1. PETITIONER’S MOTION TO SUPPLEMENT THE RECORD

ELECTRONIC FILING, RECEIVED, CLERK'S OFFICE, JULY 14, 2006

 
1
BEFORE THE ILLINOIS POLLUTION CONTROL BOARD
 
 
AMERICAN BOTTOM CONSERVANCY, )
 
  
  
  
  
  
  
)
 
  
  
  
Petitioner,
)
) Case No. PCB 2006-171
) (3
rd
Party NPDES Permit Appeal)
ILLINOIS ENVIRONMENTAL PROTECTION )
AGENCY, and UNITED STATES STEEL )
CORPORATION - GRANITE CITY WORKS )
 
  
  
  
  
  
  
)
Respondents. )
 
PETITIONER’S MOTION TO SUPPLEMENT THE RECORD
Petitioner American Bottom Conservancy (“ABC”) moves the Illinois Pollution Control
Board (“Board”) to supplement the incomplete record compiled by the Illinois Environmental
Protection Agency (“IEPA”). Five documents have been erroneously excluded from the record,
including IEPA’s response to one of ABC’s comment letters submitted on the underlying permit.
U.S. Steel Corporation-Granite City Works (“Granite City Works”) objects to the inclusion of
any of these five documents. IEPA opposes the inclusion of two of the five documents,
including its response to ABC’s comment letter.
In support of this motion, ABC states as follows:
1.
 
On May 18, 2006, the Board issued an order accepting ABC’s appeal of a
National Pollution Discharge Elimination System (“NPDES”) permit issued by IEPA on March
31, 2006, to Granite City Works. Granite City Works is a large steel mill that discharges its
wastewater into Horseshoe Lake, which is part of Horseshoe Lake State Park.
2.
 
The Board’s order noted that its rules require IEPA to file the record within 14
days of notice of the petition.
3.
 
On June 5, 2006, IEPA filed the agency record.
ELECTRONIC FILING, RECEIVED, CLERK'S OFFICE, JULY 14, 2006

 
2
4.
 
On June 22, 2006, IEPA filed a motion for leave to amend the record to include a
copy of the previously omitted final permit (dated March 31, 2006), as well as several items of
correspondence sent to ABC, Granite City Works, and other parties in conjunction with issuance
of the permit.
5.
 
Despite this amendment to the record, there remain five documents that have been
improperly omitted. ABC raised its concerns about the incompleteness of the record at the June
27, 2006, status conference, after which it sought to resolve the issue informally with opposing
counsel. As noted above, Granite City Works objects to inclusion of any of the five documents,
while IEPA objects to inclusion of two of the five.
6.
 
A June 28, 2006, order issued by the Hearing Officer directed ABC to file any
motion to supplement the record with the Board if the issue could not be resolved informally
between the parties.
7.
 
The Board’s regulations state that the record “must include . . . [c]orrespondence
with the petitioner and any documents or materials submitted by the petitioner to the Agency
related to the permit application”. 35 Ill. Admin. Code § 105.212.
8.
 
The two documents objected to by both Granite City Works and IEPA include:
a.
 
