1. page 1
    2. page 2
    3. page 3
    4. page 4
    5. page 5
    6. page 6
    7. page 7
    8. page 8
    9. page 9
    10. page 10
    11. page 11
    12. page 12
    13. page 13
    14. page 14
    15. page 15
    16. page 16
    17. page 17
    18. page 18
    19. page 19
    20. page 20
    21. page 21

 
CLERKS
OFFICE
IVED
BEFORE THE
ILLINOIS POLLUTION
CONTROL BOARD
JUN 1 6
2006
MIDWEST PETROLEUM COMPANY
)
STATE OF ILLINOIS
Petitioner,
Pollution Control Board
PCB 06-153
V.
)
(UST Appeal)
ILLINOIS ENVIRONMENTAL PROTECTION
)
AGENCY,
)
Respondent .
)
NOTICE
Dorothy Gunn
Carol Webb
Clerk
Hearing Officer
Illinois Pollution Control Board
Illinois Pollution Control Board
100 West Randolph Street, Suite 11-500
P.O
. Box 19274
Chicago, Illinois 60601-3218
Springfield, Illinois 62794-9274
Curtis W . Martin
Shaw & Martin, P .C.
P.O
. Box 1789
Mt
. Vernon, Illinois 62864
PLEASE TAKE NOTICE that I have today caused to be filed an APPEARANCE and
ADMINISTRATIVE RECORD with the Illinois Pollution Control Board, copies of which are served
upon you.
ILLINOIS ENVIRONMENTAL PROTECTION AGENCY
ames G. Richardson
pecial Assistant Attorney General
Dated
: June 14, 2006
1021 North Grand Avenue East
P.O. Box 19276
Springfield, Illinois 62794-9276
217/782-5544
THIS FILING IS SUBMITTED ON RECYCLED PAPER

 
BEFORE THE ILLINOIS POLLUTION CONTROL BOARDC
ECE I V E D
JUN 1 6 2006
MIDWEST PETROLEUM COMPANY
)
Petitioner,
Pollution
OCoontrol
Board
)
PCB 06-153
(UST Appeal)
ILLINOIS ENVIRONMENTAL PROTECTION )
AGENCY,
)
Respondent .
)
APPEARANCE
I, James G
. Richardson, hereby enter my appearance in this proceeding on behalf of the
Illinois Environmental Protection Agency.
Dated: June 14, 2006
1021 North Grand Avenue East
P.O. Box 19276
Springfield, Illinois 62794-9276
217/782-5544
AWAV
James G. Richardson
Special Assistant Attorney General
THIS FILING IS SUBMITTED ON RECYCLED PAPER

 
ILLINOIS ENVIRONMENTAL PROTECTION AGENCY
1~~*
James
ow
G
. Ric
i!wmsoni
..P0
Special Assistant Attorney General
Division of Legal Counsel
1021 North Grand Avenue East
P.O. Box 19276
Springfield, Illinois 62794-9276
217/782-5544
217/782-9143 (TDD)
CERTIFICATE OF SERVICE
I, the undersigned attorney at law, hereby certify that on June 14, 2006 I served true and correct
copies of an APPEARANCE and ADMINISTRATIVE RECORD by first class mail of the United States
Postal Service upon the persons as follows
:
THIS FILING IS SUBMITTED ON RECYCLED PAPER
Dorothy M . Gunn, Clerk
Carol Webb
Curtis W . Martin
Illinois Pollution Control Board
Hearing Officer
Shaw & Martin, P .C.
James R . Thompson Center
Illinois Pollution Control Board
P.O. Box 1789
100 West Randolph Street
1021 North Grand Avenue East
Mt. Vernon, IL 62864
Suite 11-500
P.O. Box 19274
Chicago, IL 60601
Springfield, IL 62794-9274

