonstration does not meet the requirements ofthis
Section, but some lowering ofwater quality is allowable,
then the Agency will contact the applicant with the results
ofthe review.
If the reduced loading increase is acceptable
to the applicant, upon the receipt ofan amended

13
demonstration, the Agency will proceed to public notice; or
if the reduced loading increase is not acceptable to
the
applicant, the Agency will transmit its
written review to the
applicant
in the context ofa NPDES
permit denial or a
CWA Section 401 certification denial.
3)
The Agency will conduct public notice and public participation through
the public notice procedures found in 35
Ill. Adm. Code 309.109 or CWA
Section 401
certifications.
The Agency must incorporate the following
information into a fact sheet accompanying the public notice:
A)
A description of the activity, including identification ofwater
uality parameters which will experience the increased pollutant
loading;
Identification ofthe affected water segment, any downstream
water segment also expected to experience a lowering ofwater
quality, characterization ofthe designated and current uses ofthe
affected segments and identification ofwhich
uses are most
sensitive to the proposed load increase
cial development.
B)
C)
A summary ofany review comments and recommendations
provided by Illinois Department ofNatural Resources, local or
regional planning commissions, zoningboards and any other
entities the Agency consults regarding the proposal;
D)
An overview of alternatives considered by the applicant and
identification of any provisions or alternatives imposed to lessen
the load increase associated with the proposed activity; and
E)
The name and telephone number ofa contact person at the Agency
who can provide additional information.
(Amended at
Ill. Reg.
,
effective
Section 302.105 Nondegraaauon
Except as otherwise provided in Section 302.520, waters whose existing quality is better than the
established standards at their date of their adoption will be maintained in their present high
quality.
Such waters
will not be lowered in quality unless
and until it is
affirmatively
demonstrated that such change will not interfere with or become injurious
to
any appropriate
beneficial uses made of, or presently possible
in, such waters
and that such change
is justifiable

14
TITLE 35: ENVIRONMENTAL PROTECTION
SUBTITLE C:
WATER POLLUTION
CHAPTER
I: POLLUTIONCONTROL BOARD
PART 303
WATER USE DESIGNATIONS AND SITE SPECIFIC WATER QUALITY
STANDARDS
SUBPART
A:
GENERAL PROVISIONS
Section
303.100
Scope and Applicability
303.101
Multiple Designations
303.102
Rulemaking Required
SUBPART
B:
NONSPECIFIC WATER USE DESIGNATIONS
Section
303 .200
Scope and Applicability
303.201
General Use Waters
303 .202
Public and Food Processing Water Supplies
303.203
.
UndergroundWaters
303.204
Secondary Contact and Indigenous Aquatic Life Waters
303.205
Outstanding Resource Waters
303.206
List ofOutstanding Resource Waters
SUBPART C:
SPECIFIC USE DESIGNATIONS AND SITE
SPECIFIC WATER QUALITY STANDARDS
Section
303.300
Scope and Applicability
303.301
Organization
303.311
Ohio River Temperature
303.312
Waters Receiving Fluorspar Mine Drainage
303 .321
Wabash River Temperature
303.322
Unnamed Tributary ofthe Vermilion River
303 .323
Sugar Creek and Its Unnamed Tributary
303.331
Mississippi River North Temperature
303.341
Mississippi RiverNorth Central Temperature
303.351
Mississippi River South Central Temperature
303.352
Unnamed Tributary ofWood River Creek
303.353
Schoenberger Creek; Unnamed Tributary ofCahokia Canal
303.361
Mississippi River South Temperature
303 .400
Bankline Disposal Along the Illinois Waterway/River
303.430
Unnamed Tributary to Dutch Creek
303.431
Long Point
Slough and
Its Unnamed Tributary

15
303 .441
Secondary Contact Waters
303.442
Waters Not Designated for Public Water Supply
303.443
Lake Michigan Basin
303.444
Salt Creek, Higgins
Creek, West Branch ofthe DuPage River, Des Plaines River
SUBPART D:
THERMAL DISCHARGES
Section
303.500
Scope and Applicability
303.502
Lake Sangchris Thermal Discharges
APPENDIX A
References to Previous Rules
APPENDIX
B
Sources ofCodified Sections
AUTHORITY:
Implementing Section
13
and authorized by Sections 11(b) and 27 ofthe
Environmental Protection Act 415
ILCS
5/13,
11(b), and 27.
SOURCE:
Filed with the Secretary ofState January
1,
1978; amended at 2 Ill.
Reg. •27, p. 221,
effective July
5,
1978;
amended at
3
Ill. Reg. 20,
p. 95, effective May 17,
1979; amended at
5
Ill.
Reg.
11592, effective October 19,
1981; codified at 6 Ill. Reg. 7818; amended at 6 Ill. Reg. 11161
effective September 7,
1982; amended at 7 Ill. Reg. 8111,
effective June 23, 1983;
amended in
R87-27 at 12
Ill. Reg. 9917, effective May 27,
1988; amended in R87-2 at
13 Ill. Reg.
15649,
effective September 22,
1989; amended in R87-36 at
14 Ill. Reg. 9460, effective May 31,
1990;
amended in R86-14 at 14 Ill. Reg. 20724, effective December 18, 1990;
amended in R89-14(C) at
16 Ill.
Reg.
14684, effective September 10,
1992; amended in R92-17 at 18 Ill. Reg.
2981,
effective February
14,
1994; amended in R91-23 at
18 Ill. Reg.
13457, effective
August
19,
1994;
amended
in R93-l3 at
19111.
Reg.
1310,
effective January 30,
1995; amended in R95-14 at 20
Ill.
Reg. 3534, effective February 8,
1996; amended in
R97-25 at 22 Ill.
Reg.
1403, effective
December 24,
1997; amended in R01-13 at
___________
Ill. Reg.
___________,
effective
Section 303.205
Outstanding Resource Waters
An Outstanding Resource Water (ORW) is a water body or water body segment that
is of
uniquely high biological
orrecreational quality exceptional recreational or ecological
significance and must be designated by the Board pursuant to 35
Ill.
Adm.
Code 102.Subpart H.
a)
Outstanding Resource Waters (“ORW”) shall be listed in
Section 303 .206 ofthis
Part.
In addition to all other applicable use designations and water quality
standards contained in this Subtitle, an ORW
is subject to the antidegradation
provision ofSection
302.105(b).
b)
A petition to
designate a water or water segment as an
ORW must be submitted to
the Illinois Pollution Control Board pursuant to
the procedural rules found in 35
Ill. Adm. Code
1 02.Subpart H.

16
(Added at
___________
Ill.
Reg.
___________,
effective
___________
Section 303 .206
List ofOutstanding Resource Waters
The Board has not designated any OutstandingResource Waters pursuant to
35 Ill.
Adm. Code
l02.Subpart H.
(Added at
____________
Ill. Reg.
___________,
effective
___________.)

ATTACHMENT TWO
In this Attachment TWO, the Environmental Groups set forth specific proposals
for the language that should be adopted by the Board
~f
the Board decides to accept
Illinois EPA’s proposal to move First Notice Proposal Section 302.105(f) to part 309 and
reOrganize and revise much ofthe text now in Section 302.105(f).
In setting forth our views, we have utilized the language sent to us by the Agency.
We have tried to indicate changes that we believe should be madefrom
the language of
the First Notice Proposal.
We have not attempted to track the differences between our
proposed language and the language proposed by the Agency. Differences between the
language favored by the Environmental Groups and that favored by the Agency can be
seen by comparing this Attachment TWO with AttachmentB to the Agency’s filing of
October
5,
2001.
The major difference between the Environmental Groups’
proposed language for
part 309 and that ofthe Agency is that the Environmental Groups’ proposed text keeps
language regarding CWA Section
401
certification, contained in the First Notice
Proposal, that the Agency proposes to delete. The Environmental Groups accept most,
but not all, of the minor revisions to language appearing in the First Notice Proposal that
are proposed by the Agency in its part 309 language.
For the sections on which the Agency proposes changes, our comments are as
follows:
Section 302.1 05(b)(4)
1

The Environmental
Groups oppose the revisions proposed by the Agency to this
Section ofthe First Notice Proposal.
Section 302.1 05(c)(2)
TheEnvironmental Groups support the Agency’sproposed revision to this
Section, which is
as follows:
Recommended language:
2)
The Agency must assess any proposed increase in pollutant
loading that necessitates a new, renewed
or modified
NPDES permit or any activity requiring
a CWA Section 401
certification to determine compliance with this Section
302.105.
The assessment to determine compliance with
this Section 302.105 must be made on a case-by-case
basis.
In making this assessment, the Agency must....
Section 302.105(d)(6)
TheEnvironmental Groups support theAgency’sproposed revision to this
Section ofthe FirstNotice Proposal andpropose their
own
revision to this section. The
Envirorimental Groups believe that the final languageof
this section should provide:
Discharges permitted under a current general NPDES permit as provided
by 415 ILCS 5/39(b) or a general CWA,
Section 401
oortifioation
nationwide or regional Section 404 of the
CWA permit are not subject
to facility-specific antidegradation
review; however, the Agency must
assure that individual permits or certifications are required prior to all new
pollutant loadings or hydrological modifications that necessitate a new,
renewed or modified
NPDES permit or CWA, Section 401
certification that
affect waters of particular biological
significance
which
include waters
identified by the Illinois Department of Natural Resources to be
biologically significant, waters known
to contain state or federally
listed threatened or endangered species, or waters identified as
having high levels of biodiversity; or
(Changes are noted from the First Notice Proposal with strike out and
bold)
2