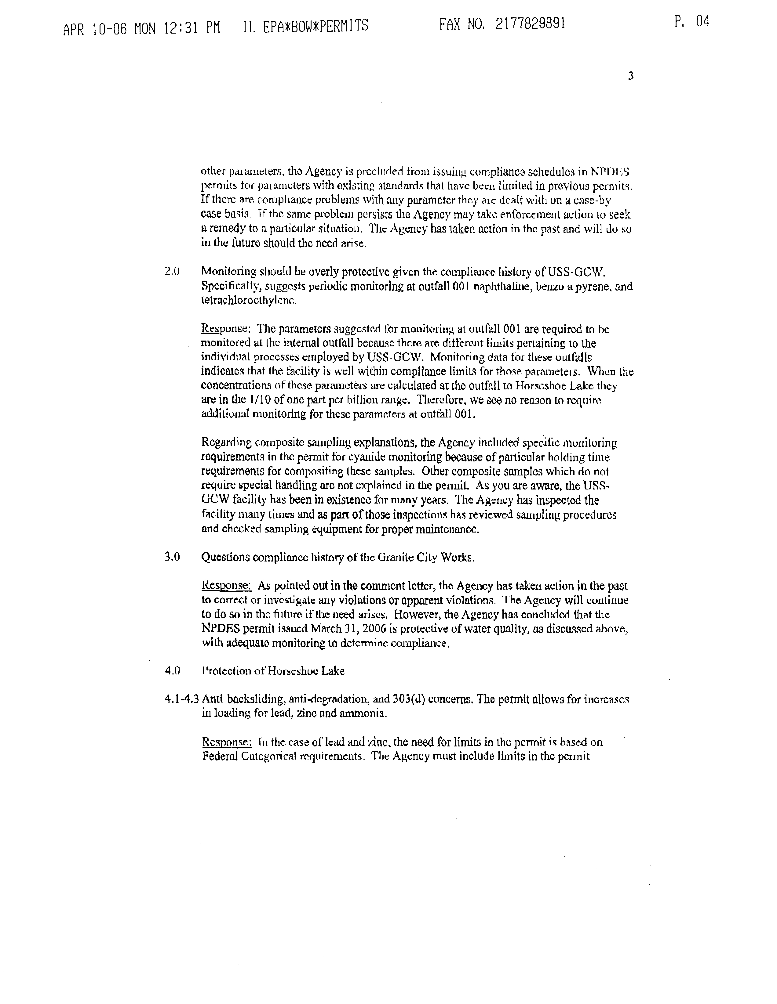
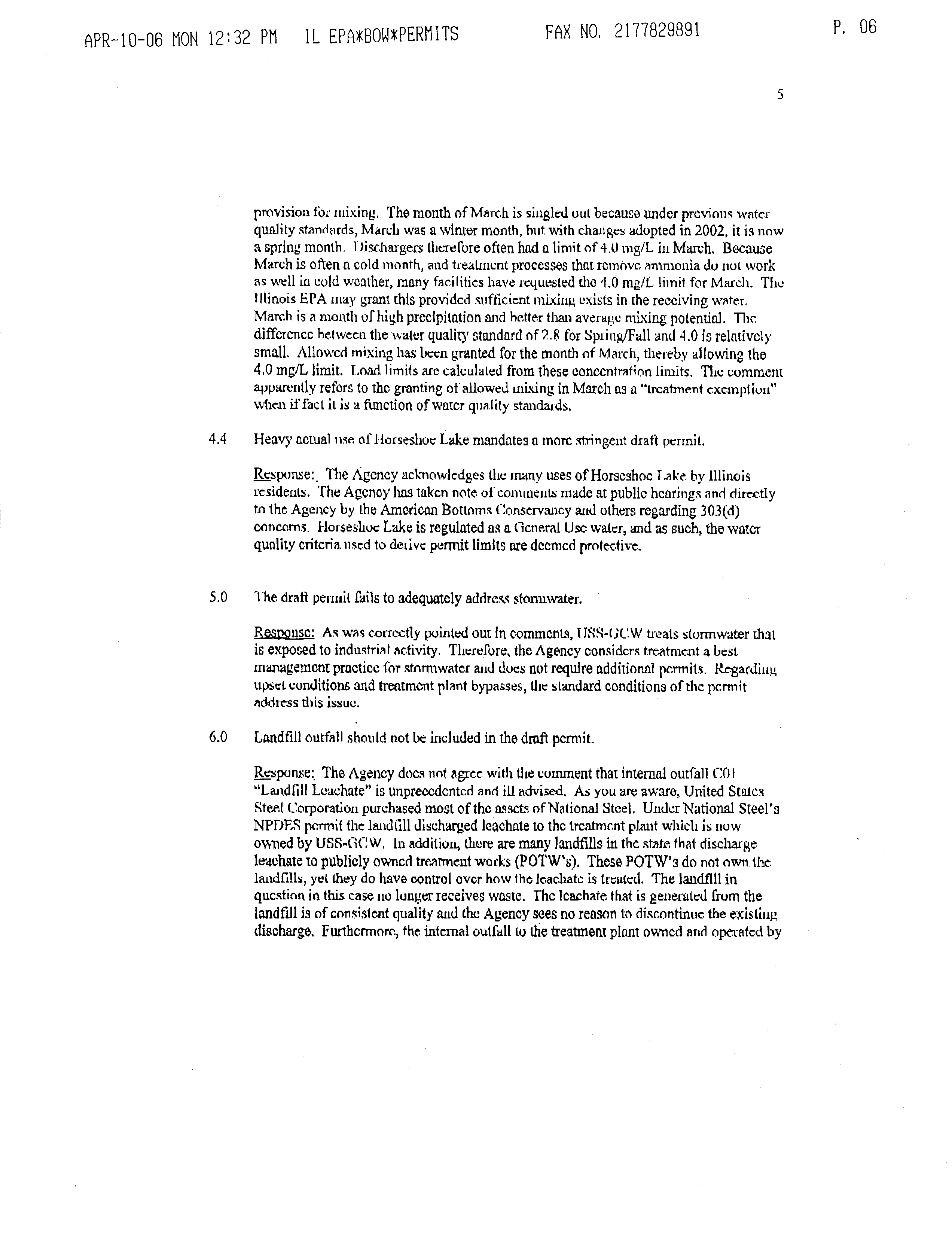
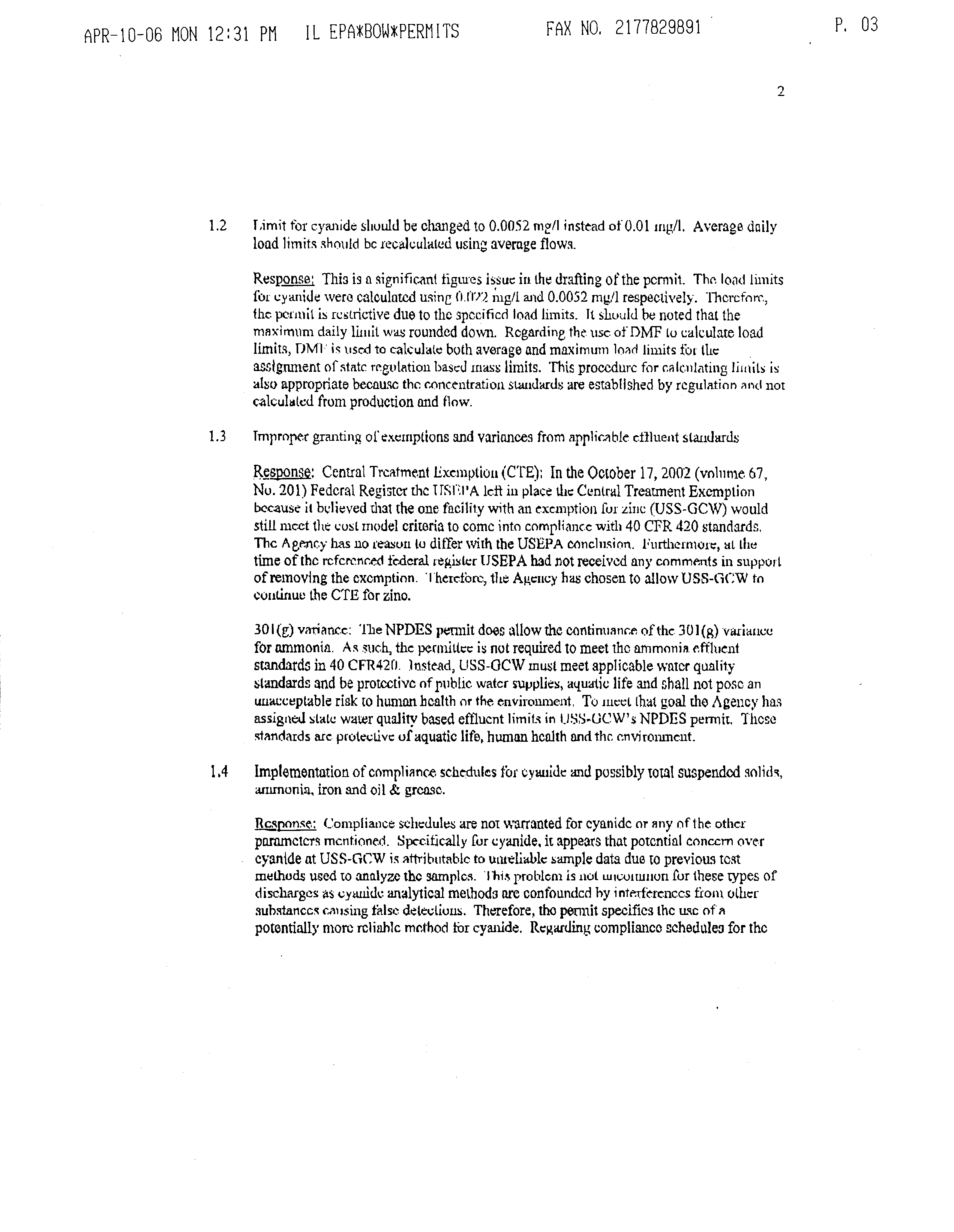
Correspondence dated April 10, 2006, from IEPA to counsel for ABC.
See
Exh. A. The correspondence is IEPA’s response to technical comments on the draft
permit that were submitted by ABC on December 9, 2005, nearly four months before the
permit was issued. ABC’s December 9
th
comment letter is already in the record at pages
611-624.
b.
 