 
Age 1 of I
1

 
I
JO
I osu(I
z

 
3
Page 1 of 1
I,

 
.-RaT3A4'Un +Wn1 .
4
Page 1 of 1

 
February 15, 2006
Illinois Environmental Protection Agency
Bureau of Land
Division of Remediation Management
LUST Section
1021 North Grand Avenue East
Springfield, IL 62794-9276
Attn: Ms. Melinda Weller
Re
: Midwest Petroleum (former Wei Enterprises)
Shilob #982804
Amended Corrective Action Plan & Budget
Dear Ms
. Weller:
Enclosed you will find an Amended Corrective Action Plan and Budget for the above
referenced site for your review .
Both the owner and the Professional Engineer have
certified the Budget
; an EDD is enclosed as well.
If you have any questions or comments regarding this project please contact me at (618)
735-2411 extension 145 .
Sincerely yours,
UNITED SCIENCE INDUSTRIES, INC .
JY~`
a.
UNITED SCIENCE INDUSTRIES
W Nov
'VA\///",,
1
Robert Pulfrey
Sr
. Project Manager
Enclosures
RP:mlp
www.unitedscience
.com
5
/&S /aV
"L Xnr;OuTffie
8c
JL~-lighw
i
Woodlawn.ILI
----Toll fr~800 .
!
Gib
=(Pl
-b 18
.735
735
fax 618.735
RECEIVED
FEB 21 2006
TEPA IBOL
RELEASABLE
F F B 2 7 2006
REVIEWER MM

 
7heAgencyuambnbaetorequiretbisbouutbnmdaSenbnaamtflitXVIoftheFnviromemalPioiec*ioaM(415a
.GS5M 5157-57.17)
Fag" todbcbwtbisinfmmmbnwy
rtwtb •ciwipeatyofvmtoeaaedS50A0DAOfallsA.WioeendmadditiwieMIpmaYyofmttoastedSID,WDWfc,eacbdydwiogwhihthewSonmntn
(USII.CSSIt2).
AnyInWnbowbgymakeahheomtai,lmateaemorteptarntmbnbmySM,rnmlem,rtoad .report,pet S
. orOceme, aWV
dovmentgo&msmaoedormiCfordspapoae
ofmnpaaawakTitle XVIcoomlaaChoakby .AnyaoPMarwbeegomnoffa
aftacoavimbotwmoderisaL7au7kby(415x.CS 5157.17)
. t!tfa,nhastweeappoadbytbe
rc tn, M nWment to atr .
Underground Storage Tank Owner/Operator
:
Please indicate below the type of plan/report
that is being submitted to the Agency
at this :arc.
This form must be attached to all plans and reports submitted to the Agency pursuant to 35 hi
.
Adm. Code 732 and 415 ILCS 5/57-57.17
.
Please
check all that apply.
20 Day Certification
45 Day Report
Free Product Removal Report
what
Amended
Submittal
Submittal
Site Classification Work Plan
Site Classification Work Plan Budget
Site Classification Completion Report
Groundwater Monitoring Plan (Low Priority)
Groundwater Monitoring Plan Budget (Low Priority)
Groundwater Monitoring Results
(Low Priority)
Professional Engineer Certification (Low Priority)
Corrective Action Plan (High Priority)
Corrective Action Plan Budget (High Priority)
Corrective Action Completion Report
(High Priority)
Professional Engineer Certification (High Priority)
Corrective Action Completion Report
(35 IAC Section 732 .300(b), 732.400(b)
or (c)
Professional Engineer Certification
(35 IAC Section 732 .300(b), 732.400(b) or (c)
I certify under penalty of law that this document was prepared by me or under my direction or supervision
. This
information is to the best of my belief and knowledge, true, accurate and complete
. I am aware that there are
significant penalties for submitting false information, including the possibility of fine for knowing violations
.
Owner:
Midwest Petroleum (Former Wei Ent
.) Operator: Same
Title
Name
Signature
Date
:
:
:
Vice
:
Mike
President
McNutt
6
X
RECEIVED
I
FEB
EPA/
21
15
2006
301IL
Name:
Title:
Signature:
FEB
hl
Luub
Date
:
REVIEWER MM

