1. page 1
    2. page 2
    3. page 3
    4. page 4
    5. page 5
    6. page 6
    7. page 7
    8. page 8
    9. page 9
    10. page 10
    11. page 11
    12. page 12

 
LASALLE COUNTY STATE'S ATTORNEY
JOSEPH P. HETTEL
13th Judicial Circuit
707 East Etna Road, Room 251
Ottawa, Illinois 61350
Phone (815) 434-8340
Fax (815) 434-8357
STATE OF ILLINOIS
COUNTY OF LASALLE
ADMINISTRATIVE CITATION
COUNTY OF LASALLE
)
Complainant
)
V.
)
BILL SHAWBACK
)
Respondent
)
JURISDICTION
This Administrative Citation is issued pursuant to authority vested in the Illinois Environmental Protection Agency by 415
ILCS 5/31 .1, formerly Ill . Rev . Stat . 1991, Ch. I I 1
V2,
par. 1031 .1, and delegated to the County of LaSalle pursuant to 415
ILCS 5/4 (r), formerly III . Rev . Stat ., Ch . 111 '/2, par. 1004 (r) .
FACTS
1 . That Respondent, Bill Shawback, is the present owner and/or operator of property located in Groveland
Township, LaSalle County, Illinois .
2. That said facility is an open dump, operating without an Illinois Environmental Protection Agency Permit, and
designated with Site Code No . 0990105001 . Said facility is commonly known to the Agency as the Shawback
Property.
3 . That the Respondent has owned and/or operated said facility since May 18, 2004 .
4
. That on April 12, 2006, Christy Vargochik, Landfill Inspector, LaSalle County Department of
Environmental Services and Development, under the authority of the Illinois Environmental Protection Agency,
inspected the above described facility . A copy of the inspection reports setting forth the results of such
inspections are attached hereto and made a part hereof.
RECEIVED
MM 1 i 2Owo
STATE OF ILLINOIS
pollution Control Board
AC NO .
0

 
VIOLATIONS
5.
On the basis of direct observations of Christy Vargochik of the LaSalle County Department of Environmental
Services and Development, it has been determined that the Respondents have caused or allowed open dumping at
the above described facility in a manner which results in the following occurrences :
That on April 12, 2006, an on-site inspection of said facility disclosed the following :
x x Causing or allowing litter
-- 415 ILCS 5/21 (p) (1), (formerly Ill . Rev . Stat . 1991, ch
. 111 'h, par.
1021 (p) (1) [formerly par . 1021 (q)
(1)]) .
Causing
or allowing scavenging operations -- 415 ILCS 5/21 (p) (2), (formerly Ill . Rev
. Stat .
1991, ch. 111 %z, par . 102 (p) (2) [formerly par
. 1021 (q) (2)]).
Causing or allowing open burning -- 415 ILCS 5/21 (p) (3), (formerly III . Rev . Stat . 1991, ch. 111
Y,, par . 1021(p) (3) [formerly par
. 1021 (q) (3)]) .
Causing
or allowing the deposition of waste in standing or flowing waters -- 415 ILCS 5/21 (p)
(4), (formerly III. Rev
. Stat. 1991, ch. 111 %z, par . 1021 (p) (4) [formerly par. 1021 (q) (4)]).
Causing or allowing proliferation of disease vectors
-- 415 ILCS 5/21 (p) (5), (formerly Ill . Rev .
Stat.
1991,
ch. 111 %,, par . 1021(p) (5) [formerly par. 1021 (q) (5)]).
Causing
or allowing the generation of standing or flowing liquid discharge from the open dump
site --
415 ILCS 5/21 (p) (6), (formerly Ill . Rev . Stat. 1991, ch. 111 '/z, par . 1021(p) (6) [formerly
par. 1021 (q) (6)]) .
CIVIL PENALTY
6. Pursuant to 415 ILCS 5/42 (b) (4), formerly III. Rev . Stat. 1991,
ch
. 111 %z, par. 1042 (b) (4), Respondent herein
is subject to a civil penalty of Fifteen Hundred Dollars ($1500 .00) for each violation specified above in Paragraph
5(b) for a total of Fifteen Hundred Dollars ($1500 .00). Additionally, should Respondent elect to petition the
Illinois Pollution Control Board under the review process described herein below, and if there is a finding of
the violation alleged herein, after an adjudicatory hearing, Respondent shall be assessed the associated hearing
costs incurred by the Illinois Environmental Protection Agency and the Illinois Pollution Control Board, in
addition to the Fifteen Hundred Dollar ($1500.00)
statutory penalty for each finding of violation
.
7. If you acknowledge the violations cited herein above, the civil penalty specified above shall be due and payable
no later than thirty-five (35) days from the date of service hereof If you do not petition the Illinois Pollution
Control Board of review of this Administrative Citation within thirty-five (35) days of service hereof or if you
elect to contest this Administrative Citation, any judgment rendered against you shall specify the due date of
the statutory civil penalty and any costs assessed against you.
8. When payment is made, your check should be made payable to the LASALLE COUNTY
DEPARTMENT
OF ENVIRONMENTAL SERVICES AND DEVELOPMENT and mailed to :
LaSalle County Department of Environmental Services and Development
119 West Madison Street
Room 406
Ottawa, Illinois 61350
Also, please complete and return the enclosed Remittance Form, along with your payment, to assure proper
documentation of payment .
9 .
If any civil penalty imposed by the Illinois Pollution Control Board is not paid within the time prescribed in the
order, interest from such penalty will be assessed for the period from the date payment is due until the date
payment is received . If any civil penalty, by reason of acknowledgment, default or finding after the
adjudicatory hearing is not paid when due, the LaSalle County State's Attorney may initiate proceedings in
Circuit Court to collect said civil penalty . In addition to the previously assessed civil penalty, interest and
hearing costs of the Illinois Pollution Control Board, if any, the State's Attorney's Office will seek to recover
their costs of litigation .