Section 302.105(d)(5) -The Environmental Groups oppose the adoption in this
proceeding ofthe Agency’s proposed change to 302.105(d)(5) that would allow new
loadings of chlorine without an antidegradation analysis.
Proposed Part 309 Revisions
-
The Environmental Groups agree to or propose the following language for
Sections 309.103, 309.
108, 309.113 and 309.141 if the Board decides to adopt the
Agency’s proposal to move First Notice Proposal
Section 302.105(f) to part 309.
Section 309.103
Application
-
General
~)
A permit aDplication for any proposed
increase
in
pollutant
loading that necessitates a new, renewed, or modified
NPDES permit
or a CWA Section 401
certification must
include, to the extent necessary for the Agency to determine
that the proposed activity meets the requirements of
35
III.
Adm. Code 302.105, the following
information:
A)
Identification and characterization of the waters
affected by the proposed
load increase or proDosed
activity and their existing uses.
Characterization must
address Dhysical, biological
and chemical conditions
of the waters:
B)
Identification and quantification of the Droposed load
increases for the applicable
Darameters and of the
potential
imDacts of the proDosed activity on the
affected waters:
C)
The
purpose and anticipated benefits of the proposed
activity.
Such benefits may include:
i)
Providing a centralized wastewater collection
and treatment system for a previously
unsewered community:
3

ii)
Expansion to provide service for anticipated
residential or industrial growth consistent with a
community’s long range urban planning:
iii)
Addition of a new product line or production
increase or modification at an
industrial facility:
or
iv)
An increase or the retention of current
v)
employment levels at a facility.
D)
Assessments of alternatives to proposed increases in
pollutant loading
or activities subject to Agency
certification pursuant to Section 401
of the CWA that
result
in
less of a load increase,
no load increase or
minimal environmental degradation. Such alternatives
include:
i)
Additional treatment levels
including no
discharge alternatives:
ii)
Discharge of waste to alternate locations
including publicly-owned treatment works and
streams with greater assimilative capacity:
or
iii)
Manufacturing practices that incorporate
pollution prevention techniques.
E)
Any additional information that the Agency may
request.
Section
309.108
Tentative Determination and Draft Permit
d)
For any
proposed increase in
pollutant loading that
necessitates a new, renewed, or modified
NPDES
permit, with
a now or-incroacod pormit limit subject to review pursuant to
35
Ill. Adm. Code 302.105, the tentative determination of the
Agency with
regard to
35 III. Adm. Code 302.105.
4

1)
After
its
assessment pursuant to Section 309.141(i)
(f)(2)(A)(ii)roviow, the
Agency must produce a written
analysis
addressing the requirements of
35 Ill. Adm.
Code 302.105 thie
Section and provide a decision yielding one of the following results.
(A)
If the proposed activitydemonctration
meets the
requirements of 35 Ill. Adm. Code 302.l05thic Soction, then
the Agency must proceed with public notice of the NPDES
permit or CWA Section 401 certification and include the
written
analysis as a part of the fact sheet accompanying the
public notice;
(B) fthe proposed activitydemonetration—does not meet the
requirements of
35 III. Adm. Code
302.l05thie Section, then
the Agency must provide a written analysis to the applicant
and must be available to discuss the deficiencies that
led to
the disapproval.
The Agency may suggest methods to
remedy the conflicts with the requirements of 35 III. Adm.
Code 302.1
O5thic Section.
(C) If the prgposed activitydomonetration does not meet the
requirements of
35 Ill. Adm. Code
302.l05thic Section, but
some
lowering of water quality is allowable, then the Agency
will contact the applicant with the results of the
review.
If the
reduced loading
increase is acceptable to the applicant,
upon the receipt of an amended applicationdomonetration,
the Agency will proceed to public noticej-eF
2)
If the reduced loading
increase is not acceptable to the
applicant, the Agency will transmit its written analysisroviow
to the applicant in the context of a NPDES permit denial or a
CWA Section 401
certification denial.
~4)
Upon tentative determination to issue ordeny
an NPDES
Permit:
1)
Ifthe determination is to issue the permit the Agency shall notify
the applicant in writing ofthe content ofthe tentative
determination and draft permit and ofits intent to circulate public
notice of issuance in accordance with Sections 309.108 through
309.112;
2)
Ifthe determination is to deny the permit, the Agency shall notify
the applicant in writing ofthe tentative determination and of its
intent to circulate public notice ofdenial, in accordance with
Sections 309.108 through 309.112.
In the case ofdenial, notice to
the applicant shall include a statement ofthe reasons for denial, as
required by Section 39(a) ofthe
Act.
(Source:
Amended at
Ill. Reg.
,
effective
.2001.)
5

Section 309.113
Fact Sheets
(a)
6)
For any proposed increase in pollutant loading
that
necessitates a
new, renewed, or modified
NPDES permit.
with
a new or incroacod permit limit subject to review
pursuant to 35 III. Adm. Code 302.105, the following
information:
A)
A description of the activity, including identification of
water quality parameters for which there will be
anwhich will ex~orionce
the increased pollutant
loading:
B)
Identification of the affected water segment, any
downstream water segment also expected to
experience
a lowering of water quality,
characterization of the designated and current uses of
the affected segments and identification of which uses
are most sensitive to the proposed
load increase:
C)
A summary of any review comments and
recommendations provided by the Illinois Department
of Natural
Resources, local or regional planning
commissions, zoning boards and any other entities
the Agency consults regarding the proposal:
D)
An overview of alternatives considered by the
applicant and identification of any provisions or
alternatives imposed to lessen the load
increase
associated with the proposed activity: and
E)
The
name
and telephone number of a contact person
at the Agency who can provide additional information.
Section
309.141
Terms and Conditions of NPDES Permits
iL
If the NPDES permit is for a discharge that constitutes an
increase in pollutant loading that necessitates a new, renewed or modified
NPDES permit, the Agency must complete an antidegradation assessment
demonetration review
in
accordance with tho provicionc of thic
cubcection.to determine compliance with 35 Ill. Adm. Code 302.105.
The
assessment to determine
compliance with 35 Ill. Adm. Code 302.105
must be made on a case-by-case basis.
The Agency must consider
the:
6

1)
criteria stated
in 35
Ill. Adm. Code 302.105(c)(2); and
~
the following information:
A)
Identification and characterization of the waters
affected by the proposed load
increase or proposed
activity and their existing uses.
Characterization must
address physical, biological and chemical conditions
of the waters:
B)
Identification and quantification of the proposed
load
increases for the applicable
parameters and of the
potential
impacts of the proposed activity on the
affected waters:
C)
The
purpose and anticipated benefits of the proposed
activity.
Such benefits may include:
I)
Providing a centralized wastewater collection
and treatment system for a previously
unsewered community:
ii)
Expansion to provide service for anticipated
residential or industrial growth consistent with a
community’s long range urban planning:
iii)
Addition of a new product line or production
increase or modification at an industrial facility:
or
iv)
An increase or the retention of current
employment levels at a facility.
D)
Assessments of alternatives to proposed increases in
pollutant loading
or activities subiect to Agency
certification pursuant to Section 401
of the CWA that
result in less of a load increase, no load increase or
minimal environmental degradation. Such alternatives
include:
i)
Additional treatment
levels including no
discharge alternatives:
ii)
Discharge of waste to alternate locations
including publicly-owned treatment works and
streams with greater assimilative capacity:
or
iii)
Manufacturing
practices that incorporate
pollution prevention techniques: and
E)
Any of the information sources identified
in 35
III.
Adm. Code 302.105(c)(2)(C).
7

Attachment
THREE

BIoLoGJc~u~Y
SIGNIFICANT ILLINOIS
STREAMS
An Evaluation of the
Streams of illinois
Based on
Aquatic Biodiversity
Lawrence M. Page, Kevin S. Cummings, Christine A. Mayer,
Susan
L. Post, and Michael E.
Retzer
Center
for
Biodiversity
Technical Report
1992(1)
illinois Natural History Survey
607 East Peabody Drive
Champaign,
illinois
61820
Prepared for
illinois Department
of
Conservation
524
South Second Street
Springfield, illinois
62701-1787
Illinois
DepartmentofEnergy and NaturalResources
325 West Adams
Springfield, illinois
62704-1892
ProjectCompletion Report
Enhancement
of
Biological Stream Characterization
F-iiO-R
April
1,
1990
through September 30,
1991