 
T7c Agny k unhmimd to agdm this blooms . utd . SWIM 4 and We %Vl
of Ih Fuvimmtrad Ptutembn Am (415 ILLS 3N . 3137 - 37.17). Faikte to dircbm Ibis aanmtiea tin
y
Molt a t CM
pesky of rot to eaoerd $30".00lbr the vautbn and to With" civg pattky of ofto excel 410-OW-00 ft
each day doing wNth tin .WWaa coMMWms (4131LCS 5/42).
Any penonin bwwiesly makes a fWe muaid
"amt, a tepeaemuion a
uty Set tnaete9. retool
. WPM permk, or Inwe, or other docwsu fis . mahtebed or tiled for tte "Mm
of aoo>ptmoe wkh Tlk XVI eotatks a Clan
4 kbny . Any
wood
or vdbwgoem offow
Net oom'ktloo lttmmda is a Chm 3 kbty (415 t1.C713157
.17). This love ho ban tppovd by the
Form -Ce .
Illinois Environmental Protection Agency
Leaking Underground Storage Tank Program
Corrective
Action Plan
A
. Site Identification
B
. Site Information
IEMA
Site
Incident
Name:
Midwest
# (a
aril):
Petroleum
982804
(Former
IEPA Generator
Wei Enterprises)#
(
to disk) :
1631255004
Site Address
(Not a e.o. aoo: 529 Maple St
.
RELEASABLE
City:
.
Shiloh
County :
St. Clair c cR 2 77006
REVIEWER
MM
1
. Will the owner/operator seek reimbursement from the
Underground Storage Tank Fund?
YesX No_
2
. If yes, is the budget attached?
Yes. No
3
. Is this an amended plan?
Yes X No_
45
.
. Identify
This Corrective
the material
Action
releasedPlan
is
:
being
Gasolinesubmitted
. Dieselpursuant
to
:
a. 35111. Adm
. Code Section 731 .166:
i.
A release of petroleum from a UST was reported to IEMA prior to
September 13, 1993 and the owner/operator has NOel
xe ij
v~'
proceed under Title XVI of the Environmental Protection Act'
ii.
The material released was not petroleum.
FEB 2 12006
b. 35111. Adm
. Code Section 732
.404 :
IEPA/BO
L
i.
A groundwater quality standard or objective for any applicable indicator
contaminant has been exceeded at the property boundary line or 200
feet from the leaking UST
.
X
ii.
The leaking UST system is within the setback zone or regulated
recharge area of a potable water supply well
.
iii.
There is evidence that migration of petroleum or petroleum vapors may
threaten human health or human safety
.
X
iv.
Class III Special Resource Groundwater
i of 3
exists within 200 feet of the site .
7