Correspondence dated April 5, 2006, from IEPA to counsel for ABC.
See
Exh. B. This document is IEPA’s response to correspondence dated March 24, 2006,
ELECTRONIC FILING, RECEIVED, CLERK'S OFFICE, JULY 14, 2006

 
3
from ABC’s counsel to IEPA concerning procedural irregularities in the issuance of the
permit. The March 24
th
correspondence from ABC’s counsel to IEPA is one of the three
remaining documents at issue in this motion as discussed below.
9.
 
Exhibits A and B are both items of correspondence between Petitioner ABC and
IEPA that directly relate to the permit at issue in this appeal. As such, they “must” be included
in the record. 35 Ill. Admin. Code § 105.212(b).
10.
 
Moreover, Exhibit A consists of IEPA’s response to ABC’s technical comments
on the draft permit, which comments are already in the record. IEPA apparently objects to the
inclusion of its response to comments because they are dated April 10, 2006, ten days after
issuance of the permit on March 31, 2006. Nevertheless, the Board’s regulations require that all
correspondence between the agency and the petitioner be included in the record, 35 Ill. Admin.
Code § 105.212(b), and it only serves to cause confusion to exclude the agency’s response to
comments that are already before the Board. ABC seeks to have included in the record the
agency’s purported rationale for rejecting its comments on the draft permit, not to inject into the
record new information that was not before the agency when it issued the permit.
11.
 
The remaining three documents at issue in this motion include:
a.
 
Correspondence dated March 7, 2006, from ABC to IEPA that reiterates
ABC’s request for a public hearing on the underlying permit.
See
Exh. C.
b.
 
E-mail correspondences dated March 7, 2006, and March 14, 2006,
between IEPA and ABC, which are a continuation of an email string already in the record
at pages 633-634.
See
Exh. D.
c.
 
Correspondence dated March 24, 2006, from ABC’s counsel to IEPA that
discusses procedural irregularities in the issuance of the underlying permit.
See
Exh. E.
ELECTRONIC FILING, RECEIVED, CLERK'S OFFICE, JULY 14, 2006

ELECTRONIC FILING, RECEIVED, CLERK'S OFFICE, JULY 14, 2006

ELECTRONIC FILING, RECEIVED, CLERK'S OFFICE, JULY 14, 2006

ELECTRONIC FILING, RECEIVED, CLERK'S OFFICE, JULY 14, 2006

ELECTRONIC FILING, RECEIVED, CLERK'S OFFICE, JULY 14, 2006

ELECTRONIC FILING, RECEIVED, CLERK'S OFFICE, JULY 14, 2006

ELECTRONIC FILING, RECEIVED, CLERK'S OFFICE, JULY 14, 2006

ELECTRONIC FILING, RECEIVED, CLERK'S OFFICE, JULY 14, 2006

ELECTRONIC FILING, RECEIVED, CLERK'S OFFICE, JULY 14, 2006

ELECTRONIC FILING, RECEIVED, CLERK'S OFFICE, JULY 14, 2006

ELECTRONIC FILING, RECEIVED, CLERK'S OFFICE, JULY 14, 2006

ELECTRONIC FILING, RECEIVED, CLERK'S OFFICE, JULY 14, 2006

ELECTRONIC FILING, RECEIVED, CLERK'S OFFICE, JULY 14, 2006

ELECTRONIC FILING, RECEIVED, CLERK'S OFFICE, JULY 14, 2006

ELECTRONIC FILING, RECEIVED, CLERK'S OFFICE, JULY 14, 2006

Back to top