EXECUTIVE
SUMMARY
Streams and
other
aquatic habitats are being destroyed at an alarming rate in fflinois, and
several governmental agencies
have
given high priority
to
activities aimed
at the
protection
of
aquatic
habitats and their biota.
One
of the
stated objectives is
to protect
100
ofthe
stream-dependent biodiversity, which means that one ormore populations
ofeach stream-
dependent species should be protected..
The objective ofour study was to identify the
state’s most biologically significant streams
so that protection efforts can be concentrated on a reasonable number of streams and the
objective of
protecting
100
of illinois’ stream-dependent biodiversity can be realized.
The identificationofthe biologicallymost
significant streams will provide a basis for
decisionsby governmental
and
other organizations as towhich streams should be
protected
for theirbiodiversity
and which will be used for transportation, industrial, or other
consumptive uses. The recognition of outstanding
streams will affect decisions made by
lawmakers and governmental agencies.
It is anticipated that the NaturePreserves
Commission, The Nature Conservancy, and other conservation organizations will purchase
easements, dedicate preserves, and otherwiseprotect the identified outstanding aquatic
ecosystems.
Efforts at stream management for sport fishes and other forms ofrecreation
will be enhanced through the identification of the least degraded streams in illinois.
An earlier and continuing study to identify biologically significant streams is theBiological
Stream Characterization (BSC).
The BSC is a stream-quality index developed by the
Illinois DepartmentofConservation and Environmental Protection Agency to categorize
streams and is based largely on fish populations, waterquality, and aquatic
macroinvertebrates.
In the BSC, stream segments are categorized from “A” (highest
quality) to
“E” (lowest).
Twenty-four stream segments currently are considered to be in the
“A” category, and 50 in the “B” category (next highest).
Because of the high
diversity of fishes they support, we consider all “A” streams to be among the most
biologically significant streams in Illinois.
In this report the list of biologically significant streams has been expanded beyond BSC
“A”
streams by considering additional data on biodiversity, specifically dataon endangered
and threatened species and on mussel diversity.
The expandedlist identifies streams that

aremost important to protect and manage for theiroutstanding biological characteristics.
Protection ofthe streams identified in this report
as biologically significant
will constitute a
major step toward the protection of 100
ofthe stream-dependent biodiversity.
illinois has over 2700 named streams that make up more than 26,000 miles ofinland water
courses.
In this report, we have divided the state into
25
regions encompassing one large
river, a river system, or several small river systems.
To identify the most biologically
significant streams, we located those supporting populations offederal or state threatened,
endangered, and “watch list” species, and those with the highest fish (BSC
“A” streams)
and mussel diversity.
Threatened and endangered species lists and watch lists are based on
statewide surveys of organisms, and the only aquatic groups for which recent statewide
surveys havebeen conducted (orare being conducted) are fishes, mussels,
crayfishes, and
vascularplants.
Our analysis was therefore restricted to these taxonomic groups.
Although data on
additional groups would refine ouranalysis, healthy streams tend to have
high diversity in many groups of organisms and protecting streams in this reportwill have
the effect ofprotecting a majority ofthe aquatic biodiversity of Illinois.
To identify streams supporting populations of threatened, endangered,
and watch list
species, we identified streams and stream segments from which one ormore threatened,
endangered, or watch list species have been observed since 1950 or, for lotic plants, since
1900.
The exact locations of known populations of these species are stored on
computerized databases at the flhinois Natural History Survey.
Streams on this list were
assumed still
to support threatened, endangered, or watch list species if the species have
been observed there since 1980.
If a threatened, endangered, orwatch list species was
recorded from the stream but has not been observed there since 1980, the stream was
resampled in
1990-91 in
an effort to determine whether the population still existed.
If a
species has been recorded since 1980, the stream in whichit is found is placed on the list of
biologically significant streams.
In addition to the consideration ofthreatened, endangered, and watch list
species,
some
stream segments were identified as biologically
significantbased on mussel diversity.
However, recent diversity data (post-1976) on mussel populations have been collected for
only eight of the 25 drainage regions:
Kankakee River, Kaskaskia River, Vermilion River,
Embarras River, Mackinaw River, Little Wabash River, Wabash River, and Sangamon
River.

One hundred and eight streams supporting populations ofendangered, threatened and
watch list species or supporting a high diversity of mussels were identified.
These streams
plus the 24 streams identified as “A” streams in the BSC classification brings to 132 the
number o1~
biologically significant streams recognized in this report.

INTRODUCTION
Streams and other aquatic habitats are being destroyed at an alarming rate in Illinois, and
several governmental agencies have given high priority to activities aimed at the protection
ofaquatic habitats and their biota.
One ofthe stated objectives is to protect 100
ofthe
stream-dependent biodiversity, which means that one or more populations of each stream-
dependent species should be protected.
Given the multiple uses of streams in Illinois,
it
is imperative that a multifaceted approach
to their protection be developed.
Habitat protection organizations and agencies, such as the
illinois Nature Preserves Commission, have the potential to protect the most biologically
significant streams in Illinois as natural areas.
Other approaches to protecting streams will
include the development of methods to reduce point and nonpointpollution and to restrict
introductions of exotic species.
The objective ofour study is to identify the state’s most biologically significant streams so
that protection efforts can be concentrated on a reasonable number of streams and the
objective of protecting 100
of illinois’ stream-dependent biodiversity can be realized.
The identification of the biologically most significant streams will provide a basis for
decisions by governmental and other organizations as to which streams
should be protected
for their biodiversity and which will be used for transportation, industrial, or other
consumptive uses.
The recognition of outstanding streams will affect decisions made by
lawmakers, governmental agencies, etc.
It is anticipated that theNature Preserves
Commission, The Nature Conservancy, and other conservation organizations will purchase
easements, dedicate preserves, and otherwise protect the identified outstanding aquatic
ecosystems.
Efforts at stream management for sport fishes and other forms ofrecreation
will be enhanced through the identification of the least degraded streams in Illinois.
An earlierand continuing study to identify biologically significant streams is the Biological
Stream Characterization (BSC) (Hite and Bertrand, 1989).
The BSC is a stream-quality
index developed by the illinois Department of Conservation and Environmental Protection
Agency to categorize streams and is based largely on fish populations, waterquality,
and
aquatic macroinvertebrates.
In the BSC, stream segments are categorized from “A”
1

(highestquality) to “F’ (lowest).
Twenty-four stream segments currently are considered to
be in the “A” category, and ~
in
the “B” category (next
highest).
Becauseof the high
diversity offishes they support, we consider all “A” streams to be among the most
biologically significant streams in Illinois.
In this report we have expanded the list ofbiologically significant streams beyond BSC “A”
streams by considering additional data on biodiversity, specifically data on endangered and
threatened species and
onmussel diversity. The expanded list
identifies streams that are
most important to protect and manage for their outstanding biological characteristics.
Protection of the streams identified in this report as biologically significant will constitute a
major step toward the protection of 100
ofthe stream-dependent biodiversity.
illinois is considered a well-watered statedue to its large and complex drainage pattern
(Page,
1991). Three rivers border Illinois, the Mississippi River on the west, the Ohio on
the south, and the Wabash on the southeast.
In addition to being almost surrounded by
water, illinois has over 2700 named streams that make up more than 26,000 miles of inland
water courses (IDOC,
1992).
In an
earlierreport that classified streams on the basis of fish
diversity, Smith (1971) divided the state into 33 drainage basins.
In this report, we have
modified his classification and divided the state into 25 regions encompassing one large
river, a river system, or several small river systems (Figure I-i, Table I-i).
METhODS
Although most ifilnois stream basins are not contained within one division, weuse
Schwegman’s (1973)
Natural
Divisions ofIllinois
to help describe and characterize each of
our 25 regions.
Other background information on therivers is from a variety of sources.
Historical information on Illinois streams was taken from C.W. Rolfe’s descriptions in
Forbes and Richardson’s
The Fishes ofIllinois
(1908).
Information on length, width, and
substrate composition came from the series
Surface Water Resourcesof
Illinois
(1968-
1973), published by the Illinois Department of Conservation.
The series began in 1968
and included data on the surface waters by county; unfortunately, only 81
counties were
completed.
The area (in square miles)
drainedby a river was found in Ogata
(1975),
Drainage
Areasfor Illinois Streams.
2