 
v. A surface body of water has been adversely affected by the presence
of a visible sheen or free product layer .
c. 35 uiinois Administrative Code Section'/32 .312
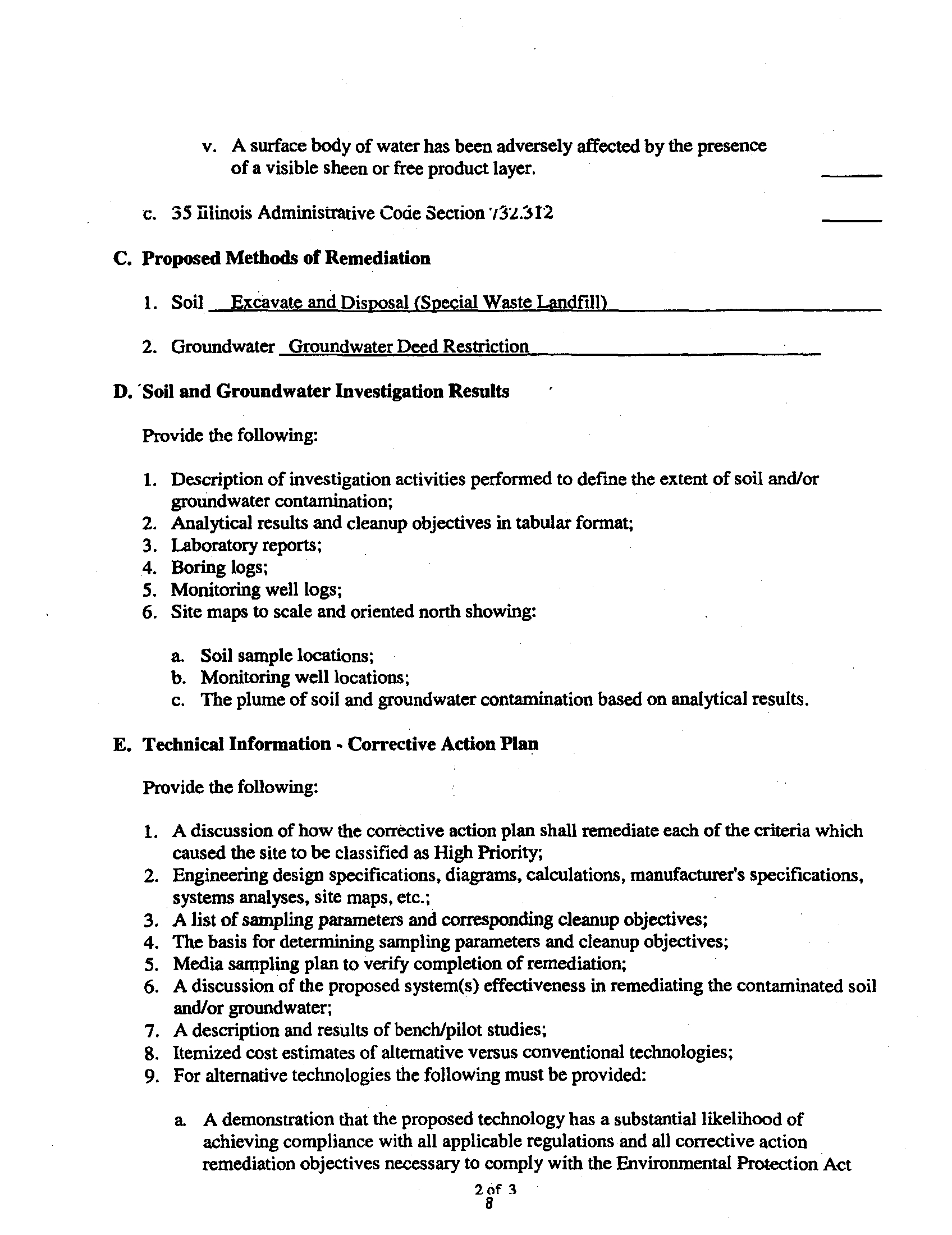
C. Proposed Methods of Remediation
D.
21'Soil
.
. SoilGroundwaterand
Groundwater
Excavate
Groundwater
and
Investigation
Disposal
Deed
(Special
RestrictionResultsWaste
Landfill)
Provide the following :
1
. Description of investigation activities performed to define the extent of soil and/or
groundwater contamination
;
2. Analytical results and cleanup objectives in tabular format;
3 . Laboratory reports ;
4. Boring logs;
5
. Monitoring well logs;
6
. Site maps to scale and oriented north showing:
a. Soil sample locations ;
b. Monitoring well locations ;
c. The plume of soil and groundwater contamination based on analytical results .
E
. Technical Information - Corrective Action Plan
Provide the following :
1
. A discussion of how the corrective action plan shall remediate each of the criteria which
caused the site to be classified as High Priority ;
2
. Engineering design specifications, diagrams, calculations, manufacturer's specifications,
systems analyses, site maps, etc
. ;
3
. A list of sampling parameters and corresponding cleanup objectives ;
4
. The basis for determining sampling parameters and cleanup objectives ;
5
. Media sampling plan to verify completion of remediation;
6
. A discussion of the proposed system(s) effectiveness in remediating the contaminated soil
and/or groundwater
;
7 . A description and results of bench/pilot studies
;
8
. Itemized cost estimates of alternative versus conventional technologies ;
9
. For alternative technologies the following must be provided :
a
. A demonstration that the proposed technology has a substantial likelihood of
achieving compliance with all applicable regulations and all corrective action
remediation objectives necessary to comply with the Environmental Protection Act
2
a
of 3

 
and the regulations and to protect human health and the environment
;
b. A demonstration that the proposed technology will not adversely affect human health
or the environment
;
c. Copies of all Agency permits necessary to authorize the use of the alternative
technology ;
d
. Results of the monitoring program implemented to determine whether the proposed
technology will achieve compliance with the applicable regulations and remediation
objectives.
F. Signatures
I certify under penalty of law that this plan, supporting documents and all attachments were
prepared under my direction or supervision
. To the best of my knowledge and belief, this plan,
supporting documents and all attachments are true, accurate and complete
. I am aware that there
are significant penalties for submitting false information, including the possibility of fine and
imprisonment for knowing violations
.
Consultant
FirmContactTitle :
:
United
Sr
:
.
Bob
Proiect
Science
PulfreyManagerIndustries, Inc
.
Address
: P.O. Box 360
Woodlawn. IL 62898
.
Owner : Midwest Petroleum
Operator
Same
Name: Mike
McNutt
Name:
Title: Vice President
Tide:
Address: 6760 Southwest Ave
Address:
St. Louis MO 63143
Phonef
r7sXro Phone:
Signature:
Signature:
Date:
2 /
'
-o'4
Date:

 
Amended Corrective Action Plan
Shiloh/Former Wei/Midwest Petroleum
LUST Incident No
. 982804
Amended Corrective Action Plan
Midwest Petroleum/Shiloh
Incident No
. 982804
Date
: February 8, 2006
In
an Agency letter dated September 1, 2004, the Corrective Action Plan (CAP) and Budget
dated August
13, 2004 was conditionally approved
. Within section E 1 (see page 8 of the report) the CAP proposed
that during the excavation of contaminated soil, clean soil (clean overburden) would be stockpiled and
used for backfill whereas the contaminated soil would be transported to the landfill
. The CAP estimates
that based on the tonnage of contaminated soil and the time for a truck to make a round trip to the
Roxanna Landfill, simultaneous soil removal and backfilling would require a total of 25 days to complete
.
However, the CAP did not provide an estimate for the amount of time to complete the clean overburden
excavation, clean overburden stockpiling, and clean overburden backfilling
. This estimate was an
oversight which is being corrected by this Amended CAP
.
The corrective action excavation, transportation, disposal, overburden removal and backfilling have been
completed
. The amount of soil handled included 14,000 cu yd of contaminated soil to landfill, 5,327 cu
yd of clean overburden to stockpile, 12,100 cu yd of clean backfill from a local source, and 5,327 cu yd of
clean overburden from stockpile to backfill
. A total of 36,664 cu yd of soil was handled . This Amended
CAP provides an additional 18 days required to complete the clean overburden excavation, clean
overburden stockpiling, and clean overburden backfilling in conjunction with the simultaneous
contaminated soil removal and backfilling
. The total number of days
to complete the contaminated soil
activities, the clean overburden activities, and the backfilling activities is 43 days
.
The 43 days for handling of contaminated soil, clean backfill, and clean overburden is based upon
Midwest LUST site specific conditions such as the distance to the landfill, distance to the backfill source,
local traffic conditions, and size of the excavator bucket
. In testimony by Brian Bauer (Agency Project
Manager in the LUST Section of the Agency since 1992) in Support of the Environmental Protection
Agency's Proposal to Adopt 35 Ill
. Adm. Code 734, R04-23 (March 8, 2004), Mr
. Bauer supported a
production rate of 250 cubic yards of contaminated fill material removal and disposal in one-half day
.
Mr
. Bauer further stated that "most soils can be excavated into a truck via a I cubic yard backhoe at a rate
of 57 cubic yards per hour."
The application of 57 cu yd per hour to an 8 hour day provides an
anticipated production
rate of 456 cu yd per day.
In testimony by Harry A . Chappel, P.E. (Unit Manger in
the LUST Section of the Agency) Mr . Chappel testified in support of the same proposal to amend 25, 111
.
Adm
. Code, Part 732 . The testimony of Mr. Bauer and Mr
. Chappel was consistent with previous
telephone conversations and emails by USI with Agency officials such as Doug Clay, Dave Meyers, and
Mike Heaton when the Agency provided USI guidance that 500 cu yd per day of production was
considered reasonable for excavation, transportation, and disposal of contaminated soil
. The Agency had
further applied the 500 cu yd per day of production to the handling of clean overburden and backfill
. The
production rate for a total of 36,664 cu yd of soil handled (including backfill) over 43 days is 852 cu yd
per day
.
The Agency conditionally approved CAP of August 13, 2004 stated on page 13 "the advancement of the
excavation as well as the segregation of clean overburden vs
. contaminated soil will be based on
screening samples with a model 580B Thermo Environmental photo-ionization" and "screening samples
will be collected both horizontally and vertically as the excavation proceeds"
. An Environmental
Technician was provided in the budget to perform this activity which is essential to making certain that
10