 
PROCEDURE FOR CONTESTING THIS
ADMINISTRATIVE CITATION
10. You have the right to contest this Administrative Citation
. See : 415 ILCS 5/31 .1, formerly Ill
. Rev . Stat
. 1991,
Ch
. 111
'/2,
par
. 1031 .1 . If you elect to contest this Administrative Citation, you must file a Petition for Review
with the Clerk of the Illinois Pollution Control Board
. Copies of the Petition for Review should also be filed
with :
Troy D. Holland
LaSalle County Special Assistant State's Attorney
707 Etna Road
Ottawa, Illinois 61350
LaSalle County Department of Environmental Services and Development
119 West Madison Street
Room 406
Ottawa, Illinois 61350
Such Petition for Review must be filed within thirty-five (35) days of the date of service of this Administrative
Citation, or a default judgment shall be entered by the Pollution Control Board . Petition for Review may be
filed with the :
Clerk of the Illinois Pollution Control Board
James R. Thompson Center
100 West Randolph, Suite 11-500
Chicago, IL 60601
Dated : .$' 9
-
U(,.
Joseph P . Hettel
LaSalle County State's Attorney
roy D . Holland
Special Assistant State's Attorney

 
BEFORE THE
ILLINOIS POLLUTION CONTROL BOARD
NOTE
Please enter the date of your remittance, your social security number (SS) if an individual or Federal Employer
Identification Number (FEIN) if a corporation, and sign this Remittance Form. Be sure your check is enclosed, and mail,
along with Remittance Form to :
LaSalle County Department of Environmental Services and Development
119 West Madison Street, Room 406
Ottawa, IL 61350
COUNTY OF LASALLE
)
Complainant
)
V .
)
BILL SHAWBACK
)
Respondent(s)
)
RECEIVED
CLERK'S OFFICE
MAY 1 1205-
STATE OF ILLINOIS
Pollution Control Board
AC NO.
0
~~y
REMITTANCE FORM
FACILITY:
Bill Shawback
Site Code:
0990105001
P.O. Box 133
County:
LaSalle
Cornell, IL 61319
Township :
Groveland
CIVIL PENALTY :
$1500.0 for each violation
Number of Violation(s) :
one (1)
Total Remittance:
$1500.00
Date of Inspection :
April 12, 2006
DATE REMITTED :
SS/FEIN NUMBER
SIGNATURES