Water quality information came from three sources:
Illinois Water Quality Report
(JEPA,
1990),
Biological Stream Characterization (BSC): A Biological AssessmentofIllinois
Stream Quality
(Hite and Bertrand, 1989), and
Illinois Streams: A Classification Based on
Their Fishes and an Analysis ofFactors Responsiblefor Disappearance ofNative Species
(Smith,
1971).
The
Illinois Water Quality Report
(IEPA,
1990)
assessed93.2
of
illinois’ interior and border rivermiles for degree
of
designated aquatic life support and
attainment ofthe Clean Water Act’s fishable goals.
The degree of designated aquatic life
use support is described as Full Support, Partial Support/Minor Impairment, Partial
Support/Moderate Impairment, and Nonsupport.
The degree to which Illinois streams
support designated uses was determined using a combination of biotic and abiotic data,
intensive survey field observations, and professional judgment.
The primary focus was on
biotic data (fishery and macroinvertebrates) and on the Biological Stream Characterization
ratings when they were available.
The Biological Stream Characterization (BSC) report (Hite and Bertrand, 1989) was
conceived and developed as an aquatic resource management tool.
Its objectives were to
inventory the nature, extent, and distribution of illinois streamresources and identify
stream segments of exceptional quality that warrant special consideration forprotection.
The criteriaused to identify these streams or stream segments were based largely on the
type and condition of the fishery resource.
A five tiered classification was developed and
streams were ranked as follows: A Streams
-
Unique Aquatic Resource, B
Streams
-
Highly Valued Aquatic Resource,
C Streams
-
Moderate Aquatic Resource, D Streams
-
Limited Aquatic Resource, orE Streams
-
Restricted Aquatic Resource.
Smith (1971) rated each stream on the basis ofthe fishes known to occur there and its
potential for harboring others.
Ratings ofExcellent,
Good, Fair, and Poor were used.
An
Excellent rating indicated that the expected species were still presentin a numerical
relationship suggesting little modificationofthe stream from its original condition.
Ourobjective is to identify streams most biologically worthy of protection in Illinois and,
therefore, biodiversity itself was the basis for the recognition and classification ofstreams.
Other parameters that might be used, e.g., water quality, land use, unusual habitats,
naturalness of the ecosystem, and natural divisions, are reflected in the biodiversity.
If rare
species, ormany species, are presentit is because the water quality has remained good for
a long time, unusual habitats are present, etc.
3

Table I-i.
illinois Stream Systems
1.
Galena,
Apple,
and Plum
River
Systems
2.
Rock River System
3.
Middle
Mississippi River
Tributaries
4.
Des Plaines
River and LakeMichigan Tributaries
5.
Fox
River System
6.
Little Vermilion River, Big Bureau and
KickapooCreek Systems
7.
Kankakee
-
IroquoisRiver System
8.
Vermilion and Mazon
River
Systems
9.
Spoon
River
System
10.
La Moine River System
11.
Mackinaw
River
System
12.
Sangamon River System
13.
Lower Illinois River Tributaries and
American
Bottoms
14.
Kaskaskia
River System
15.
Big Muddy River System
16.
Cache River System
17.
Massac, Bay, Lusk,
Big
Grand Pierre
and
Big Creek Systems
18.
Saline River System
19.
LittleWabash River and Bonpas Creek Systems
20.
Embarras River and Wabash River Tributaries
21.
Vermilion
and Little
Vermilion River Systems
22.
Illinois River
23.
Mississippi River
24.
Ohio River
25.
Wabash River
4

FigureI-i. Major
river drainages in flhinois.
5

To identify the most biologically significant streams, welocated those supporting
populations offederal or state threatened, endangered, and “watch list” species, and those
with
the highest fish (BSC “A’t
streams) and mussel diversity.
Threatened and endangered
species lists and watch lists are
based
on statewide surveys of organisms, and the only
aquatic groups for which recent statewide surveys have been conducted (or are being
conducted) are
fishes, mussels, crayfishes, and
vascular
plants.
Our analysis was
therefore restricted to these taxonomic groups.
Although data on
additional groups would
refine our analysis, healthy streams
tend
to have high diversity in
many groups of
organisms and protecting streams
in
this reportwill have the effect of protecting a majority
of the aquatic biodiversity of Illinois.
To identify streams supporting populations of threatened, endangered,
and watch list
species, we identified streams and
stream
segments from which one or more threatened,
endangered, or watch list species have been observed since
1950 or, for lotic plants, since
1900.
The exact locations of
known
populations of these species are stored on
computerized databases at the Illinois Natural History Survey.
Streams on this list were
assumed still
to support threatened, endangered, or watch list species if the species have
been observed there since 1980.
If a threatened, endangered, or watch list species was
recorded from the stream but has not been observed there since 1980,
the stream was
resampled in
1990-91 in an effort to determine whetherthepopulation still existed.
Ifa
species has been recorded since
1980, the stream in which it is found is placed on the list of
biologically significant streams.
In each chapter the term “special status” is used for mussels which are either threatened or
endangered mussels or likely to be listed in the nearfuture (state watch list species).
High
quality streams based on threatened
or endangered mussels do not include those
supporting
the pondhom,
Uniomerus tetralasmus.
Currently
listed as
threatened in Illinois,
the
pondhom has been found to be more common thanpreviously believed, and itis likely to
be
removed in the next edition
of
the threatened
and endangered species list.
However,
because
U. tetralasmus
is
still
listed as
threatened, distribution maps showing the
location
of threatened and endangered species include thepondhom.
In addition to the consideration of threatened, endangered, and watch list species, some
stream segments were identified as biologically significant
based
on mussel diversity.
However, recent diversity data (post-1976) on mussel populations have been collected for
only eight of the 25 drainage regions.
The drainages investigated, the year(s), and the
6

number ofsites
sampled in each basin are as follows:
Kankakee
River
(1978, 13),
Kaskaskia River (1978-79, 19), Vermilion River (1981,
28),
Embarras River
(1986-87,
25), Mackinaw River
(1987,
25),
Little Wabash River (1988, 30), Wabash
River
(1987,
27;
1988,
26),
and Sangamon River (1987-89,
57).
To measure mussel diversity, streams were sampled on a catch per unit effort basis.
A
diversity index (Shannon’s H’), was calculated according to the method given by Lloyd et
al. (1968).
Streams segments with more than ten live species of mussels or those having
an H’ greater than
2.5
were considered to have a diverse mussel fauna and categorized as
biologically significant streams.
The data used to calculate mussel diversity can be found in
the following reports or publications:
Subway
(1981), Subway et al. (l98la, l981b),
Cummings et al. (1987, 1988a, l988b,
l988c,
1989), and Schanzle and
Cummings
(1991).
Locations for collections and historical observations ofthreatened and endangered lotic
plant species were obtainedfrom herbarium data compiled by the Natural LandInstitute in
1977 during the preparation of the original list of threatened and endangered species.
Files
compiled by the Illinois Natural Areas Inventory during 1975-1978 and maintained by the
illinois Department of Conservation NaturalHeritage Division were used, as was the
illinois Plant Information Network (ILPIN).
ILPINis a data base developed
and
maintained
by
the Illinois Natural History Survey on the ecology, biology, distribution,
taxonomy, and literature
of
3200 plant species in Illinois.
Using
records back
to
1900,
each location known forthreatened and endangered lotic plant species was
visited
during
1990 and 1991 to search for extant populations.
Although localities for some threatened and endangered plants are in riparian habitats (e.g.,
ravines, marshes) rather than in the streams, these plants are dependent on a healthy stream
ecosystem and, if the stream is further altered, the plant is unlikely to survive.
For
example, a floodplain species is unlikely to survive if a stream is channelized and no longer
floods, or becomes polluted.
Protection of streams is necessary for survival ofriparian
plants.
The distributional data on mussels are based only on~
specimens vouchered in the Mollusk
Collection of the illinois Natural History Survey (INHS), Champaign, Illinois, or the
followingcollections:
the Academy ofNatural Science ofPhiladelphia (ANSP), Chicago
Academy of Science (CHAS), Field Museum ofNatural History, Chicago (FMNH),
7

illinois State Museum (ISM), Museum ofComparative Zoology
-
Harvard University
(MCZ), Ohio State University Museum of Zoology (OSUM), University of Illinois
Museum of Natural History (UIMNH), University of Michigan Museum of Zoology
(UMMZ), and the United States National Museum (IJSNM).
The mussel nomenclature
follows a list prepared by the Committee on Scientific and Vernacular Names of Mollusks
ofthe Council of Systematic Malacologists,American Malacological Union (Turgeonet aL,
1988) except as follows:
1) subspecies are not recognized,
2) members of the
Pleurobe,na
cordatum
complex arerecognized
following Stansbery
(1983).
For each of the 25 stream systems the organization and order ofthe maps and tables are as
follows.
Not all are present in each chapter.
1.
General map of the system with major streams labeled for identification.
2.
Map offish collection sites represented in the Illinois Natural History Survey
Fish Collection.
3.
Table offishes recordedin the system based on specimens in the Illinois Natural
History Survey Fish Collection.
4.
Map ofmussel collection
sites represented in the Illinois Natural History Survey
Mollusk Collection and other museum collections.
5.
Table ofmussels recorded in the system based on specimens in the Illinois
Natural History Survey Mollusk Collection and other museum collections.
6.
Map of crustacean collection sites represented in the Illinois Natural History
Survey Crustacean Collection.
7.
Table offreshwater crustaceans recorded in the system based on specimens in
the Illinois Natural History Survey Crustacean Collection.
8.
Map ofhistoric (open symbols
=
pre-1980) and extant (solid symbols
=
1980 to
present) populations ofendangered lotic plants (circles) if present.
9.
Map of historic (open symbols
=
pre-1980) and extant (solid symbols
=
1980 to
present) populations ofthreatened or endangered fishes (squares), mussels
(circles), and crustaceans (triangles).
10.
Topographic map(s) highlightingthe Biologically SignificantStream segments
based on threatened or endangered species or high mussel diversity as
identifiedin the text.
11.
Map ofBiological Stream Characterization (BSC) (Hite and Bertrand, 1989)
“A” and “B” streams.
8