 
Amended Corrective Action Plan
Shiloh/Former Wei/Midwest Petroleum
LUST Incident No . 982804
the excavation, disposal, and overburden does not exceed the minimum requirements of the Act
. It is the
Environmental Technician that is responsible to guide the excavation and clean overburden activities by
screening the soils with a Pi and by collecting samples including overburden confirmation samples as
the Agency approved CAP and Budget had explicitly stated .
In addition, the minimum requirements of the Act were enforced by having the Environmental Technician
onsite during the corrective action . activities. The budgeted amount of contaminated soil disposal was
15,910 cubic yards while the actual volume was 14,000
. Thus, by having the Environmental Technician
onsite for the 18 days, the volume of disposed soil was reduced by 1,910 cubic yards saving the LUST
fund $98,193 .10 (1,910 cubic yards x $51 .41/yard) . Likewise, the clean overburden budget was 6,678
cubic yards while the actual volume was 5,327 cubic yards
. Thus, by having the Environmental
Technician onsite for the 18 days, the volume of overburden was reduced by 1,351 cubic yards saving the
LUST fund a total of $8,781 .50 (1,351 x $6
.50/yd .). In testimony by Brian Bauer (Agency Project
Manager in the LUST Section of the Agency since 1992) in Support of the Environmental Protection
Agency's Proposal to Adopt 35111 . Adm
. Code 734, R04-23 (March 8, 2004), Mr
. Bauer supported a half
day of professional consulting services for each 250 cubic yards of contaminated soil removed and
disposed. In testimony by Harry A . Chappel, P.E
. (Unit Manger in the LUST Section of the Agency) Mr .
Chappel testified in support of the same proposal to amend 25, Ill . Adm. Code, Part 732
. Therefore, 180
additional hours of Environmental Technician time is requested (18 days @ 10 hours per day)
. The
additional hours are needed for the screening overburden with a PDD, sampling overburden stockpile
samples, surveying, collecting floor and wall samples in the areas underlying overburden and sample
shipping .
The extended schedule also extends the Environmental Specialist hours for tracking of manifests and
weight tickets (contaminated soil and backfill materials) during the additional 18 days of excavation,
transportation, disposal (bt"D), overburden removal, and backfilling.
Additional Project Manager hours for professional oversight in the field for the additional 18 days of
overburden removal and ETD is also hereby requested. The original budget (Page G-2) of the budget
requested 2 hrs per day X 25 days . USI hereby requests 2 hrs per day X additional 18 days for 36 hours of
PM time.
In addition to the above, the Professional Engineer, Sr . Project Manager, and clerical hours are provided
in this Amended Budget for preparation of this Amended CAP and Budget .
11

 
BUDGET AND BILLING FORM FOR
LEAKING UNDERGROUND STORAGE
TANKS SITES
A.
SITE INFORMATION
Site Name
: Midwest Petroleum (Former Wei Enterprises)
Site Address
:
CountyZipIEMA
:
Incident
62914
:
St
.
ClairNo529
.
: 982804Maple
St_ IEPA
IEMA Notification
Generator
CityNo:
Date
.:
Shiloh
:
16311255004
ECEIVED
Nov
FEB
. 12
21
. 1998
2066
Date this form was Prepared :
February 14, 2006
This form is being submitted as a :
Budget Proposal
12
III
It
X
Budget Amendment (Budget Amendments must include only the cost
over the previous budget .)
Amendment Number
No. 4
Billing Package for costs incurred pursuant to 35 Illinois Administrative
Code (IAC), Part 732 ("new program") .
Name(s) of report(s) documenting the costs requested
:
ACAP
Date(s): Feb-06
This form is being submitted for the Site Activities indicated below (check one)
:
Early Action
Site Classification
Low Priority Corrective Action
High Priority Corrective Action
Other (indicate activities)
DO
NOT SUBMIT "NEW PROGRAM"
COSTS AND "OLD PROGRAM"
COST AT THE SAME TIME
. ON THE SAME FORMS.
A-I
This form must be submitted in duplicate
.
7Te Agov.Y 4 u~hmiwdto nquY" N4lnbeonob" mder41S a.C43/1
. Dawn ordi+iww[bo h
IL 532-2263
m**W
. hnbdonar7
istee& yorda~W"fayWdwor oenapuoalnemid~r.
LPC 494
Rev
. 2/99
7m .bmnubrenapprowdgroew„oaMrape Caly.