 
INFORMATIONAL NOTICE!!!
IT IS IMPORTANT THAT YOU READ THE ENCLOSED DOCUMENTS
NOTE : This Administrative Citation Refers to One State Agency and Two
County Entities
The One State Agency Is:
ILLINOIS POLLUTION CONTROL BOARD
JAMES R. THOMPSON CENTER
100 WEST RANDOLPH STREET, SUITE 11-500
CHICAGO, ILLINOIS 60601
The Two County Entities Are
:
LASALLE COUNTY STATE'S ATTORNEY OFFICE
ATTENTION: TROY D
. HOLLAND
707 ETNA ROAD
OTTAWA, ILLINOIS 61350
LASALLE COUNTY DEPARTMENT OF ENVIRONMENTAL SERVICES AND
DEVELOPMENT
119 WEST MADISON STREET
ROOM 406
OTTAWA, ILLINOIS 61350
If you elect to contest the enclosed ADMINISTRATIVE CITATION, you must file a PETITION FOR
REVIEW within thirty-five (35) days of the date the ADMINISTRATIVE CITATION was served upon you .
Any such PETITION FOR REVIEW must be filed with the CLERK OF THE ILLINOIS POLLUTION CONTROL
BOARD by either hand-delivering or mailing the PETITION FOR REVIEW to the CLERK OF THE ILLINOIS
POLLUTION CONTROL BOARD
at the address given above. A copy of the PETITION FOR REVIEW should be
either hand-delivered or mailed to the LASALLE COUNTY STATE'S ATTORNEY'S OFFICE, ATTENTION :
TROY D. HOLLAND at the address given above . Also, a copy of the PETITION FOR REVIEW should be either
hand-delivered or mailed to the LASALLE COUNTY DEPARTMENT OF ENVIRONMENTAL SERVICES AND
DEVELOPMENT at the address given above
.

 
STATE OF ILLINOIS
COUNTY OF LASALLE
RECEIVE p
CLERK'S
OFFICE
COUNTY OF LASALLE
)
MAY 1
1 2006
Complainant
STATE OF ILLINOIS
)
Pollution Control Board
v.
)
BILL SHAWBACK
)
AC NO. vU
4'
Respondent(s)
)
AFFIDAVIT
Affiant, Christy Vargochik, being first duly sworn, voluntarily deposes and states as follows
:
1
. Affiant is afield inspector employed by the County of LaSalle and has been so employed at all times pertinent
hereto.
2. On April 12, 2006 between 2 :25 p .m. and 2 :30 p.m.,
Affiant conducted inspections of a disposal/storage site
operated without an Agency permit, located in LaSalle County, Illinois and known as the Shawback Property by
the Illinois Environmental Protection Agency . Said site has been assigned site code number 0990105001 by the
Agency.
3. Affiant inspected the said Groveland Township / Shawback Property open dump site by an on-site inspection
which included inspection the property from the road and photographing the site
.
4
. As a result of the material actions referred to in paragraph 3 above, Affiant completed the Inspection Report
Forms attached hereto and made a part hereof, which, to the best of Affiant's knowledge and belief, is an accurate
representation of Affiant's observations and factual conclusions with respect to said Groveland Township /
Shawback Property open dump.
C isty V gochik, Salle County
Subscribed and Sworn o Before Me
this ~Yday of
, A.D
. 2006 .
le
Notary P' . he
CIIMOA
OFFlCUISEALL
WRTI
NOTARY PUSUC
. STATE OF 11JN01S
MYCOAUISSIONE**E
jlA7