4.
Des Plaines River
and
Lake
Michigan Tributaries
INTRODUCIION
The long narrow basin ofthe Des Plaines River lies west ofLake Michiganin
the northeast
cornerof Illinois.
The lower
portion
ofthe valley southwest of Chicago was once
occupied by a greatriver, the outlet ofearly Lake Michigan.
The basin drains
1231
square
miles and comprises
fivecounties—Lake,Cook, DuPage, Will, andGrundy. Two natural
divisions areencompassed—Grand
Prairie and Northeastern Morainal (Schwegman,
1973).
The latter
makes up
90
of the basin.
Unlike most of fflinois, the majority ofthe
soils in this basin are derived from glacial drift rather than bess.
Drainage is poorly
developed and many natural lakes are found.
The soils are derived from glacial drift, lake
bed sediments, beach deposits, and peat, range from gravel and sand to silty clay barns
and have been deposited over bedrock (Schwegman, 1973).
The Des Plaines River and its major tributary the DuPage Riverdrain the majority of the
watershed.
Spring freshets ofthe upper Des Plaines afforded the early French explorers
an
easy and continuous canoeroute from the GreatLakes to the Mississippi.
The basin
contained numerous small lakes and marshes and was highly attractive to waterfowl and
furbearing animals.
Today most ofthe watershed is part of the greater Chicago
metropolitan region and has been extensively developed for urban and industrial use.
The
basin is home to the Illinois and Michigan Canal and the Chicago Sanitary and Ship Canal.
Septic conditions, algae blooms, and poor fish populations have reduced the attractiveness
for water-oriented recreation.
Overenrichment of the water from treated and untreated
sewage is a majorproblem.
At least 100 waste treatment plants empty into the basin
(Vidal, 1969).
Des Plaines
River
The Des Plaines Riverrises near Racine in Kenosha County, Wisconsin.
Theriver enters
Illinois two miles northeast of Rosecranes in Lake County and flows south for 97 miles
before its confluence with the Kankakee River.
At their confluence the rivers form the
fflinois River in Grundy County.
Historically, the Des Plaines possessed 21 miles of
rapids, riffles, and rocky shallows.
Today little remains of what was once considered a
dangerous river (Vierling, 1977).
Stream width ranges from 60 feet in Lake County to 600
feet in Will County.
The river bottom is ofbedrock, largely covered with sand and gravel,
but bare rock is
found in portions of its swiftest descent.
The sandand gravel are often
67

unnamed stream in HighlandPark, Cook County (1923).
A recent record includes the Des
Plaines River, Lake County (1981).
All natural populations of
P. cordata
havebeen
extirpatedat the sites occurring in the Des Plaines Riverdrainage.
The last observed
population (1981) was destroyed by siltation due to construction ofa subdivision.
A
restoration project is being conducted at Pilcher Park, Will County (M. Bowles pers.
comm., August
1990; Bowles et al.,
1988; Moran, 1978).
Potwnogeton gramineus:
The only historical record for the grass-leaved pondweed in this
region is Wolf Lake, Cook County
(1975).
Potamogeron gramineus
was found in Wolf
Lake and Fourth Lake, Lake County, during a 1991
search.
Potamogeton
robbinsii:
The fern pondweed has been recorded from Wolf Lake, Cook
County in
1975 and
1987.
Potamogeton robbinsii
was not found during a search of a
segment of WolfLake in
1991.
An algal bloomcovering most of the lake impeded the
search and
P. robbinsli
may still occur in the drainage.
Potamogeton stricufolius:
The only record for the stiff pondweed in the Des Plaines
drainage is Wolf Lake, Cook County (1901).
This site was searchedin
1987/1988
(Bowles et al., 1991) and in 1991, but the population was not found.
An algal bloom
covering most ofthe lake impeded the search and
P. strictifolius
may still occur in the
drainage.
BIOLOGICALLY SIGNIFICANT STREAMS
No recent records of threatenedor endangered mussels orcrustaceans are known from the
streams in this region.
Norecent mussel surveys have been conducted in any of the
streams of this region; therefore, no assessmentofstream quality based on mussel diversity
can be made.
Although this study was directed at streams ofillinois, Powder Horn and Wolflakes in
southernCook County contain the state threatened bandedkillifish and Iowa darter.
Wolf
Lake in Cook County and Fourth Lakein Lake County contain the state endangered grass-
leaved pondweed.
BSC Class
“A” Streams
(Figure
4-6)
-
Manhattan Creek, Will County
71

5.
Fox River System
INTRODUCnON
The
1720 square mile drainage basin ofthe Fox River lies entirely within the limits of
Wisconsinan glaciation.
As the Wisconsinan Glacier began to recede northward,
tremendous quantities of meitwater, calledthe Fox River Torrent, swept southward,
accomplishing a rapid down cutting ofthe valley.
Remnants ofthis river torrent exist as
the present day Fox River (Langbein
and Ferencak, 1988).
Many glacial
lakes
are found in
the basin, formed either by interlaced moranic ridges that produce cups or kettles within
which lakes are formed, or by large chunks ofice that broke off the glacier, were buried in
the upper basin, and melted to form lakes.
All ofKendall County
and parts of Kane, McHenry, Lake, Cook, DuPage, DeKalb, Will,
LaSalle, and Grundy counties are included in the basin.
The basin comprises two natural
divisions:
the Northeastern Moranial foundin the northern halfofthe basin and the Grand
Prairiein the southernpart (Schwegman, 1973).
Soils range from moderately thick bess
on Wisconsinan till to gravel, sand, and silty clay barns (Iverson, 1987).
The landforms
range from land-locked ponds with gravel bottoms to marshes, wet prairies, peat bogs, and
dry prairies.
The basin can be divided into three zones—Northern, Central, and Southern.
The
Northern zone has numerous lakes and recreational areas, smaller populated communities,
and dairy lands.
The Central zone is comprised ofindustries, dense population areas, and
agriculture and timber lands.
The Southern zone has a lesser population and is more scenic
then the Central zone.
Sport fishing, boating, canoeing, swimming, ice fishing, and hiking
are the majorwater-based activities.
Fox River
TheFox River rises in the northern part of WaukeshaCounty, Wisconsin.
The river enters
Illinois in the northwest corner of Lake County, travels 115 miles southwardto empty into
the Illinois River in Ottawa.
TheFox River is the third largest tributary of the Illinois
River.
A large number of glacial lakes and ponds are tributaries ofthe Fox.
Over 200
islands are found in the Fox Riverbetween Ottawa and McHenry, illinois.
Between the
illinois and Wisconsin state line and Algonquin, Illinois, the main channel of the Fox is ill-
defined as itpasses through a series of lakes and marshes.
From Algonquin to Aurora the
83

Potwnogeron praelongus
Historical records of thewhite-stemmed pondweed include west
channel ofthe Fox River, McHenry County (1916), Suffivan Lake, Lake County (1932),
and Cedar Lake, Lake County (1959).
Present
locations of
P. praelongus
include Cedar
Lake (1991), Loon Lake (1991), Bang’s Lake (1991), and Deep Lake (1990), all in Lake
County.
Potamogetonpraelongus
was not found on the west channel of the Fox River nor
at Sullivan Lake in 1990-1991.
Potamogetonpuichen
The spottedpondweed was collected at Ferson Creek, Kane County
(1980).
During a search of the area in 1991 the plant was not found.
A housing
development now surrounds the site, the small lake has been drained, and Ferson Creek
has been dammed.
It is unlikely that
P. pulcher
still occurs here.
Porainogeton robbinsii:
The historical record offern pondweed is Grays Lake, Lake
County (1966).
Present locations include Lily Lake, McHenry County (1991) and Cedar
Lake, Lake County (1991).
Potamogeton robbinsii
was not found in Grays Lake.
Poramogeton srrictifolius:
Grays Lake, Lake County (1966) is the only historical record
for the stiff pondweed in the Fox River drainage.
A search of Grays Lake in
1991 did not
reveal the plant.
BIOLOGICALLY SIGNIFICANT STREAMS
Although this study wasdirected at streams ofillinois, lakes in the Fox River system are
included because of the many connections between the lakes and streams.
Through their
course, the Fox River and its tributaries wind through many ofthe lakes, and it is obvious
that populations
in the lakes have immediate access to the streams.
Fox River, Morgan Creekto confluence with the Illinois River, Kendall/LaS alle counties
(greater redhorse, riverredhorse)
(Figure
5-6)
This stretch ofthe Fox River is a medium-sized river.
The substrate is bedrock, overlain in
some areas with boulders or mixtures
of
sand and graveL
Habitatspresent include swift,
boulder/gravel riffles, smooth flowing runs, quiet sand-bottomed backwaters, and silt-
bottomed pools.
Depths range from six inches in some ofthe shallow riffles to four feetin
the main channel.
Both
Moxosronia valenciennesi,
the greater redhorse, and
Moxosroina
carinatum,
the riverredhorse, are present.
88