 
If
of
eligible
USTs may
for
be eligible
reimbursement,
for reimbursementwhere
should
.
reimbursement
Therefore, payment
checks
can
be
only
sent?
be
Please
made
note
to an
that
owner
only
or
owners
operatoror
operators
Pay to the order of: Midwest Petroleum .
A-2
This form must be submitted in duplicate.
13
IEMA No
.
982804
City
AddressSend
:
in
Bellevillecare
: #2
ofCarlyle
:
Southwest
Plaza DriveBank/Commercial Lending-Jennifer
Vescogni (Acct . #0032713725)
Former
Wei Enterprises
State : Illinois Zip: 62221
Number of Petroleum USTs in Illinois presently owned or operated by the owner or operator, any subsidiary,
joint
parent
stock
or joint
company
stock
of
company
the owner
of
or
the
operatorowner
or
.
operator, and any company owned by any parent, subsidiary or
Number of USTs
Fewer
at the
than
site101:
: X 4 (Number
of
101
USTs
or
includes
more: USTs
presently at the site and USTs that have
been removed)
Please
Number
Incident
list
of
Numbers
incidents
all tanks
assigned
which
reported
to
have
the
ever
to
site
IEMAbeen
due
: located
to
releases
at
Ithe from
site and
USTsare
: presently located
at the site982804
.
Size
Did UST
Type of
Product Stored
(gallons)
have a release?
Incident No .
Release
Gasoline
6,000
Yes
982804
UST System
Gasoline
8,000
Yes
982804
UST System
Gasoline
8,000
Yes
982804
UST System
Diesel
8,000
Yes
982804
UST System

 
B-1
This must be submitted in duplicate.
14
IEMA No .
982804
B. PROPOSED BUDGET SUMMARY AND BUDGET TOTAL
1.
Investigation Costs :
$0.00
2 .
Analysis Costs :
$0.00
3.
Personnel Costs :
$13,555 .00
4.
Equipment Costs :
$0
.00
5 .
Field Purchases and Other Costs
:
$0.00
6.
Handling Charges:
$0
.00
TOTAL PROPOSED BUDGET =
$13,555.00

 
G. PERSONNEL
JEMA No.
982804
All personnel cost that are riot included elsewhere in the budget/billing form must
be listed here . Cost must be listed per
task, not personnel type . The following ate some examples of task
: Drafting, data collection, plan, report, or budget
preparation (Le., site classification work plan
. 45 day report, or high priority corrective action budget). sampling, field
oversite (i.e., drilling/well instaiiation, oorructive action, or early action), or maintenance
. The above list is not inclusive
of all possible task .
Professional
(tide)Engineer 2 hours
x $115.00 per hour = $230.00
Task to be performed for the above hours
: Amended Budget: Certification of Budget Amendment 4
Review of Amended CAP
Sr
. Project Manager
: 4 hours x $100.00
per hour = $400.00
Task to performed r the above hours:
Amended Budget : Prepare
Amended CAP & Budget
Prepare submittal correspondence and additional project management
Clerical 0.5 hours
x $40.00 per hour = $20.00
(Title)
Task to be performed for the above hours :
Amended Budget
: Copy,
Bind, Mail, File
Environmental
('title)Technician
: 180
hours x $53.00 per hour = $9,540 .00
Task to be performed for the above hours : Cot raxive Action : Screening Overburden w
PID, sampling overburden
stockpiles, surveying, collecting wall & Boor samples, sample shipping
Environmental
(title)Specialist 16 hours
x $65.00 per hour=
$1,040 .00
Task to be perforated for the above hours : Corrective
for contaminated
Actionsell : and
backfillAdd?
Tracking manifests & weight tickets
Sr
. Project Mana
e
('Titl er 36 hours
x $100.00 per hour = $3,600.00
Task to be performed for the above hours
:
Corrective Action:
Add'! Professional Oversight (18 days x 2 hrs .=36)
(title)
hours x per
hour
Task to be performed for the above hours: Pre-Corrective
hours x Action
: per
hour =
(lade)
Task to be performed for the above hours: Pre-Corrective
hours x Action
: per
hour =
(1 ide)
Task to be performed for the above hours:
Post-Corrective Action :
(tide)
hours x per hour =
Task to be performed for the above hours
:
Post-CorrectiveG1 Action:
This form must be submitted in duplicate
.
15