 
RECE9VED
CLERK'S
OFFICE
MAY 1 1 200E
BEFORE THE
ILLINOIS POLLUTION CONTROL BOARDPollution
STATE OF
Control
ILLINOIS
Board
COUNTY OF LASALLE
)
Complainant
)
v.
)
BILL SHAWBACK
)
AC NO .
vG
4-y
Respondent(s)
)
PROOF OF SERVICE
The undersigned, after being first duly placed on oath, voluntarily deposes and states that she personally served the
attached LaSalle County Administrative Citation, Informational Notice, Remittance Form, together with correct
copies of the attached Inspector's Affidavit, the Inspection Report Form with attachments upon the following named
person(s) :
Bill Shawback
P
.O. Box 133
Cornell, IL 61319
or upon an authorized agent of such person(s) for the purpose of service of process upon such person(s), by :
(XX) personal service
( )
Certified Mail, postage pre-paid and deposited in the United States Mail, plainly addressed to such
person(s) at the above-described location .
on this, the 54 day of
M" ,
A.D
. 2006 .
Subscribed and Sworn to Before Me
this day of •Ltx, , A .D. 2006 .
L::4_
-t-
1
J-
r( I
rA I J
I
L.
Christy argochik, LaSalle County
OFFICIAL SEAL
NANCY A ANDERSON
NOTARY PUBLIC- STATE OF ILLINOIS
MY COPJMSSION EXPIRES :10f20108

 
ILLINOIS ENVIRONMENTAL PROTECTION AGENCY
Open Dump Inspection Checklist
Pev;ced flQ/7J/)(lflO
(()nen T)nmn - 1)
SECTION
DESCRIPTION
VIOL
ILLINOIS 'ENVIRQ'NMENTALHPROTECTION ACT REQUIREMENTS
1 . 9(a)
CAUSE, THREATEN OR ALLOW AIR POLLUTION IN ILLINOIS
2. 9(c)
CAUSE OR ALLOW OPEN BURNING
3. 12(a)
CAUSE, THREATEN OR ALLOW WATER POLLUTION IN ILLINOIS
4.
12(d)
CREATE A WATER POLLUTION HAZARD
5.
21(a)
CAUSE OR ALLOW OPEN DUMPING
0
6. 21(d)
CONDUCT ANY WASTE-STORAGE, WASTE-TREATMENT, OR WASTE- DISPOSAL
OPERATION
:
(1)
Without a Permit
(2)
In Violation of Any Regulations or Standards Adopted by the Board
7. 21(e)
DISPOSE, TREAT, STORE, OR ABANDON ANY WASTE, OR TRANSPORT ANY
WASTE INTO THE STATE ATITO SITES NOT MEETING REQUIREMENTS OF ACT
r4
8. 21(p)
CAUSE OR ALLOW THE OPEN DUMPING OF ANY WASTE IN A MANNER WHICH RESULTS
IN
ANY OF THE FOLLOWING OCCURRENCES AT THE DUMP SITE :
(1)
Litter
~5
(2)
Scavenging
(3)
Open Burning
(4)
Deposition of Waste in Standing or Flowing Waters
(5)
Proliferation of Disease Vectors
(6)
Standing or Flowing Liquid Discharge from the Dump Site
(7)
Deposition of General Construction or Demolition Debris ; or Clean Construction or
Demolition Debris
County : LaSalle
LPC#:
0990105001
Region: 1 - Rockford
Location/Site Name :
Groveland Twp . / Bill Shawback
Date:
April 12, 2006
Time:
From 2:25p To 2:30p
Previous Inspection Date:
Feb
. 27, 2006
Inspector(s) : Christy Vargochik
Weather :
Sunny and - 68°
No. of Photos Taken : # 2
Est. Amt. of Waste : 75
yds3 Samples Taken :
Yes # No
Interviewed
:
Complaint #: Co 04-046
Responsible Party
Mailing Address(es)
and Phone Number(s) :
Bill Shawback
P .O. Box 133
Cornell, IL 61319