Unnamed tributary to Fox River at Yorkville, Kendall County
(heart-leaved plantain)
(Figure
5-6)
This intermittent tributary of theFox River is a fast moving, natural stream about fivefeet
wide with a substrate ofcobble, gravel, and sand.
Plantago cordara,
the heart-leaved
plantain, occurs on gravel bars on the banks and in the stream.
The width of the riparian
zone on the east bank is small, surrounded by mowed lawns and a housing development.
The owners mow up to the
Plantago cordata
site on the east bank.
The riparian vegetation
on the west side is typical mesic floodplain forest with the herbs,
Euparoriwn maculation
(Joe Pye weed),
Heleniwn autumnale
(sneezeweed), and
Lobelia siphiliatica
(blue lobelia).
Also,
common
on the westhank are seep springs which empty into this small intermittent
tributary, populated by
Symplocarpusfoetidus
(skunk cabbage) and
Caitha palustris
(marsh marigold).
North Branch Nippersink Creek from Wisconsin border to Nippersink Creek, McHenry County
(creek heelsplitter)
(Figure
5-7)
The North Branch ofNippersink Creek is a small natural stream with a sand,
gravel,
and
silt substrate and no vascular aquatic vegetation.
Lasmigona compressa,
the creek
heelsplitter, is present.
The riparian zone is
10-50 feetwide and consists oftrees and
grass.
Richmond waste treatment plant and a golf course are upstream.
CedarLake, Lake Villa, Lake County
(blackchin shiner, blacknose shiner, banded ldllifish, Iowadarter, watermarigold, grass-
leaved pondweed, white-stemmedpondweed, fern pondweed)
(Figure
5-8)
Cedar Lake is one ofthe larger glacial lakes in Lake County.
The depth varies from only
inches deep along the shore to 35 feet near the middle; the wateris very clear.
The only
heavy residential development is on the northwest end.
Water milfoil (weed) first appeared
in the lake five years ago and has formed large dense beds and in some areas is choking
otherplants.
CedarLake is of excellent quality and a good candidate for preservation.
Potential threats to the habitat are the spread ofwatermilfoil, increased recreational use by
motorboats, and a new housing developmentwith access to the north.
Fourendangered
plant species—Bidens
beckli,
water marigold,
Poramogeron praelongus,
white-stemmed
pondweed,
Potamogeton robbinsii,
fern pondweed,
and
Pota~nogeron
grainineus,
grass-
leaved
pondweed—and four threatened fish species—Nozropis
heterodon,
blackchin
shiner,
Notropis
heterolepis,
blacknose shiner,
Fundulus diaphanus,
banded killifish, and
Etheostoma exile,
Iowa darter—are present.
A small part of the lake is preserved within
CedarLake Bog Nature Preserve.
89

Cross Lake, Wisconsin and illinois state line, Lake
County
(pugnose shiner, blackchin shiner, blacknose shiner, banded killifish, Iowa darter)
(Figure 5-8)
Cross Lake is a border lake located in both Wisconsin and Illinois.
Maximum depth is 35
feet.
Heavy residential development surrounds the southern portion of the lake.
Notropis
anogenus,
pugnose shiner,
Norropis
heterodon,
blackchin shiner,
Natropis heterolepis,
blacknose shiner,
Fundulus diaphanus,
banded kilhifish, and
Etheostoma exile,
Iowa
darter, are present.
Deep Lake, Lake County
(pugnose shiner, blackchin shiner, banded killifish, white-stemmed pondweed)
(Figure 5-8)
Deep Lake is one of the states deepest lakes with a maximum depth of over 50 feet.
Less
than halfof the land surrounding the lake has been developed, with the eastern shore
showing the most development.
Vascular aquatic vegetation is abundant.
The endangered
white-stemmedpondweed,
Potamogetonpraelongus,
is present.
Also present are
No ropis
anogenus,
pugnose shiner,
Notropis heterodon,
blackchin shiner, and
Fundulus
diaphanus,
bandedkillifish.
East Loon Lake, Lake County
(pugnose shiner, blackchin shiner, blacknose shiner, bandedkillifish)
(Figure
5-8)
East Loon Lake has a maximum depth of
25
feet and receives drainage of both Deep and
Sun Lakes.
Residential development is heavy on the eastwhile WestLoon Lake borders
on the west.
Notropis anogenus,
pugnose shiner,
Notropis
heterodon,
blackchin shiner,
Notropis heterolepis,
blacknose shiner, and
Fundulus diaphanus,
banded killifish, are
present.
West Loon Lake, Lake County
(grass-leaved pondweed,
white-stemmedpondweed)
(Figure 5-8)
West Loon Lake has some residential development on the north and south.
Maximum
depth is 40 feet.
Aquatic vascular vegetationis abundantwith the endangered
Potamogeron
praelongus,
white-stemmedpondweed, and
Potamogeton grainineus,
grass-leaved
pondweed, present.
Bangs Lake, Wauconda, Lake County
(grass-leavedpondweed,
white stemmed pondweed)
(Figure
5-8)
Bangs Lake is surrounded by the town of Wauconda.
Recreational use is fairly heavy with
water-skiing, swimming, and fishing the most notable activities.
Large beds of aquatic
90

vegetation are
present, including
Potamogetonpraelongus,
white-stemmed
pondweed, and
Poramogeron grainineus,
grass-leaved
pondweed.
Sullivan Lake, Lake County
(blackchin shiner, grass-leaved pondweed)
(Figure
5-8)
Sullivan Lake, a natural pothole slough, is fairly clear with a mud bottom.
The lake is not
very deep (to ten feet).
A
small
cattail island occupies the centerof the lake.
Residential
development is light.
Aquatic vegetation is abundant and includes
Poramogeton gramineus,
grass-leaved pondweed.
Norropis heterodon,
the blackchin shiner, is also present.
Wooster Lake, Wilson, Lake County
(blackchin
shiner, blacknose shiner)
(Figure
5-8)
Wooster Lake, surrounded by heavy residential development, has a maximum depth of 30
feet.
Notropis heterodon,
the blackchin
shiner, and
Notropis heterolepis,
the blacknose
shiner, are present.
Lily Lake, Lakemoor, McHenry County
(grass-leaved pondweed, fern pondweed)
(Figure
5-8)
Lily Lake is a peat lake.
Residential development occurs only on the east and west shores.
Vascular aquatic vegetation beds are found in the west and north.
A sand beach grades into
the lake on the east side and has little vegetation.
White water lily and yellow pond lily
form large beds throughout the lake.
The average depth is two to fivefeet and small peat
islands are common in the middle.
Potainogeton robbinsii,
fern pondweed,
and
Potamogeton grainineus,
grass-leaved pondweed, are present.
Turner Lake, Chain 0’ Lakes State Park, McHenry County
(Iowa darter)
(Figure
5-8)
Turner Lake, which is within Chain 0’ Lakes State Park, is ownedby theIllinois
Department of Conservation.
Turner Lake Fen Nature Preserve, an exampleof the
wetlands associated with the glacial lakes and ponds ofnortheastern Illinois, borders the
south and west shorelines of the lake.
Etheostoma exile,
the Iowa darter, is present in
Turner Lake.
91

Round Lake, Round Lake Park, Lake County
(grass-leaved pondweed)
(Figure
5-8)
Round Lake is surrounded by residential development.
The water is very turbid and debris
litters
the lake:
There is some residential drainage into the lake.
Although few vascular
aquatic plant beds were found,
Poramogeton gramineus,
grass-leaved pondweed, is
present.
Crystal Lake, Crystal Lake, McHenry County
(grass-leaved pondweed)
(Figure 5-8)
Crystal Lake is surrounded by residential development.
Maximum depth is 30 feet.
Potaniogeton
gramineus,
grass-leaved pondweed, is present.
McCullom Lake, McHenry, McHenry County
(grass-leaved pondweed)
(Figure 5-8)
McCullom Lake was constructed in the late
1800’s by damming a slough area northeastof
McHemy,
Illinois.
The lake is surrounded by residential development.
Potamogeron
gramineus,
grass-leaved pondweed, is present.
Grays Lake, Grayslake, Lake County
(grass-leaved pondweed)
(Figure
5-8)
Residential development surrounds Grays Lake.
In the early 1960’s Grays Lake had large
quantities ofvascular aquatic vegetation, including several endangered species.
Although
the lake still contains large quantities ofaquatic vegetation, only the endangered
Poramogeton gramineus,
grass-leaved pondweed, is present.
Water milfoil, which the
residents attempt to control, chokes the lake.
BSC Class
“A”
Streams
(Figure
5-9)
-
Buck Creek, LaS alle County
92