 
Illinois Environmental Protection Agency
Owner/Operator and Professional Engineer Budget Certification Form for
Leaking Underground Storage Tanks Sites
In accordance with 415 ILCS 5/5
.7. if an owner or operator intends to seek payment from the UST Fund, an
owner or operator must submit to the Agency, for the Agency's approval or modification, a budget which
includes an accounting of all costs associated with the implementation of the investigative, monitoring
and/or corrective action plans .
i hereby certify that I intend to seek payment from me
us'f FUND for performing
High Priority Corrective Action
activities at
Midwest Petroleum t..T,wA12M• , y"~Tr"TxTZ1
LUS'1 site . I further certify that the costs set forth in this budget are necessary activities a
, are reason . e
and accurate to the best of my knowledge and belief
. I also certify that the costs included in this budget are
not for corrective action in excess of the minimum requirements of 415 ILCS 5/57 and no costs are
included in this budget which are not described in the corrective action plan
. I further certify that costs
ineligible for payment from the Fund pursuant to 35 Illinois Administrative Code Section 732 .606 are not
included in the budget proposal or amendment . Such ineligible costs include but are not limited to
:
Owner/Operator:
Mike McNutt, Midwest Petroleum Tide:
Vice President
Signature :
Date:
Subscribed and sworn to before me the
/ qTk day of F~6euAty
(Budget posa/s and Bud
Amendments t be notarized when the certication a signed )
.F.
.
.
.
.
40430
REGISTERED
:
PROFESSIONAL
ENGINEER
Date: OF
~~
C
l N 0
Subscribed and sworn to before me the
R
day of
l!~ /t
2006
(Budget Proposals and Budget Amendments must be notarized when the
certification i big ned)
IL 532-2273
LPC 495 Feb-99
'4'h'.
71De,o
rc
16
Seal :
2006 .
The Agency is authorized to require this information under 415 ILCS 5/1 . Disclosure of this information is
required . Failure to do so may result in the delay or denial of any budget or payment requested hereunder .
This form has been approved by the Forms Management Center
OFFICIAL SEAL
SARAH RENEE BLADES
N
Co Public
ml
~ 1
1k1
Costs
Costs
Costs associated
associated
associated
with
with
with
site
ineligible
utility
restorationreplacementtanks
.
(e.g.
(e
.
pump
.g. sewers,
islands,
electrical,
canopies)telephone,
.
etc.
Costs incurred prior to IRMA notification
.
Costs
Legal
associated
defense costswith
.
planned tank pulls
.
~~
FEB 21
2005
Costs incurred prior Julv a 1989
.
Costs associated with installation of new USTs or the repair of existing USTs .
REP!
l
'~
1Y
llD
AIlB0L

 
MAR-05-99 FRI 16 :30
otitro •.
baonaartsnGAMo»
206M4"
eoaaw,rrwcawe
sO'raa w
w+uae+esr cEawcts
227,1420"
lasmay 27.1999
WdFm19%Ses
541 Maple Sid
Shffak IL jn69
Office of the Illinois
State Fire Marsha/
cERTMED
MAIL -RECF.wa RHQt1FS1F.D
S Z 092 408 372
17
1t has bean ddamimd *atycu aso digD'kto sedcpayu at &costs fn mows ofS10,t100.
The costs
mostbe In2espottaeto duoowueaocrdacaoed above and aaodazcd wuhmefbfawiagnols
taft
Tint i ap00gafivtCienolloc
Tank23,000gaiMm Gaza In
Tank3
Tank44,0008rfkan
SAO.OgalloaDiNdGaafma
YOU
mast cocoa the ID~ads F to a3a1I'totection Agotey to rrcsivp a padou &Agency
forms forsnbodt£mt9~ :c¢arstLosP+vn
An owncrorcpaatorlscfglhde ao toots hcUSapotmd StongcTattkPnod fftbe diflty
2equttmeats
1 .
at
addled:
Neither the awnaaac the openmt is dye U'*-4 Stiles Govrzmttav;
2.
1baankdoespotoovnrafpfaelwlddttscxrpgxtt mthtMooorYfl h rLaw
3.
flit cots wem iacnaed ors trait oft cotod release of any of tbte fofawing sotaanoct
"Par, as d mtd m Soalon L19 offt Mom Fbd Tax Lsw
Avid=Sd
P
. 02/1
asws
o
ruuiwetaouaaaaruaaawoM".rttaawaoaaa
A
asnm
Lnka
IE~WdFadlipNa
b4destW6-013}Z6
.. 98-2804
8 Ma+a:
5191~gple 5t
ass Iaas
Sid1d4 >;t
CFaitCo, a:
reel
aaaaaacsarrv
DFONAC H
Dear e
- stttastoatvm
wm
abort1heP
demcasawLaaboeoawiewsdandbedxp'bleApp8vdm
Thefvllawiggdetmnaa~7+attvbgettmsdo6rsed
.seod~redettDacember9, 299S*tSe
up= dft:evlew
.

 
m
§
r
~s
$;y.i~ yq
Y
{fY~Fe
1Dow4
L' q
Rig to
PIS
t

Back to top