 
LPC #:0990105001
Inspection Date : April 12, 2006
RPvikPd f1Q01/lflfl/1
((lnen fnmn _')l
I
~t2 61,h,
LaSalle County
0
Signature of Inspector(s)
Informational Notes
1 . [Illinois] Environmental Protection Act : 415 ILCS 5/4 .
2. Illinois Pollution Control Board : 35 III . Adm . Code, Subtitle G .
3. Statutory and regulatory references herein are provided for convenience only and should not be construed as legal
conclusions of the Agency or as limiting the Agency's statutory or regulatory powers
. Requirements of some statutes
and regulations cited are in summary format . Full text of requirements can be found in references listed in 1 . and 2 .
above .
4. The provisions of subsection (p) of Section 21 of the [Illinois) Environmental Protection Act shall be enforceable either
by administrative citation under Section 31
.1 of the Act or by complaint under Section 31 of the Act.
5. This inspection was conducted in accordance with Sections 4(c) and 4(d) of the [Illinois]
Environmental Protection Act:
415 ILCS 5/4(c) and (d) .
6.
Items marked with an "NE" were not evaluated at the time of this inspection .
9. 55(a)
NO PERSON SHALL :
(1)
Cause or Allow Open Dumping of Any Used or Waste Tire
(2)
Cause or Allow Open Burning of Any Used or Waste Tire
35 ILLINOIS bMINISTRATIVE CODE REQUIREMENTS
:SUBTITLE G
10. 812.101(a)
FAILURE TO SUBMIT AN APPLICATION FOR A PERMIT TO DEVELOP AND
OPERATE A LANDFILL
11 .
722.111
HAZARDOUS WASTE DETERMINATION
12. 808.121
SPECIAL WASTE DETERMINATION
13. 809.302(a)
ACCEPTANCE OF SPECIAL WASTE FROM A WASTE TRANSPORTER
WITHOUT A WASTE HAULING PERMIT, UNIFORM WASTE PROGRAM
REGISTRATION AND PERMIT AND/OR MANIFEST
c4
ER ,REQUIREMENTS
14.
APPARENT VIOLATION OF :( )PCB;( ) CIRCUIT COURT
CASE NUMBER:
ORDER ENTERED ON :
15. OTHER :
O

 
Shawbacknar
NARRATIVE INSPECTION REPORT DOCUMENT
Date of Review : April 12, 2006
Site
Code: 0990105001
Inspector(s) : Christy Vargochik
Time: 2:25 p .m.-2:30 p.m.
GENERAL REMARKS
A solid waste landfill inspection was performed on April 12, 2006, by Christy Vargochik representing the LaSalle
County Department of Environmental Services and Development under the delegated authority of the Illinois
Environmental
Street, Dana, IllinoisProtection
. During
Agency
the
at
inspection
the property
the following
of Bill Shawbackwas
noted
.
:
The
causing
property
or
is
allowing
located
open
at 310
dumping,
E
. Van
disposingBuren
and storing of waste at a site not meeting requirements of the Act and Regulations
; causing or allowing the open
dumping in a manner which is resulting in litter at the dump site, and
; failure to submit an application for a permit to
develop and operate a landfill .
Weather conditions noted on arrival were sunny and approximately 68 degrees
.
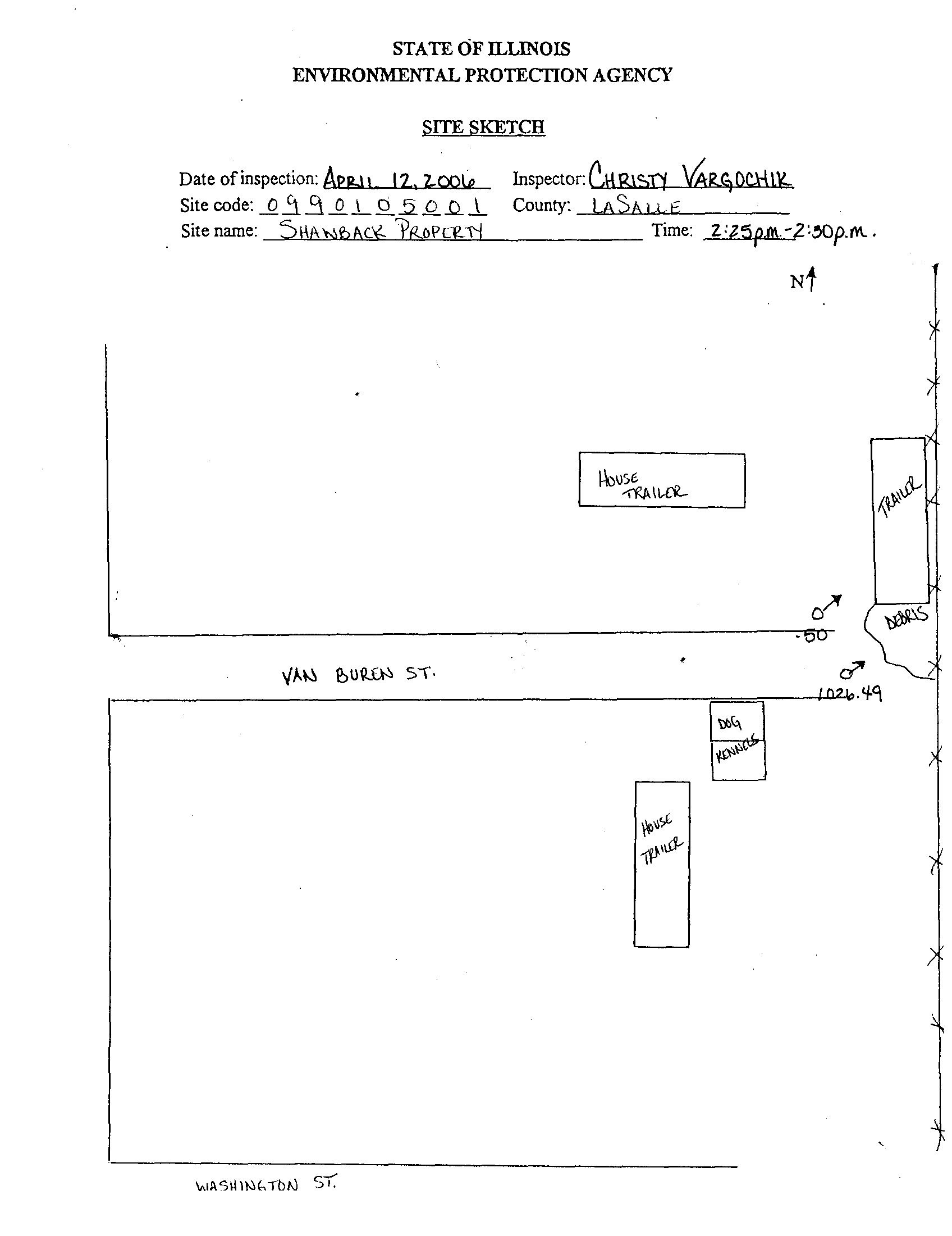
I arrived at the site at 2
:25 p .m
. I photographed the abandoned trailer, and the pile of junk to the south of the trailer
(photo 1026 .49, .50)
. At this time, I concluded the inspection, and left the site at 2
:30 p .m.
EXPLANATION OF PHOTOGRAPHS
10261026.50
.49 Shows
Shows
a
a
pile
junk
of
trailer
waste
parked
material
near
to
the
the
fence
south
line
of the
at
junk
the end
trailerof
Van
. Photo
Buren
taken
Streetfacing
. Photo
northeasttaken .
facing
northeast .