Back to top


Attachment FOUR

J.UFV.Lf
LUUJ~
.LQ.
‘IV
ir’~j~.r’~~v~rs~
rc-~c.
UL
ILLiNOIS
ENVIRONMENTAL
PROTECTION AGENCY
1021
NQRTNGRANE~AVENUE
EAST,
P.O.
BOx
19276,
SP*NCF;ELD,
IU,tNQIS
62794-9276
THOMAS
V.
SKINNER, O~~Y~*
¶~‘
‘-
~
I
.
_~__.
.,.
c~
MEMORANDUM ~
201
Date:
3
May 2001
lLL::~”;~~
.~.
.~...
.1 L
To:
Abel Haile
From:
Scott Twait
yr
Subject:
Water Quality Based Effluent Limit and Nondegradation Evaluation for
Joliet West SIP
NPDES
No. 1L0033553
(Will County)
The subject facility has not been
able to
consistently meet their ammonia nitrogen permit
limits.
Therefore, they haveentered
into a compliance commitment agreement to achieve theselimits
As
part of that
agreement, long term compliance will be
achieved by expanding the existing sewage
treatment facility from
10.0
MGD DAF
to
140
MGD DAF.
The facility discharges
to
the
Des
Plaines Riverat a pointwhere 1955 ci’s flow exists upstream during 7Q10 low-flow conditions.
The
Des Plaines River is classified as
a secondary contact water at this location.
TheDes PlainesRiver is rated a “C” stream under the Agency’s Biological Stream Characterization
(BSC) program.
The Des Plaines River is found on the Illinois 303(d) list as published by the Agency on
April
1.
1 99S
The
causes
of impairment
given
for
the
segment
at
that
time
were
priority
organics
(Moderate), metals (High), ammonia(M), nutrients (H), and pathogens(M).
Thesources associated
with theimpairment are industrial point sources (M), municipal point sources (M), combined sewer
overflows
(Slight),
construction
(S),
land
development
(S),
urban
runofffstorm
sewers
(M),
hydrologic/habitat modification (S), channelization (S),.flow regulation/modification (S), other(H),
and in-place contaminants (H).
The Des Plaines River segment G- 12
has been
re-evaluated for the year 2000
305(b) assessment.
After consideration ofnewwater quality data and using an updated system ofdesignating causes and
sources ofimpairment, the following is the current listing for this segment.
Causes ofimpairment
are given asPCBs (Slight), metals (S).copper (S), chromium (S), mercury (S). nutrients (Moderate).
phosphorus
(S),
nitrogen
(M),
flow
alterations
(S),
and
habitat
alterations
(S).
Sources
of
impairment aregiven as industrial pointsources ~S).municipal point sources (S). urban runoff/storm
sewers
(S),
hydrornodification
(S).
channelization
(S),
flow
regulation/modification
çS)
and
contaminated sediments (S).
GE0RCE
H.
RYAN, GOvERNOR

iVIVJ,ILVVi
JQ.’IV
~,J.(~J’t’I~..jVJ.
r~4’1L
U-~
The Illinois Natural History
Surveydoes not list the Des Plaines River as a biologically significant
stream
nor does it
indicate that any threatened or endangered species of aquatic life are resident
according to the 1992 publication
Biologically Sign~flcanr
illinois Streams.
The
parameters
for
which
nondegradation issues
arise
at
this
facility are
SOD,
nutrients
and
ammonia.
The increased loading of BOL) shouldnra
impact
aquatic life in the Des Flames River.
The expanded facility
will
be
required
to meet SOD
and
TSS
effluent
standards established by the
IPCB.
These
standards
are applied consistently on a state-wide
basis and
have been proven to be
protective ofdissolved oxygen water quality standards
in receiving waters.
The
additional
loading
ofSOD to the Des Flames River isnot
expected to cause depletion
ofdissolved oxygen. or cause
any
other environmental
problem.
SOD will degrade as the effluent flows
downstream.
The expanded
plant
should
cause no discernable change to the quality ofthe Des Flames River.
No degradation
will occur from this discharge.
USEPA
is developing national nutrient criteria that will formulate the basis for
future state
water
quality standards and
nutrient management strategies.
Uponpromulgation ofnational
criteria,
state
standards and adoption of a management strategy, there may be
nutrient reduction requirements
imposed on this
source.
At the present time however, the incremental nutrient loading anticipated
to result from this project is not expected to
increase
algae
or other noxious plant
growth, diminish
the present aquatic community
or otherwise aggravate existing
stream
conditions.
Therefore
no
permit
limits for nutrients are recommended at this time.
It may be prudent to advise
the permittee
that nutrient criteria
are being
developed
and
nutrient limitations may be imposed on this source at
some
future
time.
The Joliet
West
STP currently has
monthly
limits
of 1.5
mgfL (summer)
and 4.0 mg/L (winter).
However, they have not been able to consistently meet these limits. They have had 7 excursionsof
these limits in the last two years with a
maximum
monthly average
of5.53
mg/I. (summer)and
10.0
mgfL (winter).
The
Joliet
West SIP
has entered into a
compliance commitment agreement
to
expandthe treatment plant to achieve compliance with the existing anm~onia
nitrogerrpermitlimits.
Ammonia loading to the Des Plaines River will be reduced with the expanded facility meeting the
permit limits of 1.5 mg/I.
(summer)
and
4.0
mg/L (winter).
Based on thereduced ammonia loading
and the delisting of
ammonia
as a source of impairment from the 2000 3 03(d) list,
ammonia
is not
an issue of
concern.
No degradation should occur from the ammonia content ofthe effluent.
the need for the new
facility is based art the
need to expand the existing sewage treatment plant to
achieve compliance with the ammonia nitrogen permit limits.
An social need based on protection
ofthe environment is therefore presentjustifying the decision to expand the sewage treatment plant.
This
evaluation
was
conducted
to
satisfy
the
Illinois
Pollution
Control
Board
regulation
for
Nandegradation found at 35
Iii.
Adm. Code
302.105.
Under policies
in place
at this time, waters
will
be allowed to receive new or increased
discharges with the following provisions: the water
quality
standards are
met,
there is
an
economic or social
need for the discharge, best degree
of
treatment is attained,
and, no ecological alteration ofthe receiving stream is likely to occur.
In the
case
of the proposed
Joliet
West
SIP
discharge,
all
these
conditions
are
met.
The
proposed
discharge is therefore consistent with the Board’s Nondegradation regulation.

ILLINOIS
ENVIRONMENTAL
PROTECTION
AGENCY
1021
NORTH
GRAND
AVENUE
EAST,
P.O.
Box
19276,
SPRINGFIELD,
kuMols
62794-9276
THOM~5V.
SKINNER.
DIRECTOR
~-:~
MEMORANDtfl~L..
~
Dale:
June
22,
2901
~,ufji
Fu:
Dun Netemeyer
From:
Scott Twait
(7”
~
c~c:ioN
Subject:
Water
Quality
Based
Effluent Limits
and
Nondegradation Evaluation
for
Huntley
-
West
SIP
NPDES No~1L0070~~
çMcHcnry
(‘ourity)
The subjectt~cility
proposes to expand from a
U.ö5
MGD to a
1.6 MGDDAF mechanical sewage treatment
plant.
The plant thschargcs to the
South Branch of the
Kishwaukee
River which
is
a 0.17
efs
7Q10
flow
stream
at
this location.
The
South Branch of the Kishwaukee
River
is
not
found on
the
Illinois
303(d)
list
as
published by
the
Agency
on
April
1.
1998.
The
South Branch of the Kishwaukee
River is
rated
a
“B” stream
under the
Agency’s
Biological
Stream
Characterization (RSC) program.
The Illinois Natural History Surveydoes not list the South Branch of’the Kishwaukee River asa biologically
significant stream nordoes
it
indicate that any
threatened or endangered
species of’aquatic life are resident
iccnrdin~to
the
1992
publication
fliologicallr
Sit~nifiçanr1j1i,u~,v
Srrewns.
The parameters
for
which nondegradanon
issues arise
at
this
facility
are SOD. nutrients and ammonia.
l’he
increased loading o1BOD
should
not
impactaquatic
life in the South Branchofthe Kishwuukee River.
The
new
facility will be
required
to meet
SOD
and TSS et’tluent standards established
by
the
LP(’B.
J’hese
standards are applied consistently on a state-wide
basis and have been proven
to
he protective
of
dissolved
oxygen water quality standards in receiving waters.
The additional
loading of SOD to
the
South
Branch of
the
Kishwaukce
River
is
not
expected
to
cause
depletion
of
dissolved
oxygen
or
cause
any
other
environmental problem.
BOD will degrade as the
effluent
flawsdownstream.
The
new
plant
should cause
no
discernable
change to the quality
of
the South Branch of the Kjshwaukee River.
No
degradation
will
occur
from this discharge.
USEPA
is developing national nutrient criteria that will
formulate the basis for future state water quality
standards
and nutrient management
strategies.
Upon promulgation
ofnational
criteria,
state standards and
adoption of
a
management
strategy, there may
be nutrient reduction requirements
imposed on this source.
At
the
present time
however,
the incremental
nutrient
loading anticipated
to
result from
this project
is
riot
expected
to
increase
algae
or other
noxious
plant
growth,
diminish
the
present
aquatic
community
or
otherwise
aggravate existing
stream conditions.
Therefore no
permit limits fornutrients are recommended
~n
Ii~I~
ume.
It
may
be prudent
to
adv~sc
the permittee that nutrient
criteria
are being developed and nutrient
limitations may
be
imposed
art
this
source
at some future
time.
GEORC~
N.
Rw-.i,
GOVERNOR
R.,-v,,
~“

juftfl,fLVJ~Jj
j~’+t)
~i1~+~Oi
rr~J-~ir’~j.r..
r’.ivLrc~
U;,
Ammonia
limits recommended for the plant
are
given on the attached ammonia analysis sheet.
Ammonia
Joadin~to
the
South
Branch
of
the
Kishwaukee
River
will
increase
with the
advent
of this
discharge.
However,
no degradation should occur from the ammonia content of the effluent.
Given the predicted ambient conditions of
the South Branch of the Kishwaukee River near the
outfall, as
determined using datacollected at AWQMN station PQ~
10, Kishwaukee River, monthly average limits of
1.2
mgiL
(summer) and
1.5
mg/L.
(wirtier)
are appropriate.
The
summer and
winter
limits
are
based
on
median
p1-1 and mixing.
L~aily
maximum limits ~f
5.1
rng~L
(summer)and
5.1 mg/L (winter) are recommended.
These
limits reflect
the seasonal acute water quality standards with no mixing allowance since the stream has insufficiertt stream
width for discharge induced mixing.
The
facility
has explored two
alternatives
and
decided
that
they are
not feasible.
The
first
alternative
explored is on-sue water treatment systems
(i.e..
septic tanks) and
is not
suitable due to nature and
density
of area.
The second alternative explored
is a lagoon plus land application and is not
suitabLe-sincesuitable
acreage is not available
for land application.
The needfor
the plant expansion is based on growth withinthecoii~munity
based on
the Northeastern Illinois
Planning Commission’s
(NEPC)
projection.
The
Water Quality Management Plan
was
supported by
NIPC
on December
16.
1999.
A social
reason
is therefore
presentjustifying the expanded discharge.
This
evaluation was conducted
to satis~v
the Illinois
Pollution Control Board regulation
forNondegradation
found at
35
Ill. Adrn. Code 302.105.
Underpolicies
in place at this time,
waters will be allowed to receive
new
or increased discharges with the following provisions: the water quality standards are met. there is an
economicor social need for the discharge. best
degree
of’
treatment is attained, -and. no ecological alteration
ofthe receivingstream is likely to occur.
In
the caseof the proposed Huntly
-
West SIP discharge. all these
ctmdiuons
are
met.
ilte
proposed
discharge
is
therefore
consistent
with
the
Board’s
Nondegradation
rctzuIat~n.
l’he seasonal disinfection exemption
for the
existing plant is still applicable for the expanded plant.
!‘h~c
r~ommcndations
reflect
a
water quality standards perspective
only and should not
be
construed
us
being indicative ofall factors whichhave to be taken into consideration
by
the
permit writer.
~c:
Jay Patel
Wally Matsunaga
Bob Mosher

CERTIFICATE OF SERVICE
I, Albert F. Ettinger, certify that I have filed the above Notice ofFiling together
with an
original and 9 copies ofthe
Post Hearing Comments ofthe Environmental Law & Policy Center,
Friends ofthe Fox River, Prairie Rivers Network and Sierra Club, Regarding the ProposedRule,
First Notice
printed on recycled paper, with the Illinois Pollution Control Board, James R.
Thompson Center,
100 West Randolph Street, Suite 11-500, Chicago, IL
60601, and served
all
-
the parties on the attached Service List by depositing a copy in a properly addressed, sealed
envelop with the U.S. Post Office, Chicago, Illinois, with proper postage prepaid on October 11,
2001.
Albert F. Ettin
r
Environmental
Law and Policy Center
35
East Wacker Drive,
Suite 1300
Chicago, IL
60601
October
11, 2001

Fred Andes, Esq.
Barnes and Thomburg
2600 South Chase Plaza
10 South LaSalle Street
Chicago, IL
60603
Jack Darin,
Sierra Club, Illinois Chapter
200 North Michigan Avenue
505
Chicago, IL
60601-0000
Matthew J. Dunn, Esq.
Chief, Environmental Bureau
188
West Randolph
20th Flr.
Chicago, IL
6060 1-0000
Susan Frenzetti,
Esq.
Sonnensehein Nath & Rosenthal
233
South Wacker Drive
8000
Chicago, IL
60606-0000
Christine S. Bucko, Esq.
Environmental Control Division
100
West Randolph Street
l2thFlr.
Chicago, IL
60601-0000
Ron Hill,
SERVICE LIST
RO1-13
Chicago, IL
60601-0000
James T.
Harrington, Esq.
Ross & Hardies
150 North Michigan Avenue
2500
Chicago, IL
6060 1-0000
Richard J. Kissel, Esq.
Gardner, Carton & Douglas
321
North Clark Street; Quaker Tower
3400
Chicago, IL
606
10-4795
Paul Pederson,
Nalco Chemical Company
6216 West 66th Place
Chicago, IL
6063 8-0000
Nancy Rich, Esq.
Katten Muchin & Zavis
525
West Monroe Street
1600
-
Chicago, IL
60661-3693
Metropolitan Water Reclamation District
100 East Erie
Chicago, IL
6060 1-0000
Jerome I. Maynard,
Dykema Gossett PLLC
55
East Monroe Street
3250
Chicago, IL
60603-5709
Dorthy M. Gunn, Clerk ofthe Board
Illinois Pollution Control Board
James R. Thompson Center;
100 West
Randolph
Street
11-500
~
I:\Water\antidegradation\Testimony to PCB\SERVJCE LIST ROI-13 .doc

SERVICE LIST
RO1-13
Connie
Tonsor,
Illinois Environmental Protection Agency
1021
North Ornad Avenue, East; P.O. Box
19276
Springfield,
IL
62794-9276
Charles Wesselhoft, Esq.
Ross &
Hardies
150 North Michigan Avenue
2500
Chicago, IL
60601-0000
Jay Anderson,
American Bottoms
RWTF
One American Bottoms Road
Sauget,IL
62201-0000
John M. Heyde,
Sidley & Austin
Bank
One
Plaza;
10 south Dearborn Street
Chicago, IL
60603-0000
Irwin
Polls,
Metropolitan Water Reclamation;
Environmental Moni
6001
West Pershing Road
Cicero,IL
60804-4112
Sharon Neal,
ComEd-Unicom
Law Dept.
125
South Clark Street
Chicago, IL
60603-0000
Cindy
Skrudkrud,
-
4209 West Solon Road
Richmond, IL
60071-0000
Katherine
D. Hodge,
Hodge & Dwyer
3150 Roland Avenue; Post Office Box 5776
Springfield, IL
62705-5776
Karen L. Bernoteit,
Illinois Environmental Regulatory
Group
215 East Adams Street
Springfield,
IL
62701-0000
Chris Bianco,
Chemical Industry
Council
9801
W. Higgins Road
515
Rosemont, IL
60018-0000
Jerry Paulson,
McHenry County Defenders
804 Reginact
Woodstock, IL
60098-0000
Marie Tipsord, Esq.
Pollution Control Board
100 West Randolph Street
11-500
Chicago, IL
60601-0000
I:\Water\antide~radati.n\Testimony
to PCB\SERVICE LIST RO1-13 .doc

SERVICE LIST
RO1-13
Georgia Vlahos,
Department ofthe Navy
Navel Training Center, 2601A Paul Jones
Street
-
Great Lakes, IL
60088-2845
Richard Acker,
Openlands
Project
25 East Washington Street
1650
Chicago, IL
60602-0000
Bill Compton,
Caterpillar, -Inc.
100 N.E. Adams Street
Peoria, IL 61629-3350
Daniel J. Goodwin,
Goodwin Environmental Consultants, Inc.
400 Bruns Lane
Springfield, IL
62702-0000
Jeffrey Smith,
Abbott Labs
1401 North Sheridan Department 072N,
Building P14
North Chicago, IL
60064-6239
Philip Twomey,
Admiral Environmental Services
2025 South Arlington Heights Road
103
-
Arlington Heights, IL
60005-0000
Jack Welsch,
Stateside
Associates
2300 Clarendon Boulevard
407
Arlington, VA
22201-0000
I:\Water\antidegradation\Testimony to PCB\SERVICE LIST RO1.13
.doc

Back to top