 
STATE OF
ILLINOIS
ENVIRONMENTAL PROTECTION AGENCY
SITE SKETCH
Date of inspection
:
An-1i-
It.Loolo
Inspector:
0,HR)St/VRCj QCNII,
Site code:
0-~_(~
0 1 O 5
o
Q ~
Site
name:
SNAti1P~AC' RIKbPC"
County:
IA SA i
Time
x
. F
.
: Z :
Z5pn.-2 :5Op.rt .
Nt
P
us
`u-e-
-5o
VAV1 BuQD 5T .
w2-6
o"
. q.9

 
DATE: 04 / 12 / 06
TIME: 2 :28 P.M.
PHOTOGRAPH TAKEN BY :
Christy Vargochik
COMMENTS
: Picture taken
toward:
---------------------------------------------
Northeast
---------------------------------------------
---------------------------------------------
---------------------------------------------
---------------------------------------------
---------------------------------------------
---------------------------------------------
DISK #: 1026
PHOTO # : 50
INSPECTION PHO TOS
DATE : 04 / 12 / 06
TIME: 2:27 P.M.
PHOTOGRAPH TAKEN BY :
Christy Vargochik
COMMENTS
: Picture taken
toward:
---------------------------------------------
Northeast
---------------------------------------------
---------------------------------------------
---------------------------------------------
---------------------------------------------
---------------------------------------------
---------------------------------------------
DISK#
: 1026 PHOTO#: 49
SITE#
: 0 9 9 0 1 0 5 0 0 1
CO.:
LASALLE
SITE NAME: Shawback Property

Back to top